Discover
/
Article

Exploring the extremes of turbulence

JAN 01, 2011
Two experiments yield similar data but tell different stories about momentum transport at high Reynolds numbers.

Force a fluid gently and it responds in orderly fashion—points within the fluid trace out smooth, parallel streamlines at steady speeds in what is known as laminar flow. In fact, the response is so orderly that, absent significant diffusion, reversal of the forcing returns each point to its original location.

But disturb the fluid more vigorously so that the Reynolds number—the ratio of inertial to viscous forces—becomes large, and the well-organized flow gives way to the chaotic whirls and eddies of turbulence, with each point subject to abrupt and unpredictable changes in direction and speed. Both flow regimes are beholden to the same Navier–Stokes equations. But whereas laminar flow is easily understood and modeled, turbulent flow is among the most mysterious phenomena in fluid mechanics.

Now, two independent experiments—one by Detlef Lohse and colleagues at the University of Twente in the Netherlands, 1 the other by Daniel Lathrop and Matthew Paoletti at the University of Maryland, College Park 2 —shed new light on turbulence. The data, gathered from previously unexplored regions of the turbulent flow parameter space, could provide insight into fundamental questions of transport phenomena, from the lab scale to the astronomical.

Spin control

The groups’ experiments have much in common. Both teams studied Taylor–Couette flows, in which fluid is sheared between concentric, rotating cylinders, as shown in Figure 1. Their devices were also similarly proportioned: Each team’s cylinders were about 1 m tall. Lohse and company’s had radii of 20 and 30 cm; Lathrop and Paoletti’s, 16 and 22 cm. The teams gathered information about angular momentum transport by measuring the torque required to rotate the inner cylinder at a fixed rate.

PTO.v64.i1.18_1.f1.jpg

Figure 1. A Taylor–Couette cell. Water fills the gap between concentric cylinders, which are rotated with angular velocities Ωi and Ωo. To minimize the role of end effects, the new experiments measured only the torque on the middle length of the inner cylinder, L mid. (Adapted from D. P. M. van Gils et al., http://arxiv.org/abs/1011.1572.)

View larger

Most crucial from a hydrodynamics perspective, however, were the high rotation rates each team could achieve—around 600 rpm for the outer cylinder, which could rotate in either direction, and 1200 rpm for the inner cylinder. When water fills the intracylinder gap, as it did in both teams’ experiments, those high rotation rates translate to Reynolds numbers on the order of 106. (Flows in pipes become turbulent at Reynolds numbers around 4 × 103.) That surpasses the Reynolds numbers of 105 achieved in 1936 by Fritz Wendt, whose experiments, curiously, had remained par excellence in the Taylor–Couette literature for nearly 75 years.

It comes as little surprise, then, that the two teams, exploring similar Taylor–Couette parameter space with similar devices, retrieved similar data. But the stories that those data tell, like the motivations behind the experiments, are quite different.

Ultimate turbulence

Lohse and company were inspired by similarities underlying Taylor–Couette and Rayleigh–Bénard flows, the latter consisting of a fluid confined between two horizontal plates and heated from below (see the article by Leo Kadanoff, PHYSICS TODAY, August 2001, page 34 ). Though at first glance the relationship between the two might seem tenuous, there are strong physical parallels.

If the temperature difference in a Rayleigh–Bénard cell is slight, heat transfer from the bottom to the top plate is entirely conductive. If the difference grows, thermal expansion causes the fluid near the hot plate to float upward, carrying heat with it, while the cooler, denser fluid above sinks. At large temperature gradients—that is, when the Rayleigh number Ra, the ratio of temperature-induced buoyant forces to viscous forces, becomes large—those convection currents become turbulent.

Likewise, if the inner cylinder of a Taylor–Couette cell is rotated slowly, angular momentum is transferred to the outer wall via laminar shear. Rotate the inner cylinder faster, though, and the outward-pulling centrifugal forces, which are greatest near the fast-spinning inner cylinder, destabilize the system—an effect known as the Rayleigh instability. Spin the cylinder faster still, so that the Taylor number Ta—the ratio of rotation-induced centrifugal forces to viscous forces—becomes very large, and turbulence will set in.

The two scenarios aren’t merely qualitatively similar; the Navier–Stokes equations suggest they are, in fact, mathematically equivalent. 3

But the theory believed to underlie both systems had yet to be conclusively borne out in experiments. In 1962, Robert Kraichnan proposed scaling laws for heat flux in the so-called ultimate turbulence regime of Rayleigh–Bénard flow—the regime corresponding to asymptotically large Ra—but his predictions have proven difficult to confirm. That’s probably because heat-driven convection isn’t quite strong enough to sweep away the thin laminar boundary layers near the plates, a prerequisite for reaching ultimate turbulence.

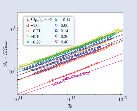
But Lohse and company—possibly due to the vigorous shearing inherent to Taylor–Couette flow—appear to have reached the ultimate turbulence regime. Figure 2 shows their torque data, which, appropriately normalized, scale unambiguously as Ta 0.38—precisely the effective scaling Kraichnan’s theory would predict for a comparable sampling of Rayleigh–Bénard flows.

PTO.v64.i1.18_1.f2.jpg

Figure 2. In their Taylor–Couette experiments, Detlef Lohse and colleagues found that the Nusselt number Nu—the torque on the inner cylinder (G) divided by the expected torque for a laminar flow (G lam)—scaled as Ta 0.38, where Ta is the Taylor number. The results confirm theoretical predictions for turbulent behavior in both Taylor–Couette and Rayleigh–Bénard flows. (Adapted from ref. 1.)

View larger

“Understanding what happens in the fully turbulent regime is something that many of us in the Rayleigh–Bénard field have been working on,” explains Guenter Ahlers of the University of California, Santa Barbara. “It’s hotly debated whether anyone has achieved it in the Rayleigh–Bénard system, but with the Taylor–Couette experiments they have now easily gotten into that regime.” The newfound access to the ultimate regime may enable researchers to put to rest, once and for all, many long-standing questions about turbulent convection.

Falling flows

Meanwhile, Lathrop and Paoletti trained their sights on the cosmos. They partitioned the Taylor–Couette parameter space by Rossby number Ro, the ratio of inertial to Coriolis forces (see figure 3). Regions I and II contain the Rayleigh-stable flows, marked by small Rossby numbers; Region III and IV flows, which have large Rossby numbers, are Rayleigh unstable.

PTO.v64.i1.18_1.f3.jpg

Figure 3. Daniel Lathrop and colleagues partitioned the Taylor–Couette parameter space according to Rossby number Ro—the ratio of inertial to Coriolis forces—and found that torque (G), normalized here by the corresponding torque at infinite Ro (G ), scales in each region as Ro −1. The torques observed in the quasi-Keplerian regime, region II, are consistent with turbulent flow, which could help explain the behavior of protostellar accretion disks. (Adapted from ref. 2.)

View larger

It is region II that has piqued the interest of the astrophysics community. Flows in that region are quasi-Keplerian: Like the Keplerian trajectories of celestial bodies, the innermost regions have higher angular velocity, but less angular momentum, than the outermost regions. Notable in that category of flows are accretion disks, gaseous clouds that spiral toward a dense center such as a star or black hole.

But as Lathrop explains, “In order for a gas cloud to collapse, bits of gas have to exchange momentum in such a way that one gets flung outward so another one can fall. If you can’t exchange enough angular momentum, you can’t form stars.”

In fact, astrophysical accretion seems to call for more angular momentum transport than the hydrodynamics of quasi-Keplerian flows should be able to supply. In disks of plasmas, the so-called magneto-rotational instability is thought to make up the difference; for cooler, nonionized systems, including parts of the accretion disks that feed protostars, an explanation remains elusive.

At issue is the question of whether a rotating, Rayleigh-stable flow can become turbulent—by way, perhaps, of a nonlinear instability. At the large Reynolds numbers attained by Lathrop and Paoletti, the answer appears to be yes. The team observed torques in region II that, while smaller than those in the Rayleigh unstable regions III and IV, were still much larger than one would expect for laminar flow. The torques also exhibited large fluctuations, another signature of turbulence.

“If their result could be extrapolated to astrophysical disks, it would mean that there is substantial turbulence near the midplanes of the disks around protostars,” says Princeton University’s Jeremy Goodman. He cautions that several factors, such as the role of boundary effects in the Taylor–Couette experiments, must be better understood before such a conclusion can be definitively drawn.

Gaining momentum

Neither team plans to retire its Taylor–Couette device just yet: Lohse and company are presently incorporating laser Doppler velocimetry into their experiments to characterize local velocity fluctuations; Lathrop’s group hopes to investigate and better understand the torque fluctuations they observed in their quasi-Keplerian flows. With turbulence still supplying more questions than researchers have answers, it would seem the fast-spinning devices have many more round trips in store.

References

  1. 1. D. P. M. van Gils, S. Huisman, G. W. Bruggert, C. Sun, D. Lohse, Phys. Rev. Lett. https://doi.org/PRLTAO (in press).

  2. 2. M. S. Paoletti, D. P. Lathrop, Phys. Rev. Lett. https://doi.org/PRLTAO (in press).

  3. 3. B. Eckhardt, S. Grossmann, D. Lohse, J. Fluid Mech. https://doi.org/JFLSA7 581, 221 (2007).

Related content
/
Article
The finding that the Saturnian moon may host layers of icy slush instead of a global ocean could change how planetary scientists think about other icy moons as well.
/
Article
/
Article
After a foray into international health and social welfare, she returned to the physical sciences. She is currently at the Moore Foundation.
/
Article
Modeling the shapes of tree branches, neurons, and blood vessels is a thorny problem, but researchers have just discovered that much of the math has already been done.
This Content Appeared In
pt-cover_2011_01.jpeg

Volume 64, Number 1

Get PT in your inbox

pt_newsletter_card_blue.png
PT The Week in Physics

A collection of PT's content from the previous week delivered every Monday.

pt_newsletter_card_darkblue.png
PT New Issue Alert

Be notified about the new issue with links to highlights and the full TOC.

pt_newsletter_card_pink.png
PT Webinars & White Papers

The latest webinars, white papers and other informational resources.

By signing up you agree to allow AIP to send you email newsletters. You further agree to our privacy policy and terms of service.