Discover
/
Article

New Themes and Audiences for the Physics of Music

JAN 01, 2002
Music offers a powerful yet accessible context for introducing the techniques and principles of the scientific method.
George N. Gibson
Ian D. Johnston

It is a truth universally acknowledged: Fewer and fewer university students are studying physics. According to figures released by the American Institute of Physics (AIP), the number of physics bachelor degrees awarded each year in the US fell by more than 20% in the 1990s. 1 The absolute decline in the number of students studying physics is a recent trend, but the relative unattractiveness of physics as a field of study is a long-term phenomenon. Even with the dramatic increases in physics enrollments during the 1960s, the number of physics bachelor degrees awarded annually since 1955 has gone up by only a factor of three. Over the same period, the number of bachelor degrees granted overall has increased more than ninefold!

Similar patterns are repeated in other countries, for example, in Australia 2 and Germany. 3 And it is not just physics that is suffering this way. Trends in chemistry parallel those in physics. 4 Biological sciences appear to be holding their numbers in recent years, but the number of biology students is not increasing as fast as the total university population. 5

This trend is extremely worrisome to policy-makers. Our civilization is profoundly dependent on science and technology. Not only do we need a workforce to manage technological resources, we also need an informed community to make decisions about what science to pursue and which technologies to develop. The voting public needs some understanding of science to ensure that sensible scientific policies will be established and followed. Universities, colleges, and schools must strive to help students become scientifically literate.

Some AIP data indicate that, even though few students seem willing to study physics in order to become professionals, many are still interested in learning about it. 6 The observations afford no comfort to those worried about a future shortage of professional physicists, but they do suggest that a judicious offering of imaginative courses might persuade more of the future voting public to learn about physics.

Courses designed to teach a small amount of science to nonscientists are not new. Most universities have long-standing general education requirements stipulating that all students must study some science; however, we believe that some of the courses developed to address this requirement are poorly conceived. For example, many universities offer courses called “Musical Acoustics” or “The Physics of Music” that cover the area of particular interest to us. Music is a field of study that engages many who are not directly attracted to mainstream physics, and it can serve as a context in which to explore physics. Often, though, physics of music courses tend to be narrowly focused on sound and the acoustical properties of musical instruments. Furthermore, they are taught with exactly the same mindset as mainstream physics courses, except that they are “dumbed down” to meet the students’ lack of mathematical background. There is certainly little about music in them.

We believe that any course designed to teach non-science students about the nature of science must have intellectual depth at least as great as that of a regular physics course. Students will not be able to understand the role science plays in our world if the course is simply science appreciation.

The course should have a strong connection to 20th-century physics. Classical physics is difficult to teach to non-science students, who have misconceptions that must first be unlearned. Moreover, it is typically the kind of physics that turned the students off in the first place. Modern physics is in many ways easier to teach, both because students have fewer preconceptions and because it is intrinsically more inspirational. It shows the techniques and processes of science as they apply now, to questions whose answers are not necessarily known. And most important of all, it is the kind of science that leads to new questions.

A course for nonscientists should emphasize techniques and processes that develop new knowledge rather than a specific body of knowledge. Future societal dilemmas will require new knowledge for their solution, but there is no way of knowing now what that knowledge will be. Nevertheless, students must acquire some basic scientific knowledge and skills to be able to evaluate differing points of view when science seems to clash with, say, religious or political imperatives.

Music of the spheres

It was Pythagoras who, through his studies of intervals and scales using stringed instruments, first realized that mathematical reasoning could be applied to nature. Specifically, he found that the intervals heard when two strings were plucked sounded pleasing only if their lengths were in ratios of small integers, other things being equal. The octave (corresponding to a length ratio of 2:1) and the perfect fifth (corresponding to a ratio of 3:2) were deemed the most consonant intervals. Pythagoras constructed a scale beginning with a fundamental, raising it by increasing numbers of perfect fifths, and lowering by octaves as necessary so that no note had a frequency more than twice that of the fundamental. The relative frequency of every note in this Pythagorean system, shown in the left illustration, can thus be expressed as 3 n 2m , with n and m being positive integers. The shaded notes in the illustration give the diatonic scale. Including the five additional unshaded notes yields the chromatic scale. One can also construct a Pythagorean scale going down by perfect fifths and up by octaves.

Astronomers from the ancient Greeks to Kepler believed that musical constructions could also be used to explain the orbits of the planets. Kepler, in particular, used music theory to try to understand why the planetary orbits, like the one illustrated in the central figure, have their particular shapes. As discussed in box 2, his considerations eventually led him to his third law.

The ancient concept that the cosmos displays a musical order was known as the music of the spheres. This concept resurfaced in the 1900s during the early development of quantum mechanics, when it was realized that the properties of the atom could be expressed with integral quantum numbers. The Bohr-Sommerfeld orbits shown in the right figure give angular momentum quantum numbers l which may vary from 1 to n, the principal quantum number.

PTO.v55.i1.42_1.d1.jpg

A path to something deep yet general

In teaching physics to science majors, we professors try to help students gain a deep understanding of the subject by carefully laying the groundwork. Our introductory courses tend to emphasize classical mechanics, electromagnetism, and basic mathematics skills, even though these topics seem to be abstract and divorced from everyday life. We believe that, unless our students understand the fundamentals well, they will have great difficulty with advanced topics.

But non-science students will probably never take advanced courses. If they are to gain an appreciation of physics and the scientific method, it will not be because they need it later, but because of its relevance to the world and society as they see it. Therefore, in preparing a course for these students, one is not bound to follow a particular curriculum, but can choose from topics of relevance to the students themselves, such as cultural or artistic issues.

Modern research in physics education has demonstrated that students learn new concepts by constructing understanding from what they already know. 7 Science students are more or less familiar with the abstract world of, say, classical mechanics. For them, learning more physics is the next step in a natural progression. But non-science students lack this shared experience. To help them learn, teachers need to identify a common background from which they can work with students. Music meets this requirement because it is a near universal cultural experience. One rarely asks, “Do you like music?” but rather, “What kind of music do you like?” It should therefore be possible for music to provide a familiar and positive context in which to learn physics, one in which enjoyment of the subject matter can help immensely. The common interest in music is not a technical foundation, but it is rich in terms of cultural references.

Many textbooks and courses are called something like “The Physics of Music.” Even the most valuable among these tend to address the question, What does physics teach us about music? They therefore don’t take full advantage of students’ familiarity with and enjoyment of music. We propose that the aim of a course on the physics of music should address the question, What does music teach us about physics? This formulation allows one to take lessons from the physics of music and apply them to other areas in physics—a process of broadening rather than narrowing. This approach is also consistent with the study of certain topics in great depth.

One of the most significant ideas in physics is that a few well-constructed principles can explain a large diversity of phenomena. But this idea presupposes a deep understanding of the underlying principles, and herein lies the problem with achieving breadth in a terminal one-semester course: What concept can you teach quickly, in detail, and with little math, that applies to many areas of physics? One good candidate is spectroscopy, which allows for a sophisticated discussion of many different topics in modern physics. A course for nonscientists, however, does not need to be completely comprehensive, and the temptation to be too systematic should be avoided. Completeness is not what nonscientists need. More important is a path into something deep yet general.

We will now describe a one-semester physics of music course, developed by one of us (Gibson), that is offered to non-science majors at the University of Connecticut. It satisfies the university’s general education requirement for science and technology, as well as the general requirements for laboratory work and quantitative reasoning. The physics in the course is essentially limited to one topic—waves—studied with a single technique—spectroscopy. The spectroscopic analysis of waves provides the path to a deep understanding of the nature of science. In addition, the course tells the interesting and important story of the contributions throughout history that music has made to the development of physics. The historical and physical themes are developed through the course, and are interleaved as the course progresses. In this sense, the structure of the course is musical in character.

The harmonies of the world

Kepler aimed to reinterpret the ancient doctrine of the music of the spheres in the light of Copernicus’s Sun-centered universe. He gave the world his first and second laws in 1609. It took another 10 years before he published the third law, which he called the Harmonic Law, in what he considered his most important book, The Harmonies of the World.

Kepler didn’t express the law, as we do today, as a relationship between the average radius of a planet’s orbit and its period. Instead, as illustrated left, he represented the orbital angular velocity for each planet on a musical staff, the lowest note corresponding to the aphelion and the highest to the perihelion. The ratios of these angular-velocity pairs are very close to those defining musical intervals, and their corresponding notes could be arranged into four harmonious chords. Kepler wrote:

The heavenly motions are nothing but a continuous song for several voices, to be perceived by the intellect, not by the ear; a music which, through discordant tensions, through syncopations and cadenzas as it were, progresses towards certain predesigned sixvoiced cadences, and thereby sets landmarks in the immeasurable flow of time.

PTO.v55.i1.42_1.d2.jpg

Music of the spheres

The performance of music is one of humankind’s oldest artistic occupations. Animal bones discovered in an archaeological site in Slovenia display holes in the sides such as are found in flutes. The bones date from Neanderthal times—more than 40 000 years ago. 8 The theory of music also goes back a long way. Chinese archaeologists have unearthed several complete flutes that are more than 9000 years old. The notes that these flutes were designed to play are identical to those of a scale used in the great period of Chinese musical science in the 15th century. The inference is that ancient civilizations were well aware of relationships between musical pitches and used their technology to control them. 9

Western science and Western musical theory are both taken to have begun with the school of Pythagoras around 500 BCE. Pythagoras’s discovery that pleasing musical intervals correspond to ratios of small whole numbers led to the conceptions that the natural world could be analyzed in mathematical terms and that the cosmos displayed an order that was musical in character. The notion that the cosmos was musically ordered was referred to as “the music of the spheres.” It was an idea that was to underpin most of science for 2000 years, bearing notable fruit with the work of Kepler in post-Renaissance Europe. Indeed, until as recently as the 18th century, music theory was considered a part of natural philosophy, and it was only to be expected that a serious scholar would be interested in both—Galileo is an excellent example. Boxes 13 on pages 43–45 show the enduring influence of the music-of-the-spheres idea and sketch examples of how musical considerations affected the work of Kepler and Galileo.

With Sauveur, Fourier, and Helmholtz, the intellectual discipline that used to be known as harmonics was subsumed into acoustics. Nevertheless, music retained a kind of inspirational role, particularly among the German school centered around Max Planck (who was Helmholtz’s student), Arnold Sommerfeld, and Werner Heisenberg. Much of the early work on quantum theory involved the explanation of collections of frequencies in terms of simple mathematics: In the 20th century CE as in the 5th BCE, fundamental conclusions about the natural world were expressed in terms of ratios of small integers. And the main experimental tool behind all the theoretical speculations of the early 20th century was spectroscopy. Sommerfeld wrote in 1919 that the problem of the atom would undoubtedly be solved once physicists had learned to understand the language of spectra. 10

The complex interplay between music and science, both historically and conceptually, has been laid out in some detail in the book Measured Tones , written by one of us (Johnston). 11 At heart music and physics are closely related intellectual disciplines. The key point in the context of this article is that the power of spectroscopy, both for music and for physics, lies in its precision, elegance, and simplicity, as well as in its ability to reveal underlying patterns in nature. These attributes provide ways of teaching science on a deep yet relatively simple level. Spectroscopy may be viewed as the study of frequencies and it is the single most important tool in modern physics and precision measurement. Clearly, much of the physics of music involves relationships between frequencies. That is, from a scientific standpoint, music is fundamentally spectroscopic. Intervals, scales, overtone series, consonance and dissonance, vibrational modes of instruments, and timbre all provide rich material for introducing spectroscopy and its significance. So, students can learn about science if we teach them about music. Moreover, understanding musical relationships gives a general understanding of how spectroscopy applies to many other fields of physics and beyond. It must be borne in mind, though, that the connection between physics and music goes beyond spectroscopy.

The two Galileis

In 1570’s Florence, a group of musicians, scientists, and noblemen known as the Camerata had a lot to do with the introduction of a new style of music, which we now call early baroque. One member of that group was a minor composer and performer, Vincenzo Galilei.

Vincenzo was upset by the prevailing orthodoxy holding that musical harmony could be deduced from pure numbers by philosophical reasoning alone. He argued that music must derive from the properties of sound, which are to be found by experiment. In one of his most famous demonstrations to the Camerata, he was the first to show that the pitch of a stretched string depends on the square root of its tension. Therefore the harmonic ratios 4:6:8:9:12:16 do not produce consonant intervals when applied to tension. Vincenzo’s demonstration contradicted conventional Pythagorean doctrine as illustrated by the accompanying figure. Taken from one of the leading books on musical theory of the day, the illustration indicates Pythagoras playing strings whose tensions (proportional to hung weights), not lengths, are in the harmonic ratios. 16 Vincenzo was assisted in his experiments by his teenaged son, who very soon went on to discover for himself the law of isochronicity of pendulums.

PTO.v55.i1.42_1.d3.jpg

The story of what happened to Galileo Galilei is well known and need not be repeated here. But at the end of his life, held under house arrest and forbidden to write about astronomical matters, he returned to the experiments he had done with his father. In his famous Dialogues Concerning Two New Sciences (1638), he was the first to recognize the importance of frequency in acoustics. He wrote:

This fact established, we may possibly explain why certain pairs of notes differing in pitch produce a pleasing sensation, others a less pleasant effect and still others a disagreeable sensation.

Galileo proceeded to model the vibrations of the air at an eardrum by different pendulums, and pointed out that when the frequencies of the pendulums were in the ratio of small whole numbers, there was an obvious repetitive pattern to the sound that the ear could recognize. He claimed to have demonstrated what philosophers had been saying for so long: that harmony lies in the perception of order.

Theme and variations

Up to this point, we have emphasized the philosophical justification for and historical content of the University of Connecticut physics of music course. We now turn to the physical content, a series of variations on an ancient theme: The natural world can be understood through laws of physics and described by mathematical relationships as exemplified by Pythagoras’s analysis of the musical scale. This analysis represented the first application of spectroscopy. Pythagoras found, in essence, that the musical scale was not a random group of frequencies but a specific set that could be generated using simple integers.

While the realization that the musical scale could be analyzed mathematically represented a seminal breakthrough in the development of both music and science, there were many questions Pythagoras could not answer, such as why pairs of strings with certain ratios of their lengths sound consonant. Indeed, only melodic instruments based on strings and air columns lead to such simple relationships. In essence, the overtone series of melodic instruments are harmonic (that is, the overtone frequencies are integer multiples of a fundamental), and that leads to the Pythagorean ratios for consonant intervals. However, to fully understand this point requires more technical concepts such as period, frequency, wavelength, boundary conditions, standing waves, and overtones.

First variation: Nonharmonic systems. Once the students grasp the basic aspects of one-dimensional harmonic systems, they are introduced to nonharmonic, non-melodic systems such as the vibrating bars on a xylophone. Although a detailed analysis of a vibrating bar is not possible in a course for nonscientists, the xylophone serves to illustrate an important idea: Science almost always works on the edge of what is generally understood and it can progress even in the face of incomplete knowledge. Physicists are able to find tools and approaches that can guide them into the unknown. In the case of the vibrating bar, the approach is to look for scaling laws. It is easily observed that the lengths of bars an octave apart in a xylophone are not in a ratio of 2:1, as for melodic instruments, but rather in the ratio 2 : 1 . This observation forces students to confront the idea of scaling laws that, in general, they have great difficulty in understanding. The consequences of this confrontation are profound, because as students grapple with scaling laws, they are forced to reconsider the common notion that a formula is first and foremost a set of instructions for entering numbers into a calculator.

The nonlinearity in the scaling of frequency with length also raises the question of whether the overtone series of a vibrating bar is unusual. In one of their labs, students find the nonharmonic overtone series: 1.00, 2.54, 5.40, … So the overtone series can reveal information about the physical system being investigated. In practice, the nonharmonic overtones relegate the xylophone and related instruments to the percussion section of the orchestra, and instrument makers must expend great effort to make them sound rich and melodic.

Second variation: Two-dimensional systems. Nonharmonic vibrating bars add a complicating twist to the basic material concerning 1D harmonic systems. Twodimensional systems offer a different kind of complexity. Several labs investigate sound waves in a thin rectangular cavity using the simple setup shown in figure 1. A small speaker in one corner drives the cavity and a microphone is placed as shown. A sound file that sweeps in frequency from 0 to 5 kHz is played into the speaker while the output of the microphone is rectified and plotted on the computer.

PTO.v55.i1.42_1.f1.jpg

Figure 1. A simple acoustic cavity provides an opportunity to explore a broad range of applications of spectroscopy. (a) Experimental setup for the two-dimensional system discussed. The width is fixed at 7.6 cm but the length, L, may be continuously varied. A switch may be set to either spectrum or feedback settings. When the switch is in the spectrum setting, a signal from the computer is sent to the speaker. The microphone then receives a signal, which is amplified and recorded. In the feedback setting, the microphone output is amplified and routed back to the speaker. In this configuration, the acoustic cavity provides a general model for phenomena involving feedback, such as in wind instruments, lasers, and frequency sources and standards. (b) Microphone signal versus frequency for a cavity length of 14.3 cm. Resonant frequencies are clearly visible but, in contrast to one-dimensional melodic instruments, they are not easily identified.

View larger

The figure illustrates the rather complex cavity spectrum. Unlike those of a 1D spectrum, the resonances shown cannot be identified by inspection. Students must realize that there are three types of modes: the simple harmonic series corresponding to waves propagating in the horizontal direction, the fmodes; the simple series corresponding to waves propagating in the vertical direction, the gmodes; and the combination modes characterized by the noninteger values F n , m = ( f n 2 + g m 2 ) . Because of the more complicated resonance structure in a 2D cavity, students make predictions about what the resonant frequencies should be, based on the measured dimensions of the cavity and the speed of sound. They then try to find a 1-to-1 correspondence between the predicted and measured frequencies. The correspondence isn’t exact, mostly because the students use a value for the speed of sound that’s not quite correct. Indeed, once the modes are identified, the students determine a corrected speed of sound with a precision of about 0.5%.

Students can complete the lab just described in less than 2 hours, yet they perform the important steps in spectroscopy. They develop an approximate theoretical model to identify the peaks, measure the peaks accurately, and feed the data back to correct the theoretical model. Ultimately, the whole exercise results in a very good measurement of some other quantity, in this case, the speed of sound.

Development: Applications of spectroscopy

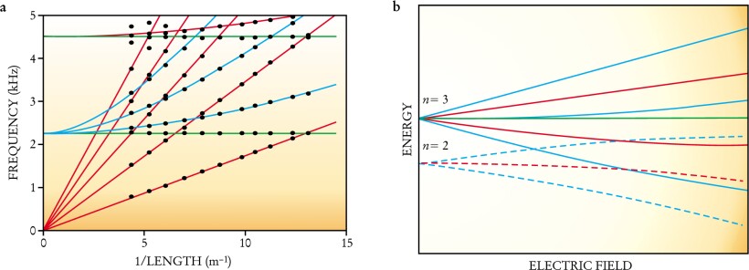
There are a number of interesting refinements to the lab based on the 2D cavity. For example, students vary the length of the cavity L, measure the resulting resonant frequencies, and plot them as a function of 1/L. The resulting cavity mode diagram, given in figure 2(a), is rich with information. What first appears as a random collection of points begins to show patterns. Indeed, all of the points in the cavity mode diagram can be grouped into three types of lines: slanted lines going through the origin (corresponding to f modes), horizontal lines (corresponding to g modes), and curved lines asymptotic to one f line and one g line (corresponding to combination modes). The mode diagram provides a way to begin analyzing nonrectangular cavities. Furthermore, one can ask whether the shape of an arbitrary cavity can be determined from the spectrum 12 or, more interestingly, whether the chemical composition of the medium in a sealed cavity can be determined. 13 Plots similar to cavity mode diagrams reveal patterns and symmetries in diverse systems such as a single-electron atom in an electric field. Figure 2(b), which shows how the electric field splits energy levels, bears a striking resemblance to the cavity mode diagram.

PTO.v55.i1.42_1.f2.jpg

Figure 2. Cavity modes and the stark effect. (a) A plot of resonance frequency versus inverse length is called a cavity mode diagram. The points on such a diagram can be grouped into three classes of line: slanted, horizontal, and curved. Each class corresponds to a different kind of mode. (b) The Stark effect is the splitting of energy states by an electric field. The graph, adapted from ref. 17, shows energy versus applied electric field for the n = 2 (dashed lines) and n = 3 (solid lines) levels of a single electron atom. The plot shares several features with the cavity mode diagram, including slanted, horizontal, and curved lines, along with a lifting of the degeneracies present when the horizontal coordinate vanishes.

View larger

Students often complain that undergraduate physics labs are dull and uninteresting. They simply go though a prescribed set of instructions and get mediocre results from experiments that were understood centuries ago. Consequently, two principles were used to develop the labs in the course. First, the labs should emphasize techniques for exploring physics. Thus, even if the experiments are well understood, the techniques should be applicable to a broad range of phenomena. Second, almost all of the labs have spectroscopy as a theme, but at progressively deeper levels of sophistication. Students cannot attain proficiency in a technique like spectroscopy during one lab period; it takes time and practice. Thus, the laboratory sequence starts with students simply matching, by ear, the frequency of a function generator to that of a tuning fork, and progresses to the automated frequency sweep and data acquisition mentioned previously.

The material discussed so far represents about 60% of the course content. With this foundation, a number of additional topics can be covered including interference in space and time; the Doppler effect; shock waves; the difference between the absolute reference frames used to describe sound propagation and the relative reference frames used when discussing light; and psychoacoustics, including the perception of consonance and dissonance.

Coda: Assessment

It has become clear that new material and techniques introduced into physics courses must be evaluated and refined if course goals are to be achieved. Those who teach the physics of music cannot take advantage of standardized tests such as the Force Concept Inventory designed for introductory mechanics courses. Thus, a test specifically tailored to the University of Connecticut course was administered pre- and post-instruction for two different semesters. Students performed substantially better on the test after taking the course.

However, since students need to understand the nature of science rather than a specific body of facts, it is more important to test their attitudes than it is to test for the physics concepts they have acquired. Studies on how introductory mechanics courses affect student attitudes are not encouraging: The data indicate that taking one semester of physics most often worsens attitudes toward science (see the article “Teaching Physics: Figuring Out What Works” by Edward F. Redish and Richard N. Steinberg in Physics Today, January 1999, page 24 ).

Creating a survey to gauge changes in students’ attitudes toward science is not easy, not to mention that merely defining what constitutes a desired change is problematic. Several attitude surveys do exist, such as the Maryland Physics Expectations (MPEX) Survey 14 and the Scientific Attitude Inventory (SAI II). 15 However, much of the MPEX focuses on attitudes about how to learn physics at a more advanced level, and while the SAI II has been widely used, we are not in complete sympathy with a couple of its position statements.

Students often hold conflicting views, which further adds to the difficulty of writing one’s own survey. For example, two questions we have tested are: Do you think that the natural world follows fixed laws of physics and can be described by mathematical equations? and Do you think that a good understanding of mathematics and physics is necessary for advanced technologies, such as computers, space exploration, and medicine? The students consistently agreed more strongly with the second question than the first. Clearly, the physics education research community needs to do a good deal of work, first, to find out what views students hold coming into their courses, and second, to help educators decide how they want to modify those views.

Music provides a context in which students can learn physics concepts while developing a more positive attitude toward science. A strength of the University of Connecticut course is that the study of music can be discussed in terms of spectroscopy, one of the most powerful and successful techniques in modern physics. By applying spectroscopic techniques in a context of musical discovery, students can gain a real appreciation for the nature of science.

Gibson thanks Richard N. Zare for his advice and encouragement and acknowledges the assistance and patience of laboratory coordinators Robert V. Erickson and Gloria Ramos and teaching assistants Bruce Duncan and Ryan Coffee at the University of Connecticut during the development of the course discussed in this article.

Johnston thanks the Science Foundation for Physics at the University of Sydney for continued support and expresses appreciation to all the teachers from around the world who offered advice for the second edition of his book on this subject, due for release in March 2002.

References

  1. 1. P. J. Mulvey, S. Nicholson, Enrollment and Degrees Report, AIP Statistical Research Center, College Park, Md. (August 2001), online at http://www.aip.org/statistics/trends/reports/ed.pdf .

  2. 2. See I. R. Dobson, A. J. Calderon online at http://www.acds.edu.au/TrendsInScienceEduc_CD.pdf .

  3. 3. See, for example, F. Paul, H. Föll, W. Jäger online at http://www.techfak.uni-kiel.de/dekanat/berichte/bangkok.pdf .

  4. 4. Royal Society of Chemistry,Chemistry in the UK: Will It Survive?, conclusions of the Workshops for those in Universities and Industry, Feb. 1995. Copies are available from Martin Hunt, Royal Society of Chemistry, Burlington House, Piccadilly, London, W1V 0BN, UK.

  5. 5. See, for example, the results of a 1995 survey of scientific literacy in G. Nowlan, “Go Public or Perish: A Critical Need for Public Awareness of Science in Canada,”Synapse, Mar. 1997, available from the publisher, Science Council of British Columbia, Suite 400-4710, Kingsway, Burnaby, B.C., V5H 4M2, Canada.

  6. 6. American Institute of Physics, AIP Bulletin of Science Policy News, no. 126, AIP, College Park, Md. (20 Oct. 2000), online at http://www.aip.org/enews/fyi/2000/fyi00.126.htm .

  7. 7. See, for example, D. Newman, P. Griffin, M. Cole in Constructivism in Education, L. P. Steffe, J. Gale, eds. Lawrence Erlbaum, Hillsdale, N.J. (1995).

  8. 8. See M. K. Miller, online at http://www.exploratorium.edu/aaas-2000/0221_dispatch_flutes.html .
    See also B. Fink, online at http://www.webster.sk.ca/greenwich/fl-compl.htm .

  9. 9. P. M. Gray, B. Krause, J. Atema, R. Payne, C. Krumhansl, L. Baptista, Science 291, 52 (2001).https://doi.org/10.1126/science.10.1126/SCIENCE.1056960

  10. 10. From the preface to the first edition of A. Sommerfeld, Atomic Structure and Spectral Lines, H. L. Brose, trans. Methuen, London (1923).

  11. 11. I. Johnston, Measured Tones: The Interplay of Physics and Music, 2nd ed., IOP, Philadelphia (in press).

  12. 12. M. Kac, Am. Math. Monthly 73, 1 (1966).https://doi.org/10.2307/2313748

  13. 13. D. N. Sinha, G. Kaduchak inHandbook of Elastic Properties of Solids, Liquids, and Gases, vol. 4, R. Raspert, M. Levy, eds. Academic Press, San Diego, Calif. (2000). W. W. Gibbs, Sci. Am. December 1997, p. 42.

  14. 14. E. F. Redish, J. M. Saul, R. N. Steinberg, Am. J. Phys. 66, 212 (1998).https://doi.org/10.1119/1.18847

  15. 15. R. W. Moore, R. L. H. Foy, J. Res. Sci. Teach. 34, 327 (1997).https://doi.org/10.1002/(SICI)1098-2736(199704)34:4<327::AID-TEA3>3.0.CO;2-T

  16. 16. F. Garfurio,Theorica Musice, Milan (1492; facsimile edition, Broude Bros., New York, 1967).

  17. 17. R. D. Cowan, The Theory of Atomic Structure and Spectra, U. of California Press, Berkeley (1981), p. 504.

More about the authors

George N. Gibson is a Cottrell Scholar of Research Corporation and an associate professor of physics at the University of Connecticut in Storrs. He may be contacted at gibson@phys.uconn.edu for more information about the course described in this article, including notes, demonstrations, and labs.

George N. Gibson, 1(gibson@phys.uconn.edu), Cottrell Scholar of Research Corporation, University of Connecticut, Storrs, US .

Ian D. Johnston, 2 University of Sydney, Australia .

Related content
/
Article
Figuring out how to communicate with the public can be overwhelming. Here’s some advice for getting started.
/
Article
Amid growing investment in planetary-scale climate intervention strategies that alter sunlight reflection, global communities deserve inclusive and accountable oversight of research.
/
Article
Although motivated by the fundamental exploration of the weirdness of the quantum world, the prizewinning experiments have led to a promising branch of quantum computing technology.
/
Article
As conventional lithium-ion battery technology approaches its theoretical limits, researchers are studying alternative architectures with solid electrolytes.
This Content Appeared In
pt-cover_2002_01.jpeg

Volume 55, Number 1

Get PT in your inbox

pt_newsletter_card_blue.png
PT The Week in Physics

A collection of PT's content from the previous week delivered every Monday.

pt_newsletter_card_darkblue.png
PT New Issue Alert

Be notified about the new issue with links to highlights and the full TOC.

pt_newsletter_card_pink.png
PT Webinars & White Papers

The latest webinars, white papers and other informational resources.

By signing up you agree to allow AIP to send you email newsletters. You further agree to our privacy policy and terms of service.