Harnessing energy from laser fusion
DOI: 10.1063/pt.zghg.fite
Researchers in nuclear fusion reached a critical milestone on 5 December 2022. On that day, Lawrence Livermore National Laboratory’s National Ignition Facility (NIF) demonstrated for the first time that a controlled nuclear fusion reaction could produce more energy than the energy put into it. The reaction yielded 3.1 MJ of energy from an energy input of 2 MJ. 1 In 2023, a similar experiment released 3.9 MJ of energy for the same energy input.

DON JEDLOVEC/LLNL

The accomplishments at NIF were made possible by inertial confinement fusion (ICF). 1 In ICF a powerful energy source, typically a laser, is used to heat and compress fuel to such a high temperature and density that the fuel cannot be equilibrated by any mechanical or electromagnetic forces. Therefore, once compressed, the fuel remains confined only because of its own inertia, and that’s when the fusion reaction takes place. The fuel stays compressed until it’s naturally uncompressed.
The time that takes is defined by the movement of a rarefaction wave across the fuel target, which typically takes less than a nanosecond. 2 , 3 The entire ICF sequence is pulsed, and for energy production, the sequence has to be repeated cyclically. Each target must release an amount of energy much more than that delivered to it. For the NIF achievement, the reacting fuel, a mixture of deuterium–tritium (DT) in a plasma state, was heated to a high temperature and confined at a high density for a sufficiently long time so that the energy it produced exceeded the energy delivered by the laser. 1
Fusion researchers have also been studying magnetic confinement fusion, which uses magnetic fields that are 100 000 times as strong as Earth’s. The strong fields keep hot plasmas in equilibrium inside a vacuum chamber.
4
Large national and international programs have supported research in magnetic confinement fusion since the late 1950s and operate experimental devices with different magnetic field configurations. The best-performing ones so far are torus-shaped devices known as tokamaks. See the
Magnetic confinement fusion
Some major recent achievements in magnetic fusion energy include the operation of a steady-state plasma for 1000 seconds at the Experimental Advanced Superconducting Tokamak in Hefei, China, 17 and the production of 69 MJ of energy in 5.2 seconds at the Joint European Torus in Culham, UK. 18 Among magnetic-fusion machines, JET holds the record value of 0.67 for Q, the ratio of fusion thermal power to the power injected into the machine to heat the plasma. The injected power takes the form of electromagnetic waves and energetic particle beams.
Higher values of Q are necessary for commercial-scale fusion power. The goal of ITER—a consortium of countries constructing a large tokamak in France—is to produce 500 MW of fusion power in runs of a few minutes with Q values of 5–10. The ITER tokamak is scheduled to start operating in 2034, and DT fuel may be used a few years later. Many ITER partners have begun conceptual designs and technological development of successor reactors, known as DEMOs. A few private companies have raised some $4 billion, according to the Fusion Industry Association, to pursue accelerated paths to fusion energy that use magnetic confinement.
The net-gain milestone from NIF has ignited a push to generate commercial-scale fusion energy with the ICF approach. Now that some of the fundamental physics issues have been overcome, public and private enterprises are working on solving the technological challenges faced to use inertial fusion to produce electricity.
Ingredients and issues
For fusion reactions inside stars, confinement is caused by gravitational forces. In 1920, before nuclear reactions and neutrons were discovered, Arthur Eddington hypothesized that the energy source of stars could be the fusion of hydrogen atoms to form a helium atom. By the early 1930s, fusion reactions were detected in laboratory experiments, and a few years later, they were acknowledged as the source of stellar power.
The Sun, for example, is powered by a series of fusion reactions. It starts with the fusion of two protons into a deuteron—a type of beta decay based on the weak interaction—and ends with the formation of helium. So although the series of reactions is different from Eddington’s hypothesis, his determination of the initial and final products is essentially correct.
The oft-repeated motto of “harnessing the power of the stars” is evocative but reductive. Terrestrial fusion-energy production demands that the hydrogen with just one proton be replaced with a fuel mixture of its isotopes deuterium and tritium, which is 1025 times as reactive. In a fusion reactor, the DT reaction produces an alpha particle and a neutron. Deuterium can be extracted inexpensively from ordinary water, but tritium exists only in trace amounts. Neutrons produced in the fusion reaction, when reacted with lithium, can provide the necessary tritium for the DT reaction. To produce power, the DT fuel needs to reach a temperature of 50–100 million K, which is several times as high as the temperature at the center of the Sun.
The extremely large fuel-specific yield of DT (334 TJ/kg) limits the fuel’s mass in a target to a few milligrams. Otherwise, the explosive energy could not be contained in the reactor. A large gain from such a small amount of fuel can be obtained only if the fuel is compressed to a density about 1000 times as high as that of liquid DT. To achieve a high gain G ≫ 1—with G being the ratio of fusion energy to energy delivered to a fusion target—a laser must heat a small region in the fuel until it ignites. Once the hot spot is generated and DT reactions occur, most of the neutrons from the fusion reactions escape unscattered. But the high-density DT fuel slows the alpha particles, which then deposit their energy into the fuel.
When the power that the alpha particles deposit in the hot spot exceeds that lost by it—because of bremsstrahlung radiation, electron thermal conduction, and mechanical work—the hot spot self-heats, and a burn wave propagates through the fuel. For the hot spot to ignite, several conditions must be met. Its temperature must be above 5 keV (about 50–60 million K), and a substantial part of the energy of the alpha particles must be contained in the hot spot. Additionally, the hot spot needs to have a pressure twice that at the center of the Sun.
Such extreme thermodynamic conditions can be obtained with laser-driven implosion, a scheme devised immediately after the invention of the laser and first discussed in the scientific literature a decade later.
5
Figure
Figure 1.

Inertial confinement. (a) In a direct-drive approach, a nanosecond pulse of laser light drives a capsule of deuterium–tritium fuel to heat up and compress. The fuel’s own inertia keeps it confined long enough to become a burning plasma and sustain a fusion reaction. (b) An indirect-drive approach works similarly but involves applying laser-generated thermal x rays in a cylindrical cavity, known as a hohlraum, to deliver the energy to the fusion capsule. (Adapted from S. Atzeni, Plasma Phys. Control. Fusion 51, 124029, 2009

In both direct-drive and indirect-drive approaches, the outer portion of the capsule is heated and ablated and forms a hot expanding plasma, as shown in figure
Figure 2.

Laser fusion. After a spherical capsule of fusion fuel is (a) irradiated by a laser system, the outer layers of the shell are heated and form a hot expanding plasma (yellow). (b) The huge pressure from the plasma forces the remaining part of the capsule, with the deuterium–tritium fuel, to implode. (c) The result is the formation of a hot spot, which is surrounded by denser, colder fuel. (d) Once ignited, the burning fuel expands outward, and the released fusion energy is harnessed to generate electricity. (Adapted from S. Atzeni, Plasma Phys. Control. Fusion 51, 124029, 2009

The spherical-rocket mechanism concentrates energy in space and amplifies the pressure generated by the ablating plasma from hundreds of megabars on the capsule’s surface to hundreds of gigabars in the compressed fuel when the capsule stagnates. Its realization, however, requires researchers to address several critical issues concerning energy efficiency and implosion symmetry and stability. 7 The efficient coupling of laser energy to the fuel requires short-wavelength light in the visible or UV range and with a peak intensity that is large enough to generate the necessary 100 Mbar pressure but not high enough to excite deleterious plasma instabilities that degrade light absorption.
In addition, the power of the laser pulse must be shaped in time to ensure a smooth, low-entropy compression of most of the fuel. Spherical convergence of the fuel and the generation of a central hot spot demand a highly symmetrical implosion and an almost perfectly uniform spherical irradiation. Hydrodynamic instabilities, which are seeded by unavoidable imperfections in the target and irradiation nonuniformities at short spatial and temporal scales, must be considered too. The instabilities can threaten the integrity of the capsule’s shell and can cause undesired materials to mix with the fuel. The thickness of the shell, or more precisely, its ratio of radius to thickness, is a crucial parameter. Its value, as with many other design choices, is a compromise: Although a thicker target is less sensitive to asymmetries and instabilities, it requires more intense irradiation, making it more susceptible to plasma instabilities.
Demonstrating ignition
In the early 1990s, scientists at Lawrence Livermore National Laboratory were confident that ignition could be demonstrated. They had accumulated considerable theoretical, experimental, and computational data over two decades. The national-lab scientists chose indirect drive as the main approach instead of direct drive, 6 because they believed the former allowed better control of the fuel capsule’s symmetry and stability.
The laser pulse and target were designed to control the crucial issues of symmetry and stability. The target, a 1-cm-long cylindrical cavity known as a hohlraum, encloses a hollow spherical fusion capsule, as shown in figure
Figure 3.

The fusion target that was used to demonstrate ignition in National Ignition Facility experiments consists of a high-density carbon capsule filled with deuterium–tritium gas with a cryogenically cooled outer shell of DT fuel. The capsule is suspended in a cylindrical cavity known as a hohlraum. It converts the laser light to x rays, which drive the capsule implosion. (Adapted from ref.

NIF experiments began in 2009, and a first ignition campaign was performed in the following three years. The results were disappointing: Fusion yields measured a few kilojoules instead of the expected megajoules. An analysis showed that a few discrepancies in the simulations used to design the experiments were to blame for the poor performance. For instance, the plasma generated inside the hohlraum caused reduced laser-coupling efficiency, deleterious laser–plasma interactions, 8 and a less symmetric implosion.
The hydrodynamic instabilities seeded by small engineering features in the design were another problem. The 10-µm-wide tube used to fill the capsule with DT fuel and the thin membrane that keeps the capsule at the center of the hohlraum, for example, caused carbon atoms from the ablator to mix with the DT fuel. The mixing enhanced radiation losses and hindered hot-spot heating.
In the following years, the fusion program at NIF—carried out by roughly 1000 scientists from the US and around the world—made a series of changes. They refined the original design to progressively control the implosion without altering the general scheme. 9 The team’s many significant changes included altering the laser pulse’s shape, modifying the dimensions of the hohlraum and capsule, replacing the hohlraum material and the ablator material, and reducing the size of the fuel-filling tube and the membrane that holds the capsule. In addition, the laser pulse energy was raised from 1.9 to 2.1 MJ, and power distribution between the beams was improved through the exploitation of nonlinear laser–plasma interactions.
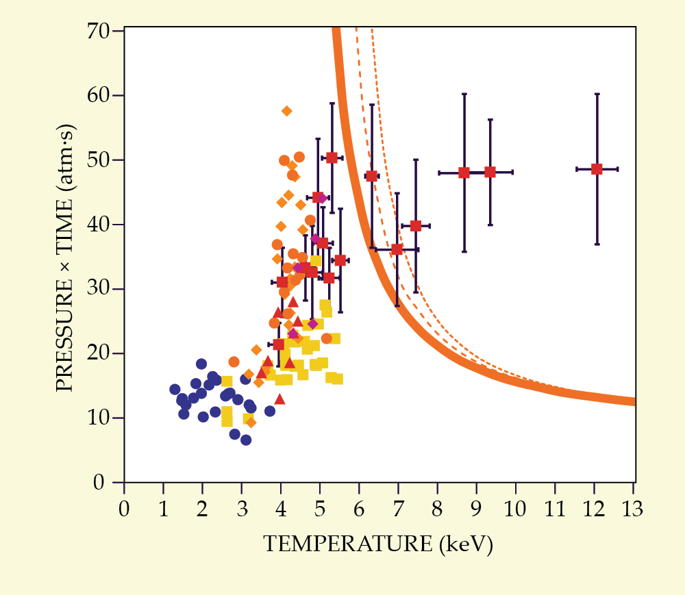
The efforts dramatically improved the setup and culminated in several achievements: in 2021, hot-spot ignition (see figure
Figure 4.

Performance of fusion experiments. The product of a hot spot’s peak pressure and measured burn time in experiments is plotted as a function of the hot spot temperature (1 keV = 1.16 × 107 K). Ignition has occurred if a data point and its uncertainty bars are above the solid orange curve. For experiments in which deuterium–tritium fuels are contaminated by carbon impurities, ignition has occurred if a data point is above the orange dashed curves. Three experiments overcame the ignition boundary in 2021–22, and three others overlapped with the boundary but did not demonstrably exceed it, given their uncertainties. The oldest experiments, from 2010, are plotted in the bottom-left corner, and the data show a steady improvement. (Adapted from ref.

The demonstration of ignition at NIF proves the soundness of both laser-driven compression and hot-spot ignition followed by burn propagation—two of the basic pillars of any laser inertial fusion scheme. The demonstration changes the prospects of inertial fusion research and opens a path toward inertial fusion energy (IFE). Although energy production was always considered a possible long-term goal of ICF research, the US program and NIF were funded by the Department of Energy’s National Nuclear Security Administration as part of the US Stockpile Stewardship Program. The achievement of ignition, however, has triggered various new initiatives, including an increase in the number of private companies that are pursuing IFE.
Inertial fusion energy
Major progress in many areas is still needed to make IFE a reality. In a laser-IFE reactor, the target’s release of fusion energy is eventually transformed into electrical energy, typically with a steam turbine system, with a thermal efficiency of 40%. A fraction f of the energy is used to energize the laser, while the complementary fraction 1 − f is delivered to the grid.
Preliminary system studies and economic analyses indicate that a value of f = 0.25 is the maximum amount of energy that can be used to energize the laser while still being compatible with economically viable energy production. To reach that goal, the product of target gain and laser efficiency must be larger than about 10. For a 10% efficient laser, that corresponds to a target gain of about 100, which is 50 times as large as what has been demonstrated at NIF. So far, NIF has ignited a few targets in single-shot experiments. But a commercial-sized gigawatt electric power plant would need to operate at a high repetition rate, with a few low-cost targets ignited per second.
Are such tremendous improvements possible, and if so, on what time scale? Before we consider those questions, remember that the NIF laser is based on 30-year-old technology, and the laser architecture and targets were designed to maximize the probability of ignition with the existing technology. The progress in fusion research over the past few decades reveals many options for improvement.
On the target side, NIF has so far demonstrated G = 1.9, which was about a factor of 30 increase compared with the G value achieved at the end of 2020. An additional increase, by a factor of 5, may be possible with the current indirect-drive scheme at NIF. An improvement by a factor of 5–10 in the coupling efficiency is possible by the replacement of indirect drive with direct drive. Progress in laser and target technology has overcome some of the limitations that led to the decision by NIF scientists to opt for an indirect-drive architecture.
Modern lasers can produce the very smooth, incoherent beams that are required to reduce the effect of both laser-induced perturbations of the surface target, which seed hydrodynamic instabilities, and laser-plasma instabilities, which reduce the absorption of laser light. Experiments at the Omega laser at the Laboratory for Laser Energetics in Rochester, New York, have recently shown that a central hot spot can be efficiently formed, 11 and models indicate that ignition could be achieved with the use of larger targets and lasers.
Another improvement by a factor of 2–3 can be attained by using an advanced ignition scheme, such as shock ignition 12 or fast ignition. 13 , 14 Such schemes still involve laser-driven implosion, but the stages of compression and hot-spot ignition are partly separated. A fusion target with a thick layer of DT fuel is first compressed to high density at as cold a temperature as possible and at a lower implosion velocity than in the conventional approach. If the velocity is lowered by half, then four times the amount of fuel can be used for the same kinetic energy that compresses the fuel. The lower velocity and thicker fuel reduce the risk of instabilities and make a more efficient use of the laser energy.
Larger targets with thicker fuel layers take longer to explode, which increases the burn-up fraction from about 5%, which is what’s been demonstrated at NIF, to 20–30%. The reduced implosion velocity, however, prevents the formation of an igniting hot spot. In fast ignition, a hot spot is generated in the compressed fuel by electrons or ions that are accelerated by an additional ultraintense multipetawatt laser pulse that lasts for a few picoseconds (see figure
Figure 5.

Proton fast ignition. (a) When spherical laser irradiation hits a fusion-fuel target, the outer shell is heated and blown away, which triggers the target to implode, at a velocity of about 200 km/s. (b) A proton beam is generated by the interaction of an ultraintense laser beam with a proton-generating foil supported by a cone. The ion beam then heats the compressed fuel to create a hot spot. The cone provides a clean path to the laser beam and shields the proton-generating foil from the expanding plasma and its radiation. In such a hot, compressed state, the hydrogen isotopes deuterium and tritium can fuse into helium, and the fusion energy can be harnessed as electrical energy. (Courtesy of Kateryna Bielka, Focused Energy.)

On the laser side, NIF has used a low efficiency flash-lamp-pumped glass laser, which is limited to single-shot operation. But it can be replaced by a high-efficiency diode-pumped glass laser. The technology—demonstrated so far in small devices—needs to be scaled to megajoule systems. The rapidly decreasing costs of diodes make such upscaling conceivable to us in the next 10–15 years. Excimer lasers are an alternative to solid-state lasers. They use a gas as the amplifier medium and have the advantage of not damaging the amplifier material. 15 In addition, because of their shorter wavelengths, excimer lasers generate higher pressures than solid-state lasers with the same intensity.
Fuel targets are currently manufactured by hand for experiments because only a small number of targets of any one design are being produced. Each one is carefully characterized in a labor-intensive process. But for a commercial power plant, up to a million targets have to be produced, characterized, and injected into the reactor vessel each day. That level of scaling will only be possible with commercial-scale mass production. The approach could significantly reduce the cost to make targets, but it has yet to be demonstrated.
A magnetic fusion energy device consists essentially of a single complex machine, in which the plasma chamber is surrounded by heat-exchange circuits, a tritium-breeding blanket, and superconducting magnets. The IFE approach, however, has its lasers and other main components in a separate building far from the harmful reactor environment. The separation allows not only for maintenance when the reactor is off but also for a wider choice of materials for the reactor. Although an IFE reactor is much simpler than a magnetic-fusion-energy one, it has to provide analogous functions concerning heat transfer, tritium breeding, and radiation containment. Some IFE-specific issues that still need to be addressed are target insertion and tracking and the optimization of the interface between the reactor and the laser optics.
An accelerated path
Of the many companies that have been established over the past 10 years to commercialize fusion energy, just a few are focusing on laser-driven IFE (see “The commercial drive for laser fusion power
Among US IFE startups, Xcimer Energy uses an argon fluoride excimer laser and a hybrid of indirect and direct drive, and Pacific Fusion is pursuing a magnetic-drive approach. The German–US company Focused Energy—which we both work for—pursues laser direct drive and uses diode-pumped solid-state lasers with proton fast ignition, although shock ignition is being evaluated as a backup solution.
Focused Energy is developing a modular, stepwise approach. A scaled-down facility with a limited number of beams could be built first, and then laser systems could be added over time to increase performance. The company plans to start with a small laser system within the next two years to address important physics questions. Then it will develop a subscale implosion facility where, without igniting a target, all the technology components can be developed to the required readiness level. They’ll be assembled in a demonstration fusion power plant that is slated to begin operations in about 15 years. The driving laser systems, the target technology, and the diagnostics systems can thereby be tested before the first run, which will save money and time.
Public institutions have been receptive to the entry of private IFE companies into the field. National labs, private companies, and universities have developed private–public partnerships in the US, 16 Germany, and the UK. In addition, the Department of Energy’s LaserNetUS program provides academic and private users access to laser facilities. Private companies can benefit from the body of expertise accumulated by public institutions over decades of fundamental research. Public institutions, in turn, could learn about more agile initiatives and high-risk, high-reward innovative concepts.
The results from NIF demonstrate that a laser-driven fusion target can achieve a target gain G > 1 and that the basic physics is understood. Although challenges remain for researchers and companies to take the NIF results and produce an economical power plant, the path to fusion energy is clear.
Updated 2 August 2024: An earlier version of this article incorrectly attributed figures 3 and 4 to reference 4.
References
1. H. Abu-Shawareb et al. (Indirect Drive ICF Collaboration), Phys. Rev. Lett. 132, 065102 (2024). https://doi.org/10.1103/PhysRevLett.132.065102
2. S. Atzeni, J. Meyer-ter-Vehn, The Physics of Inertial Fusion: Beam Plasma Interaction, Hydrodynamics, Hot Dense Matter, Oxford U. Press (2004).
3. R. Betti, O. A. Hurricane, Nat. Phys. 12, 435 (2016). https://doi.org/10.1038/nphys3736
4. J. P. Freidberg, Plasma Physics and Fusion Energy, Cambridge U. Press (2007).
5. J. Nuckolls et al., Nature 239, 139 (1972). https://doi.org/10.1038/239139a0
6. J. D. Lindl, Inertial Confinement Fusion: The Quest for Ignition and Energy Gain Using Indirect Drive, AIP Press (1998).
7. S. E. Bodner, J. Fusion Energy 1, 221 (1981). https://doi.org/10.1007/BF01050355
8. P. Michel, Introduction to Laser–Plasma Interactions, Springer (2023).
9. A. L. Kritcher et al., Phys. Rev. E 109, 025204 (2024). https://doi.org/10.1103/PhysRevE.109.025204
10. H. Abu-Shawareb et al. (Indirect Drive ICF Collaboration), Phys. Rev. Lett. 129, 075001 (2022). https://doi.org/10.1103/PhysRevLett.129.075001
11. C. A. Williams et al., Nat. Phys. 20, 758 (2024). https://doi.org/10.1038/s41567-023-02363-2
12. R. Betti et al., Phys. Rev. Lett. 98, 155001 (2007). https://doi.org/10.1103/PhysRevLett.98.155001
13. M. Tabak et al., Phys. Plasmas 1, 1626 (1994). https://doi.org/10.1063/1.870664
14. M. Roth et al., Phys. Rev. Lett. 86, 436 (2001); https://doi.org/10.1103/PhysRevLett.86.436
S. Atzeni, M. Temporal, J. J. Honrubia, Nucl. Fusion 42, L1 (2002). https://doi.org/10.1088/0029-5515/42/3/10115. S. P. Obenschain et al., Philos. Trans. R. Soc. A. 378, 20200031 (2020). https://doi.org/10.1098/rsta.2020.0031
16. S. C. Hsu, J. Fusion Energy 42, 12 (2023). https://doi.org/10.1007/s10894-023-00357-9
17. Y. Song et al., Sci. Adv. 9, eabq5273 (2023). https://doi.org/10.1126/sciadv.abq5273
18. “Breaking new ground: JET tokamak’s latest fusion energy record shows mastery of fusion processes,” EUROfusion News, 8 February 2024.
More about the Authors
Stefano Atzeni is a consulting senior scientist at Focused Energy GmbH. He retired in 2023 as a physics professor at Sapienza University of Rome. He is a coauthor of The Physics of Inertial Fusion (2004). Debra Callahan was one of the scientific leaders for the design that achieved ignition at the National Ignition Facility. She recently joined Focused Energy to use lessons from NIF results to develop a fusion power plant.