Discover
/
Article

New family of quaternary iron-based compounds superconducts at tens of kelvin

MAY 01, 2008
Similarities with the cuprates presage higher transition temperatures. Differences provide a fresh perspective on electron-mediated pairing.

On 23 February, a two-page paper by Hideo Hosono of the Tokyo Institute of Technology and his coworkers appeared on the website of the Journal of the American Chemical Society. The TIT team reported that fluorine-doped lanthanum oxide iron arsenide superconducts at 26 K. 1

The value of T c is not especially high. But to the few physicists who noticed the paper, the new superconductor looked alluring. Like the high-T c cuprates, LaO1−x F x FeAs is a layered tetragonal compound containing a rare earth and oxygen. Unlike the cuprates, the new superconductor’s parent is a semimetal and its magnetic susceptibility is far higher.

Here, it seemed, was a material in which magnetic fluctuations, not phonons, mediate the electron pairing that underlies superconductivity. If that first impression proved true, Hosono and his team had discovered a new family of unconventional and possibly high-T c superconductors.

Within weeks, physicists who’d read the JACS paper or who’d heard about it from chemists had started making samples, measuring properties, and posting papers on arXiv. 2 The first band-structure calculations showed that the superconducting phase is two-dimensional, as in the cuprates, and occupies the FeAs planes. Band-structure calculations also confirmed that the LaOFeAs lattice can’t provide the phonons needed to bind electron pairs at 1 K, let alone at 26 K.

By 31 March, little more than a month after the discovery, the new family’s T c had leapt ahead of magnesium diboride’s 39 K. The F-doped praseodymium compound holds the record at 52 K. Only the cuprates, whose current champion superconducts at 138 K, have higher T c values.

Parental provenance

The new superconductors’ parent compounds are not found in any terrestrial rocks or minerals. The story of their synthesis begins in the mid-1970s at Dupont’s central research department in Wilmington, Delaware. There, solid-state chemists Wolfgang Jeitschko and Vancliff Johnson were looking for novel compounds with interesting and useful electrical properties.

Among the compounds they synthesized was a family that Jeitschko called 1:1:1:1 after its stoichiometry or ZrCuSiAs after its archetype. 3 ZrCuSiAs lies on the brink of metallicity; it did not prove profitable. Jeitschko continued his quest for new materials at the University of Münster in Germany.

One line of research involved synthesizing ternary compounds from a rare earth, a transition metal, and a pnictogen (phosphorus, arsenic, or antimony). At first, Jeitschko’s group mixed the three ingredients in a flux of molten tin. Tin, it turned out, readily picks up ambient oxygen as an impurity. In the course of investigating impurity dependence, Jeitschko found that with enough oxygen one makes not the ternary compound he expected, LaFe4As12, but the quaternary compound, LaOFeAs. The accidentally discovered compound shares the same crystal structure as ZrCuSiAs; it’s also a semimetal.

Jeitschko and his collaborators made 50 or so different compounds in the LaOFeAs family. 4 Although he’d previously discovered one class of superconductors—LaRu2P2 and its relatives—he didn’t pursue the phenomenon in doped LaOFeAs.

Hosono wasn’t looking for superconductivity in LaOFeAs either. In the late 1990s, he and his coworkers were developing new transparent semiconductors. They focused on LaOCuCh, where Ch represents a chalcogen (sulfur, selenium, or tellurium). The search succeeded. LaOCuS is indeed a promising transparent p-type semiconductor.

Then in 2005, in the hope of finding novel electromagnetic properties, Hosono tried further substitutions. Replacing Cu with Fe or another open d-shell transition metal could provide the hoped-for magnetic behavior. But the substitution of divalent Fe for monovalent Cu would also change the layer’s net valence and destabilize the structure. Stability can be preserved by replacing a divalent chalcogen with a trivalent pnictogen.

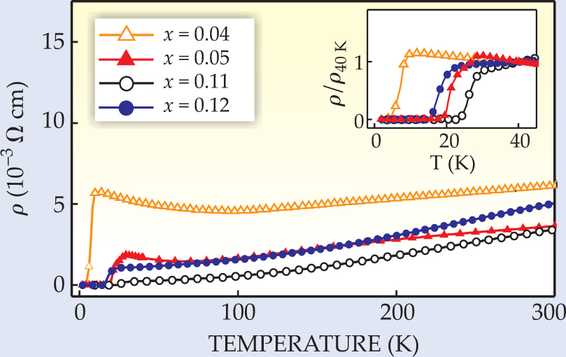
A year later the TIT team had synthesized LaOFeP, measured its electrical properties, and discovered that the semimetal superconducts at 4 K. Doping with fluorine, which adds electrons, raised T c to 7 K. 5 Replacing P with As and doping with 10% F boosted T c to 26 K. Figure 1 shows the structure of LaOFeAs; figure 2 shows the resistivity as a function of temperature and doping.

PTO.v61.i5.11_1.f2.jpg

Figure 2. Resistivity curves of fluorine-doped lanthanum oxide iron arsenide (LaO1 − x F x FeAs) show superconducting transitions at a range of temperatures, the highest being 26 K for a doping fraction of 0.11. At around 5 × 10−3 Ω cm, the high room-temperature resistivity is characteristic of a semimetal.

(Adapted from ref. 1.)

View larger
PTO.v61.i5.11_1.f1.jpg

Figure 1. The parent compound of the new superconductor consists of alternating layers of lanthanum oxide and iron arsenide. Replacing oxygen with fluorine adds extra electrons, which, having nowhere else to go, end up in the superconducting FeAs layer.

(Adapted from ref. 1.)

View larger

Higher T c

Among the physicists who’d noticed Hosono’s LaOFeP paper was Genfu Chen. Last October, Chen joined Nanlin Wang’s group at the Institute of Physics (IOP) in Beijing. Rather than work on LaOFeP, Chen and Wang chose to focus on LaOFeAs. By December Chen was making single crystals of the undoped compound.

As soon as Chen and Wang heard that F-doped LaOFeAs superconducts at 26 K, they switched to making doped samples. Within a week they’d reproduced Hosono’s results. Within a month they’d replaced La with cerium and boosted T c to 41 K.

Xianhui Chen of the University of Science and Technology of China in Hefei began making LaOFeAs soon after he’d read Hosono’s LaOFeAs paper online. He replaced La with samarium and raised T c to 43 K. As of 1 April, the highest T c, 52 K, belongs to the neodymium and praseodymium members of the LaOFeAs family. They were synthesized by another IOP group, that of Zhongxian Zhao.

All the samples made so far have consisted of micron-sized polycrystals sintered together in pellets. Producing pure single crystals could raise T c even further. It would also widen the range of experimental techniques that could tackle how and why F-doped LaOFeAs superconducts. But even at this early stage, a fuzzy but consistent picture is forming.

Experimental evidence and theoretical argument both support a strong, possibly essential, role for magnetic fluctuations. In their calculations, Igor Mazin of the Naval Research Laboratory in Washington DC and his collaborators found three different kinds of magnetic fluctuation: local antiferro-magnetism, a spin density wave, and weak, itinerant ferromagnetism.

Cuprates exhibit local antiferromagnetic fluctuations, but not the other two kinds of fluctuation, which are nonlocal and arise from the behavior of electrons on the Fermi surface. In that sense, the new superconductors appear to be quite distinct.

IOP’s Zhong Fang and his collaborators also predicted a spin density wave. Like Mazin, they invoked it to explain an anomaly at 145 K that Hosono had found in the resistivity of undoped LaOFeAs. Doping makes the anomaly disappear, as if the fluctuations responsible at lower temperatures for the superconductivity prevent a spin density wave from forming.

Pengcheng Dai’s group at the University of Tennessee and, independently, David Mandrus’s group at Oak Ridge National Laboratory in Tennessee used neutron scattering to follow the temperature and doping dependence of the resistivity, magnetic susceptibility, and other properties. The two groups confirmed the presence of spin density waves. By doing x-ray diffraction too, Mandrus could conclusively rule out a phenomenon implicated in cuprate superconductivity, a charge density wave: No telltale lattice distortion appeared.

A crucial question in superconductivity is the orbital symmetry of the Cooper pairs. To predict it, theorists typically identify the fluctuations most likely to promote pairing and then look for a pairing symmetry that is consistent with both the nature of the fluctuations and the shape of the Fermi surface.

The approach isn’t fully predictive. Different assumptions lead to different symmetries. Remarkably, the symmetries proposed so far have never been seen before in the lab. Kazuhiko Kuroki of the University of Electrocommunications in Toyko, Mazin, and their respective collaborators favor an s-wave variant called s ±. Kuroki also proposed a fully gapped d-wave.

In those symmetries, antiferromagnetic fluctuations akin to the spin density wave provide the paring glue. If ferromagnetic fluctuations predominate, IOP’s Fang, Stanford University’s Shoucheng Zhang, and their collaborators argue that up and down spins are paired in conjugate p-waves. Spin-triplet pairing, but in an s-wave, also arises in a proposal by IOP’s Xi Dai and Hong Kong University’s Fuchun Zhang and their collaborators.

As theorists reveal differences between the new superconductors and the cuprates, experimenters have been finding similarities. Haihu Wen’s group at IOP found superconductivity at 25 K when he replaced trivalent La with divalent strontium, suggesting that, as in the cuprates, hole-doped samples also superconduct.

On 4 April, the Chinese physicists who are working on the new superconductors held a workshop at the University of Nanjing. Among the findings they discussed were a possible pseudo-gap at 120 K and hints of nodes in the superconducting gap. Both are features reminiscent of the cuprates.

If those results hold up, the LaOFeAs family could be closer to the cuprates than to other superconductors. Although that outcome might seem less exciting than a wholly new form of superconductivity, it would provide a different system in which to explore the still-elusive phenomenon of high-T c superconductivity.

Last year it looked as though high-T c superconductivity takes place only in CuO2 planes. Now that LaOFeAs has broken the cuprates’ monopoly, what other superconductors wait to be discovered?

References

  1. 1. Y. Kamihara, T. Watanabe, M. Hirano, H. Hosono, J. Am. Chem. Soc. 130, 3296 (2008).https://doi.org/JACSAT 10.1021/ja800073m

  2. 2. Links to the research mentioned in this story can be found in the online version.

  3. 3. V. Johnson, W. Jeitschko, J. Solid State Chem. 11, 161 (1974).https://doi.org/JSSCBI 10.1016/0022-4596(74)90111-X

  4. 4. P. Quebe, L. J. Terbu¨chte, W. Jeitschko, J. Alloys Compd. 302, 70 (2000).https://doi.org/JALCEU 10.1016/S0925-8388(99)00802-6

  5. 5. Y. Kamihara et al., J. Am. Chem. Soc. 128, 10012 (2006).https://doi.org/JACSAT 10.1021/ja063355c

Related content
/
Article
/
Article
After a foray into international health and social welfare, she returned to the physical sciences. She is currently at the Moore Foundation.
/
Article
Modeling the shapes of tree branches, neurons, and blood vessels is a thorny problem, but researchers have just discovered that much of the math has already been done.
This Content Appeared In
pt-cover_2008_05.jpeg

Volume 61, Number 5

Get PT in your inbox

pt_newsletter_card_blue.png
PT The Week in Physics

A collection of PT's content from the previous week delivered every Monday.

pt_newsletter_card_darkblue.png
PT New Issue Alert

Be notified about the new issue with links to highlights and the full TOC.

pt_newsletter_card_pink.png
PT Webinars & White Papers

The latest webinars, white papers and other informational resources.

By signing up you agree to allow AIP to send you email newsletters. You further agree to our privacy policy and terms of service.