Magnetic recording in rocks
DOI: 10.1063/PT.3.1604

ROB LAVINSKY, IROCKS.COM

Rocks have a magnetic memory that may endure for millions or even billions of years. The secret behind that longevity lies in the high temperatures to which the minerals were exposed—near their Curie temperatures of several hundred degrees Celsius—while cooling in Earth’s magnetic field and in the stabilizing influence of the cooling process itself. The memory is called thermal remanent magnetization, or TRM. It is much more resistant to subsequent fields than the more familiar remanent magnetization due to fields applied at ambient temperatures—in a computer’s hard drive, for example. Still, a small fraction of the TRM responds to and records Earth’s field during later heating events, such as the burial of the rocks during mountain building or plate subduction.
Paleomagnetism, 1 the science of using rock magnetism to track changes in Earth’s field and the movement of continents, developed before the mechanism of rock magnetic recording was clearly understood. As early as 1899, Giuseppe Folgheraiter showed that pottery of different ages recorded a large shift—more than 60°—in Earth’s field direction over a period of seven centuries. 2 Folgheraiter was the first to compare TRM produced in a laboratory field with the ancient TRM in an attempt to determine Earth’s paleofield intensity. His rather scattered results made him pessimistic about ever determining the paleointensity, as it is now known. In the 1950s, though, scientists realized that apparent changes in Earth’s field direction recorded by rocks might be due to movement of the continents relative to the north or south magnetic pole, as hypothesized earlier by Alfred Wegener, and not to wandering of the poles. That bold hypothesis was the impetus for the research that led ultimately to the discovery of plate tectonics, the engine that drives the continents and oceans.
The Thelliers
Our basic understanding of TRM comes from the experimental work of Émile Thellier andOdette Thellier 3 and the theoretical insights of Louis Néel. 4 The Thelliers perfected a method of paleointensity determination using a series of partial TRMs instead of the total TRM used by Folgheraiter. Essentially, heating a rock destroys some of its TRM. Heating it to a higher temperature destroys more, and so on until all magnetism vanishes at the Curie temperature. In the version most commonly used today, the ancient TRM of a rock or archaeological sample is progressively destroyed in a zero-field environment, by heating to a series of increasing temperatures followed by cooling to room temperature, at which point measurements of the magnetic moment are made. In the intervening steps, shown in figure 1a, a laboratory field H is applied, which partially restores lost TRM. The fractions lost or gained are called partial TRMs.

Figure 1. The Thellier method determines paleofield intensity by comparing the loss of an ancient thermal remanent magnetization with a gain of laboratory-induced TRM in a series of field-off/field-on cycles. (a) In this single-heating version,

Figure 1a illustrates a simple variant of the Thellier method, in which a magnetic moment is measured continuously and the sample is heated only once to each temperature. 5 The Thelliers found that their bricks and pottery samples gave a constant ratio of ancient partial TRM lost to laboratory partial TRM gained and thus provided reliable determinations of ancient field intensity:
The method works for those materials because each partial TRM, however narrow the temperature interval over which it is gained or lost, acts independently from partial TRMs produced in other temperature intervals. Even if the various partials are produced by fields with different strengths or directions, they can be cleanly separated when the composite or total TRM is demagnetized by heating in zero field. If one imagines a limiting case in which the temperature interval is only a few degrees wide, a partial TRM must be produced at what amounts to, in Néel’s words, a single “blocking” temperature, below which the magnetic moments are essentially immobilized. Blocking actually occurs over a range of 10 °C or so, but the concept of a sharp blocking temperature is nonetheless useful.
Different partial TRMs act independently because they have different blocking temperatures. They add vectorially to form a composite TRM that can be decomposed to reveal the component partials. And for each partial TRM, the blocking temperature is the same whether the magnetization is being produced by a weak field during cooling or is being erased by zero-field heating. That reciprocity is crucial for comparing partial TRMs gained and lost.
Néel’s single-domain theory
In a seldom-cited 1946 paper, 3 Émile Thellier outlined the physical basis for the method: “The [blocking] temperature will vary at each point in the body, perhaps with the dimensions and the shape of the crystalline grains, and will be broadly distributed between the Curie point and room temperature. One can thus explain thermo-remanence by the progressive fixing, in the course of cooling, of moments, which find themselves held fast when they pass through their individual [blocking] temperature.”
Three years later, Néel elegantly quantified those concepts as fundamental properties of single-domain grains. The baked clays used by the Thelliers, he realized, contain nanometer- to micro-meter-size grains of the common magnetic minerals magnetite (Fe3O4) and hematite (Fe2O3), at least a fraction of which are fine enough to contain only a single ferromagnetic domain. A single-domain grain with just one axis of easy magnetization—the usual situation for magnetite—has a particularly simple magnetic hysteresis curve: a rectangular loop of magnetization M versus magnetic field H, with M switching direction abruptly by 180° at critical fields of ±Hc. At room temperature, Hc amounts to tens of millitesla for magnetite, and switching cannot be triggered by Earth’s field of 30–70 µT. But at higher temperatures, the spontaneous magnetization, Ms, decreases, as does Hc.
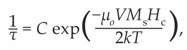
If the drops in Ms and Hc were the only factor at work, TRM blocking would occur exclusively at very high temperatures—within 10–50 °C of the Curie temperature (580 °C for magnetite, 675 °C for hematite). Indeed, that is the case for large grains, but single-domain grains are small enough that their entire coupled spin structure is significantly perturbed by thermal agitation. Any change in field results in an exponential relaxation of M toward a new equilibrium. During cooling, blocking occurs at the temperature TB, where the relaxation time τ changes from very short (unblocked) to very long (blocked). During heating, unblocking occurs at the same temperature.
Néel showed that τ depends exponentially on the energy barrier µ0VMs(T)Hc(T)/2 between the two switching states:
where V is grain volume and C is a constant of order 109 s−1. Small changes in Ms(T) and Hc(T) result in large changes in τ, which explains the sharpness of TB. Smaller grains will have exponentially shorter relaxation times at a given T and hence lower blocking temperatures. In fine nanoparticles (around 30 nm) of either magnetite or hematite, TB approaches room temperature, and the magnetic relaxation, often referred to as magnetic viscosity, is observable on ordinary time scales. Indeed, the range of grain sizes in a rock or clay sample produces a spectrum of blocking temperatures and partial TRMs, although often there is a concentration of blocking temperatures within 100 °C or so of the Curie point, as figure 1b shows.
Rock magnetic thermometers
Partial TRMs remember not only the ancient field direction and strength but also the ancient temperature at which they formed. They can thus serve as paleothermometers. In the 1980s researchers discovered that the 420- to 490-million-year-old carbonate rocks that cover large areas in Ontario, New York, and Pennsylvania have quite uniform magnetic overprints dating from around 300 million years ago. 6,7 Could those overprints be partial TRMs created by burial heating of the rocks during Appalachian mountain building? The answer turned out to be no. The paleotemperatures required to produce the overprints by thermal blocking were unrealistically high; geological evidence suggested only modest reheating of the rocks. The remagnetization was due instead to new magnetite created by fluids expelled as the mountains formed. 7 Relaxation times of the growing crystals increased steadily until magnetization was blocked—a mechanism akin to TRM except that a changing crystal volume rather than a changing temperature is responsible.
Genuine partial TRM overprints resulting from burial heating were studied at about the same time in the Sydney Basin of southeastern Australia. 8 The aim of that work was to map out paleotemperatures to better understand the process of coal maturation in an important coal-mining region. A key step in that mapping is the extrapolation from partial TRM blocking temperatures measured on a laboratory time scale of a few minutes to remagnetization temperatures in nature, which are on a much longer time scale—in this case around 100 000 years. The time–temperature contours used for that extrapolation had been developed about a decade earlier by Gunther Pullaiah and colleagues based on Néel’s relaxation time equation above. 9 As figure 2a illustrates, one can use the partial TRM overprints from two different minerals, magnetite and pyrrhotite (Fe7S8), to pinpoint the temperature and time duration of burial heating and remagnetization.

Figure 2. Pullaiah time–temperature contours are based on Néel’s equation for the relaxation time of single-domain grains. (a) Partial TRM overprints due to the burial of Milton Monzonite rock in Australia are demagnetized by rapid (5 min) laboratory heating to 215 ± 15 °C for pyrrhotite and to 305 ± 25 °C for magnetite. Data along the line labeled 5 min anchor the contours for the different minerals. The contours’ intersection at the center of the hatched field (red) defines the most probable temperature (165 °C) and duration (100 000 yr) of burial remagnetization. (b) More extensive Pullaiah contours (dashed lines) for magnetite are compared with time–temperature pairs from thermal demagnetization of laboratory-induced partial TRMs for 0.04-µm (single-domain, green), 20-µm (pseudo-single-domain, blue), and 135-µm (multidomain, red) grains and from naturally induced partial TRMs for three Milton Monzonite grains (brown) whose sizes also differ. To be fully demagnetized, grains larger than a single domain require short-term heating to much higher temperatures than predicted by the Pullaiah contours. The result is the so-called partial TRM tail. (Adapted from refs.

Mars’s magnetic history
The same principles are valid for estimating time and temperature histories on planetary scales. Mars, unlike Earth, has almost no present-day global magnetic field. But in 1999 orbiting spacecraft discovered, over the oldest parts of Mars’s surface, localized magnetic fields an order of magnitude larger than any similar fields measured at the same altitude over Earth. 10 The fields appear to originate in ancient TRM of a strength unprecedented on Earth and date from shortly after the planet’s formation 4.55 billion years ago.
Explaining the size of the observed fields is a tall order. They require a source with average magnetization 20 A/m and thickness 30 km. There exist rocks on Earth that magnetic—for example, freshly erupted volcanic rocks from the mid-ocean ridge—but they form only a thin veneer over the ocean floor. To make the puzzle more intriguing, it seems clear that Mars could have possessed a global dynamo field able to create crustal TRM for only about the first 500 million years of its existence. (That deduction follows from the lack of crustal magnetization, which had been expunged by giant meteorite impacts on Mars around 4.0 billion years ago.)
Did Mars’s field endure long enough for magnetite with 500–550 °C blocking temperatures to acquire a TRM throughout a 40-km-thick crust? 11 (The uppermost 10 km may well have been demagnetized by shock or heat during meteorite impacts.) With a crustal cooling rate from thermal modeling of about 0.5 °C per million years, the field needs to have existed for no less than 100 million years. Mars’s dynamo could easily have lasted that long.
A less obvious but more stringent question is whether the TRM of Mars’s crust could have survived in zero field for 4 billion years after the death of that dynamo. For an answer we appeal to the Pullaiah contours. The grains most susceptible to remagnetization are those with the lowest (500°C) blocking temperatures. We extrapolate from laboratory conditions (1 minute at 500 °C) to natural conditions (4 billion years at 400 °C). Another 100 °C of cooling would need to have occurred prior to 4 billion years, requiring a further 200 million years of dynamo lifetime, or 300 million years in all. The requirements for the Martian dynamo are thus more demanding, even daunting, than they first appeared. The dynamo must have come onstage very early indeed in Mars’s history.
Beyond the single domain
Time–temperature extrapolations based on Néel’s theory work well for single-domain magnetite but not for larger grains containing multiple ferromagnetic domains, as suggested in figure 2b. A partial TRM produced during prolonged cooling in Earth’s field—for instance, when overlying mountains erode away and deeply buried rocks gradually rise to the surface—cannot be erased by short-term laboratory heating as efficiently as predicted for single-domain grains. A residual moment persists: the partial TRM tail.
Multiple domains also tend to degrade TRM signal strength. Magnetite’s TRM intensity drops steadily as the grain size increases above the single-domain threshold size d0, as illustrated in figure 3a. Other strongly magnetic minerals behave similarly. Weakly magnetic hematite is unusual in that its single-domain threshold is around 20 µm, compared with magnetite’s 70 nm. And its multidomain TRM is as strong as its single-domain TRM. However, multidomain hematite is a dubious paleomagnetic recorder because the TRM has a coercivity Hc—the intensity of the applied field required to demagnetize the mineral—of only a few millitesla compared with hundreds of millitesla for single-domain hematite’s TRM (and tens of millitesla for single-domain magnetite’s TRM).

Figure 3. (a) TRM intensity of magnetite (Fe3O4) in Earth’s field decreases continuously above the single-domain threshold d0 for more than three orders of magnitude in grain size. In contrast, TRM intensity of hematite (Fe2O3) increases with grain size, and multidomain grains have as strong a TRM as single-domain grains. (Adapted from ref.

Luckily, most naturally occurring hematite exists in single-domain size. Most natural magnetite grains, on the other hand, are much larger than single-domain size. Yet both minerals seem to be generally trustworthy recorders of paleomagnetic TRMs if their grain sizes are less than 10 µm or so. Herein lies a mystery: What magnetite domain structure causes single-domain-like TRM behavior over more than two decades of grain size above d0?
The pseudo-single-domain mystery
Pseudo-single-domain behavior in magnetite is characterized by gradual, rather than abrupt, changes in magnetic properties with changing grain size. Figure 3a bears that out from 70 nm to tens of micrometers. Nowhere is there any suggestion, as the grain size increases, of a discontinuous drop in magnetic moment that should accompany the onset of spin vortices and later of fully developed walls between adjacent, oppositely magnetized domains. Vortex and two-domain structures, shown in figure 3b, exhibit small moments; but they also have greatly reduced values of Hc because domain walls and vortex lines move relatively easily in fields that are much lower than those required to flip the moment of a single domain.
Yet coercivity, like TRM intensity, decreases only gradually as grain size increases above d0. It is that combination of adequate TRM strength and resistance to changes in magnetic field that makes large grains of magnetite an acceptable recorder of ancient fields. Were it not for that pseudo-single-domain property, we would have only a fragmentary paleomagnetic record, because truly single-domain grains form a minute fraction of the magnetite in most rocks.
Domain observations
Large magnetite crystals exhibit classic multi-domain structures, originally predicted by Lev Landau and Evgeny Lifshitz and exemplified in figure 4a. Single-domain magnetite nanocrystals, on the other hand, can occur, as shown in figure 4b, as chains of magnetosomes in bacteria crystals. Modern imaging techniques are just beginning to explore the intervening range of grain sizes. In natural magnetites, the domains are often complicated: Walls separating them can bend and are anchored by lattice defects, cracks, and surface imperfections. Their complexity may give rise to single-domain-like regions within much larger crystals.

Figure 4. (a) Large magnetite crystals exhibit classic multidomain structures. In this optical micrograph, domains are magnetized in the crystal’s [–111] direction, and the walls separating them are visible at the intersection of a polished surface. (Adapted from ref.

Walls themselves have magnetic moments. Spin rotation between domains whose spin orientations differ by 180° may be either clockwise or counterclockwise, which gives rise to oppositely directed wall moments. Those moments are orthogonal to the domain magnetizations and are unchanged by the walls’ displacements.
Walls can also change their chirality, which thereby reverses their moments. Wall moments thus fulfill Néel’s conditions for single-domain behavior: They act as canonical single-domain moments and as such can carry partial TRMs with sharp blocking temperatures. However, although the wall moments may smooth the transition from single-domain to two-domain structure, they are ineffectual in larger grains because adjacent walls in three-domain and larger particles will have opposing chiralities and moments. Even individual walls, if large enough, will subdivide into two or more zones of opposite chirality.
The 1980s brought unexpected discoveries. Researchers found that grains of titanomagnetite (magnetite substituted with about 60 mole-percent titanium, the primary magnetic oxide in mid-ocean ridge volcanic rocks) as large as 10–15 µm in size sometimes preserved a single-domain remanent state when cycled through their hysteresis loops. Furthermore, when TRM was replicated in individual grains, a variety of domain structures emerged, among them a single-domain state. 12
Might those metastable single-domain grains be the source of pseudo-single-domain behavior? Their strong remanence satisfies one of the required criteria to act as viable paleomagnetic recorders, but they fail the stability requirement: Even a small backfield can renucleate the domain structure. Metastable single-domain grains are thus unlikely to preserve their TRMs in the face of the many changes in Earth’s magnetic field—including reversals—which have occurred over geological time.
Collective behavior
Single-domain magnetite also occurs in nature as arrays of crystal prisms that are formed by, for example, the phase separation of iron-titanium oxides. Figure 5a shows the magnetic fields normal to the surface of such an array mapped by magnetic force microscopy. 13 The closely spaced prisms interact strongly. Each band of them adds only a small net magnetization because the magnetic moments of individual prisms alternate in polarity.

Figure 5. Magnetic microstructure.(a) Magnetic force microscopy detects the magnetic flux normal to the surface in an array of single-domain magnetite crystals in a grain of titanomagnetite. Along each band, neighboring crystals interact in a way that produces alternating magnetic moments into and out of the page (black and white). (Adapted from ref.

A transmission electron microscopy technique known as off-axis electron holography can map the surface-parallel component of the magnetic field and delineate single-domain and vortex structures.
14
The example in figure 5b shows magnetic flux lines in and between adjacent single-domain-size magnetite grains. Researchers have observed that the crystals link their moments end to end or close their flux in internal spin vortices. Most prominent in the
Theoretical micromagnetic models have long predicted that crystals only slightly larger than threshold size should have vortex rather than single-domain structure. The electron-holographic observations are the first direct experimental confirmation that this in fact occurs. Remanent magnetization and coercive force should change fundamentally as a result, and yet macroscopic magnetic properties evolve smoothly with grain size.
Undiscovered terrain
Small changes in grain size or strong interactions between neighboring grains evidently account for the difference between states of strong magnetization and states with little or no net moment. Yet no threshold drop in magnetization or coercivity is seen in macroscopic measurements. That is the essence of the pseudo-single-domain mystery: New electron-holographic observations confirm the vortex and incipient two-domain structures predicted to exist around magnetite’s single-domain threshold, but because of other yet-to-be-discovered bridging structures or more subtle reasons, no abrupt departure from single-domain properties occurs in grains even well above single-domain threshold size.
Although magnetite’s properties remain adequately single-domain-like to justify the use of micrometer-size grains as recorders of paleofield directions, such grains are less trustworthy as paleotemperature and paleointensity recorders because of their thermal demagnetization characteristics. Recall, for example, the extent to which even 20-µm grains cut across the Pullaiah contours of figure 2b. They must be heated about 50 °C higher than predicted to fully erase their partial TRM. And that extra heating introduces a 50 °C error in any paleotemperature estimate made using the single-domain contours.
Estimating the paleointensity using the Thellier method on grains of tens or hundreds of micrometers is also compromised because reciprocity has been lost. The temperatures at which partial TRM unblocks no longer match the original blocking temperatures. That tailing effect results from the progressive movements of the domain walls driven by internal self-demagnetizing fields. Self-demagnetization also produces curved versions of the Thellier plot shown in figure 1b. Much of the current research in paleointensity methodology is devoted to reducing or correcting for curvature and the partial TRM tails. 15
It is ironic that charting the movements of Earth’s tectonic plates and the evolution of the geodynamo over past eons rests ultimately on the behavior of often imperfect oxide and sulfide grains that are so small that their internal magnetic structures have, until recently, been impossible to observe. Micromagnetic modeling has concentrated on grains close to single-domain size, 16 and its predictions are generally confirmed by observations. But there are computational limitations on resolving fine structures in model particles whose sizes approach a micrometer. Observations on that scale by electron holography and magnetic force microscopy are likely to be more fruitful than theory.
This article is based on the Edward Bullard Lecture that I gave at the American Geophysical Union meeting in San Francisco on 6 December 2011.
References
1. R. F. Butler, Paleomagnetism: Magnetic Domains to Geologic Terranes, Blackwell Scientific, Boston (1992);
L. Tauxe, Paleomagnetic Principles and Practice, Kluwer Academic, Boston (1998).2. G. Folgheraiter, J. Phys. Theor. Appl. 8, 660 (1899). https://doi.org/10.1051/jphystap:018990080066001
3. É. Thellier, C. R. Acad. Sci. Paris 223, 319 (1946);
É. Thellier, O. Thellier, Ann. Geophys. 15, 285 (1959);
D. Dunlop, Phys. Earth Planet. Inter. 187, 118 (2011). https://doi.org/10.1016/j.pepi.2011.03.0064. L. Néel, Ann. Geophys. 5, 99 (1949);
L. Néel, Adv. Phys. 4, 191 (1955); https://doi.org/10.1080/00018735500101204
T. Nagata, Rock Magnetism, Maruzen, Tokyo (1961);
D. J. Dunlop, Ö. Özdemir, Rock Magnetism: Fundamentals and Frontiers, Cambridge U. Press, New York (1997).5. D. J. Dunlop, Geochem. Geophys. Geosyst. 9, Q09Y03 (2008). https://doi.org/10.1029/2008GC002054
6. D. V. Kent, Geophys. Res. Lett. 12, 805 (1985); https://doi.org/10.1029/GL012i012p00805
D. V. Kent, J. D. Miller, Geophys. Res. Lett. 14, 327 (1987). https://doi.org/10.1029/GL014i004p003277. M. Jackson, R. Van der Voo, Geophys. Res. Lett. 13, 1434 (1986); https://doi.org/10.1029/GL013i013p01434
M. Jackson et al., Geology 16, 592 (1988). https://doi.org/10.1130/0091-7613(1988)016<0592:MAADPA>2.3.CO;28. M. Middleton, P. Schmidt, J. Geophys. Res. 87, 5351 (1982); https://doi.org/10.1029/JB087iB07p05351
D. J. Dunlop et al., Earth Planet. Sci. Lett. 176, 107 (2000). https://doi.org/10.1016/S0012-821X(99)00309-X9. G. Pullaiah et al., Earth Planet. Sci. Lett. 28, 133 (1975); https://doi.org/10.1016/0012-821X(75)90221-6
D. J. Dunlop, Ö. Özdemir, Geophys. Res. Lett. 27, 1311 (2000). https://doi.org/10.1029/1999GL00846110. M. Acuña et al., Science 284, 790 (1999); https://doi.org/10.1126/science.284.5415.790
J. Connerney et al., Science 284, 794 (1999). https://doi.org/10.1126/science.284.5415.79411. D. Dunlop, J. Arkani-Hamed, J. Geophys. Res. 110, E12S04 (2005). https://doi.org/10.1029/2005JE002404
12. S. Halgedahl, M. Fuller, J. Geophys. Res. 88, 6505 (1983); https://doi.org/10.1029/JB088iB08p06505
S. Halgedahl, J. Geophys. Res. 96, 3943 (1991). https://doi.org/10.1029/90JB0001413. J. Feinberg et al., Geology 33, 513 (2005). https://doi.org/10.1130/G21290.1
14. R. J. Harrison, R. E. Dunin-Borkowski, A. Putnis, Proc. Natl. Acad. Sci. USA 99, 16556 (2002). https://doi.org/10.1073/pnas.262514499
15. K. Fabian, Earth Planet. Sci. Lett. 188, 45 (2001); https://doi.org/10.1016/S0012-821X(01)00313-2
R. Leonhardt, D. Krása, R. Coe, Phys. Earth Planet. Inter. 147, 127 (2004); https://doi.org/10.1016/j.pepi.2004.01.009
A. Biggin, Earth Planet. Sci. Lett. 245, 454 (2006). https://doi.org/10.1016/j.epsl.2006.02.03416. W. Williams, D. Dunlop, Nature 337, 634 (1989); https://doi.org/10.1038/337634a0
K. Fabian et al., Geophys. J. Int. 124, 89 (1996); https://doi.org/10.1111/j.1365-246X.1996.tb06354.x
W. Rave, K. Fabian, A. Hubert, J. Magn. Magn. Mater. 190, 332 (1998); https://doi.org/10.1016/S0304-8853(98)00328-X
A. Muxworthy, W. Williams, D. Virdee, J. Geophys. Res. 108, 2517 (2003). https://doi.org/10.1029/2003JB00258817. Ö. Özdemir, S. Xu, D. J. Dunlop, J. Geophys. Res. 100, 2193 (1995). https://doi.org/10.1029/94JB02874
18. R. E. Dunin-Borkowski et al., Science 282, 1868 (1998).https://doi.org/10.1126/science.282.5395.1868
More about the Authors
David Dunlop is a professor emeritus of physics at the University of Toronto in Ontario, Canada.