Discover
/
Article

Correlated-Electron Physics in Transition-Metal Oxides

JUL 01, 2003
Interactions among electronic spins, charges, and orbitals account for a rich variety of patterns in some oxides, and—with the advent of new crystal-growth technologies—may form the basis for a new type of electronics.
Yoshinori Tokura

As with any other quantum particle, an electron exhibits wavelike and particlelike characteristics. Which aspect predominates in a solid depends on how an electron interacts with its neighbors. According to the Bloch theorem, for instance, an electron placed in a periodic lattice behaves like an extended plane wave. However, when the number of free electrons in a solid becomes comparable to the number of the constituent atoms and the mutual electron-electron interaction becomes strong, electrons may lose their mobility.

The dual nature is most apparent in correlated-electron systems, such as the transition-metal oxides in which electron interactions strongly determine electronic properties. In the transition-metal ions, for example, d electrons experience competing forces: Coulombic repulsion tends to localize individual electrons at atomic lattice sites, while hybridization with the oxygen p electron states tends to delocalize the electrons. The subtle balance makes many of the transition-metal oxides excellent resources for studying and taking advantage of the metal-insulator transition that can accompany dramatic changes in a system’s electronic properties.

An electron in a solid has three attributes that determine its behavior: charge (−e), spin ( S = ± 1 / 2 ) , and orbital symmetry. One can imagine an orbital, which represents the electron’s probability-density distribution, as the shape of an electron cloud in a solid. The charge, spin, and orbital degrees of freedom—and their coupled dynamics—can produce complex phases such as liquid-like, crystal-like, and liquid-crystal-like states of electrons, and phenomena such as electronic phase separation and pattern formation. 1,2

The correlation of electrons in a solid produces a rich variety of states, typically through the interplay between magnetism and electrical conductance. That interplay has itself been a long-standing research topic among condensed matter physicists. But since the discovery of copper-oxide high-temperature superconductors in 1986, a more general interest in the Mott transition—the metal-insulator transition in a correlated-electron system—has been emerging. 3 The high-T c copper oxides are composed of CuO2 sheets that are separated from each other by ionic “blocking layers.” Although it has one conduction electron (or hole) per Cu site, each CuO2 sheet is originally insulating because of the large electron correlation. That behavior is typical of the Mott insulator state, in which all the conduction electrons are tied to the atomic sites. The superconducting state emerges when holes from the blocking layers dope the CuO2 layers in a way that alters the number of conduction electrons and triggers the Mott transition. Researchers believe that the strong antiferromagnetic correlation, which originates in the Mott-insulating CuO2 sheets and persists into the metallic state, is most responsible for the mechanism of high-T c superconductivity.

Widespread interest in copper oxides and other correlated-electron systems during the past 17 years led to a rediscovery of the so-called colossal magnetoresistance (CMR) phenomenon, 4–6 which is a gigantic decrease of resistance induced by application of a magnetic field. This article features some examples of the dramatic phase changes in CMR manganites and other transition-metal oxides that arise from a close interplay among electron properties and their affect on the lattice. Researchers can now control the electronic and magnetic phases of correlated-electron materials in unconventional ways, in some cases with ultrafast response times. Such newly won control offers hope that correlated-electron systems may provide a basis for novel electronics.

Spins, charges, and orbitals

The quantum mechanical wavefunction of an electron adopts various shapes when bound to an atomic nucleus by the Coulombic force (see the box on page 51). In the Mott-insulating state of a crystal, the d electrons are almost entirely localized on the atomic sites, which makes the spin and orbital degrees of freedom combine to produce versatile ordering patterns. Prototypical cases for perovskite oxides are shown in figure 1 for LaVO3 (t 2g electron system) and LaMnO3 (e g electron system).

PTO.v56.i7.50_1.f1.jpg

Figure 1. The orbitals and spins of delectrons show a mutually correlated ordering pattern in these transition-metal oxides. (a)The orbital-spin patterns in LaVO3 appear as staggered t 2g orbitals (dyz and dzx ), explained in the box below. (For clarity, the dxy orbital commonly sitting on every vanadium site is not shown.) White arrows depict the alignment of local spins at each vanadium ion. The orbital symmetry and order affects how and to which lattice sites electrons may hop. (b)The pattern in LaMnO3 consists of e g orbitals (d 3x 2r 2 and d 3y 2r 2 ) staggered in the xyplane. A macroscopic lattice strain compresses the z-axis and expands the xyplane. The spins couple ferromagnetically on the xyplane while stacking antiferromagnetically along the z-axis.

View larger

In LaVO3, for example, the spins order in the z direction as ferromagnetic chains, with all spins aligned parallel, but in the xy plane as antiferromagnets, with neighboring spins antiparallel. That spin configuration induces an ordered state among the orbitals: dyz and dzx occupy alternate lattice sites in every x, y, and z direction. The spin-orbital ordering makes the electronic structure highly anisotropic despite the material’s nearly cubic symmetry. On the other hand, in YVO3, a similar perovskite with a larger lattice distortion, the staggered spin and orbital order are just the reverse of the LaVO3 case. 7

In the manganites, the Jahn-Teller effect, a local deformation of the MnO6 octahedron, elongates the crystal in the xy plane and compresses it along the z-axis. The Jahn-Teller distortion lifts the orbital degeneracy and favors the occupation of either a d 3 z 2 r 2 or d x 2 y 2 orbital. In LaMnO3, a local linear combination of those orbitals produces the stable states d 3 x 2 r 2 and d 3 y 2 r 2 , alternating on the manganese sites in the xy plane.

Charge doping

When carriers are doped into Mott insulators, the additional degrees of freedom from dopant charges further complicate the electronic phase. The partial substitution of one chemical element for another (Sr2+ for La3+, say) changes the net charge of the network consisting of transition-metal and oxygen ions, while keeping the basic crystal structure. In the simplest model, one would expect that minimal doping of holes or electrons would trigger the metal–insulator transition. In reality, however, a critical doping level is usually required to destroy the various long-range charge, spin, and orbital orders. Often, the material remains electrically insulating or marginally metallic over a broad range of band filling. The holes or electrons accumulate to form a periodic array.

Figure 2 shows examples of such charge ordering in some quasi-two-dimensional transition-metal (M) oxides having a single-layered perovskite-type structure. The spins, charges, and orbitals tend to form stripes in the isolated M-O sheets of this crystal structure. Hole doping into the Mott insulator La2-x Sr x NiO4 in figure 2(b), for instance, does not trigger the metal-insulator transition until x = 0.9, and the accumulating holes always form a charge-and-spin stripe pattern running along the diagonal direction of the Ni–O planes. 8

PTO.v56.i7.50_1.f2.jpg

Figure 2. Charges order as stripes in a variety of directions and patterns in hole-doped two-dimensional metal-oxide sheets of layered perovskite material. (a) The crystal structure of these examples. R and A are rare-earth and alkaline-earth ions, respectively. M are the transition metal ions Ni, Cu, and Mn pictured in the series. (b) In their most stable form, the doped holes (blue circles) and spins (arrows) form stripes running along the diagonal in La2−x Sr x NiO4 (x = 1 3 ). (c) In La2−x Ba x CuO4 (x = 1 8 ), the stripes are horizontal, depicted as blue metallic bands. (d) A checkerboard charge-ordering pattern distinguishes the half-doped state of La1−x Sr1+x MnO4 (x = 1 2 ), but the orbitals order in stripes that run along the diagonal. Because of the diagonal orbital stripe direction, the ferromagnetic zigzag spin chains appear coupled antiferromagnetically with the neighboring spin chains.

View larger

Some of the high-temperature superconducting copper oxides also exhibit a hole stripe. In the hole-doped La2CuO4 (figure 2(c)), charge order is responsible for the incommensurate spin order in the underdoped region in the compound. 9 Usually, charge ordering causes electrical insulation, but in the cuprates, the electrical conduction persists along the stripe because of its partial band filling. Although the relevance of the metallic stripes to the mechanism of high-temperature superconductivity remains controversial, the stripe’s liquid-crystal-like character undoubtedly determines some of the copper-oxide magnetic and electronic properties when the material is underdoped. 1

The d electron orbital

Consider a transition-metal ion (M) in a crystal having perovskite structure. It is surrounded by six oxygen ions, O2−, which give rise to a crystal-field potential (the total Coulomb potential of electrons from each lattice site) that partly lifts the degeneracy of the d electron levels. Wavefunctions pointing toward O2− ions ( d x 2 y 2 and d 3 z 2 r 2 , called e g orbitals) have higher energy than those pointing in between them (dxy , dyz , and dzx , called t 2g orbitals). One can imagine the degenerate orbital states as a new degree of freedom that behaves in a solid like the spin degree of freedom. In analogy to the spin ordering, for instance, an exchange interaction between the orbitals (pseudo-spins) on neighboring transition-metal sites orders the orbitals on lattice sites at low temperatures. Recently, the spin-orbital analogy has sparked the use of an orbital as a control parameter of charge motion (termed orbitronics).

PTO.v56.i7.50_1.d1.jpg

Even more complex features in the doped manganites arise when orbital and lattice degrees of freedom are added to the mix of spin and charge ordering. Figure 2(d) illustrates manganite-type configurations for the x = 1/2 hole-doping levels. 2 The kind of spin, charge, and orbital ordering displayed is ubiquitous in such highly doped, nonmetallic manganese oxide perovskites. A checkerboard pattern depicts the charge ordering. A combination of the antiferromagnetic interaction between electrons localized to t 2g states on neighboring metal atoms and a ferromagnetic interaction created by the electrons hopping along the lobe of e g states determines the spin ordering. Orbital ordering regulates the anisotropic e g electron hopping. As a result, ferromagnetic zigzag chains form diagonally in the ground state.

Control of the electronic phase

The energy scale of the dominant interactions that determine the electronic phases in correlated-electron systems is on the order of an electron volt. But the energy difference that distinguishes each of the phases—metallic versus insulating, or ferromagnetic versus antiferromagnetic, say—is usually much smaller. Consequently, minute perturbations in an input signal can control a quickly switching electronic phase output.

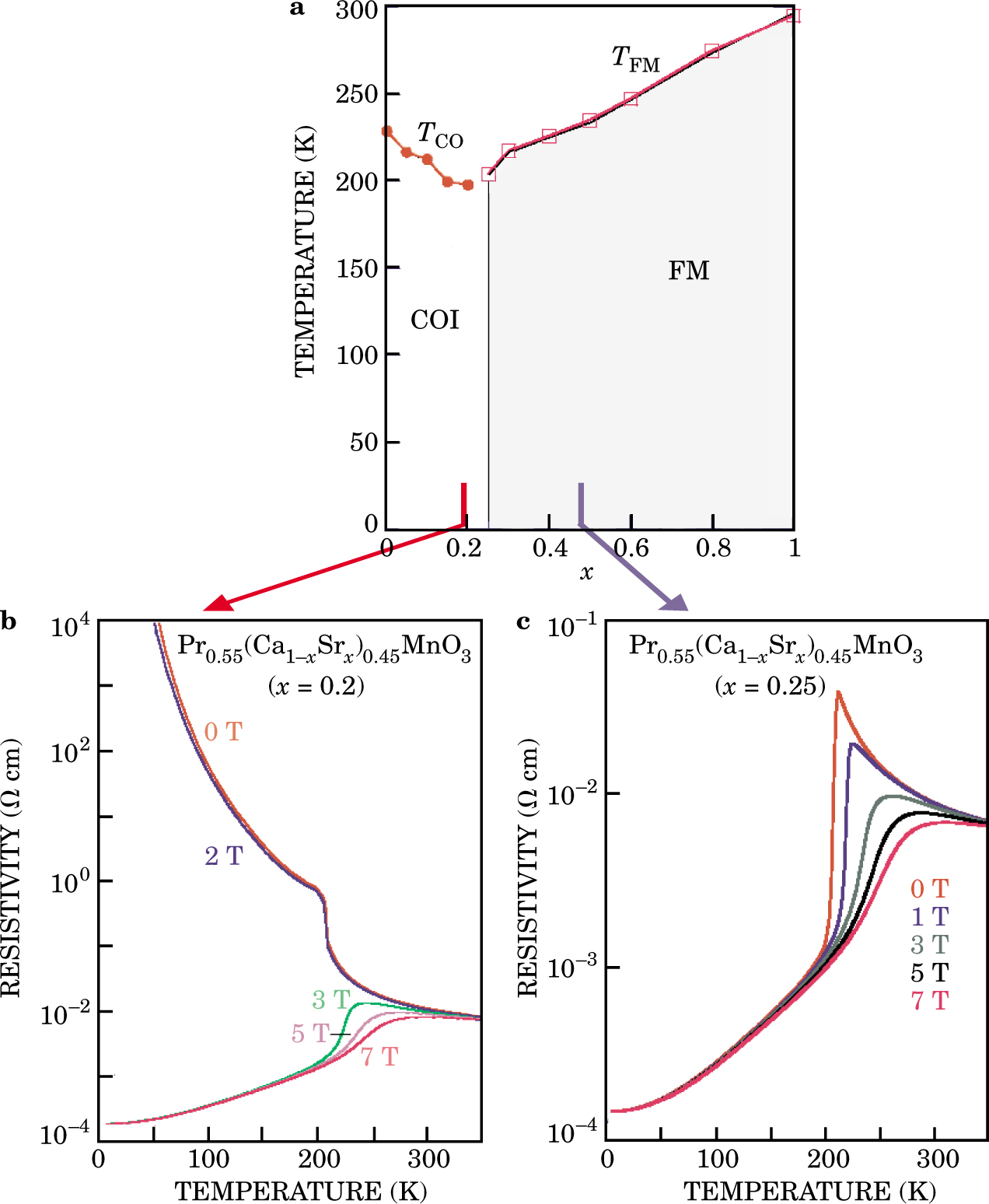
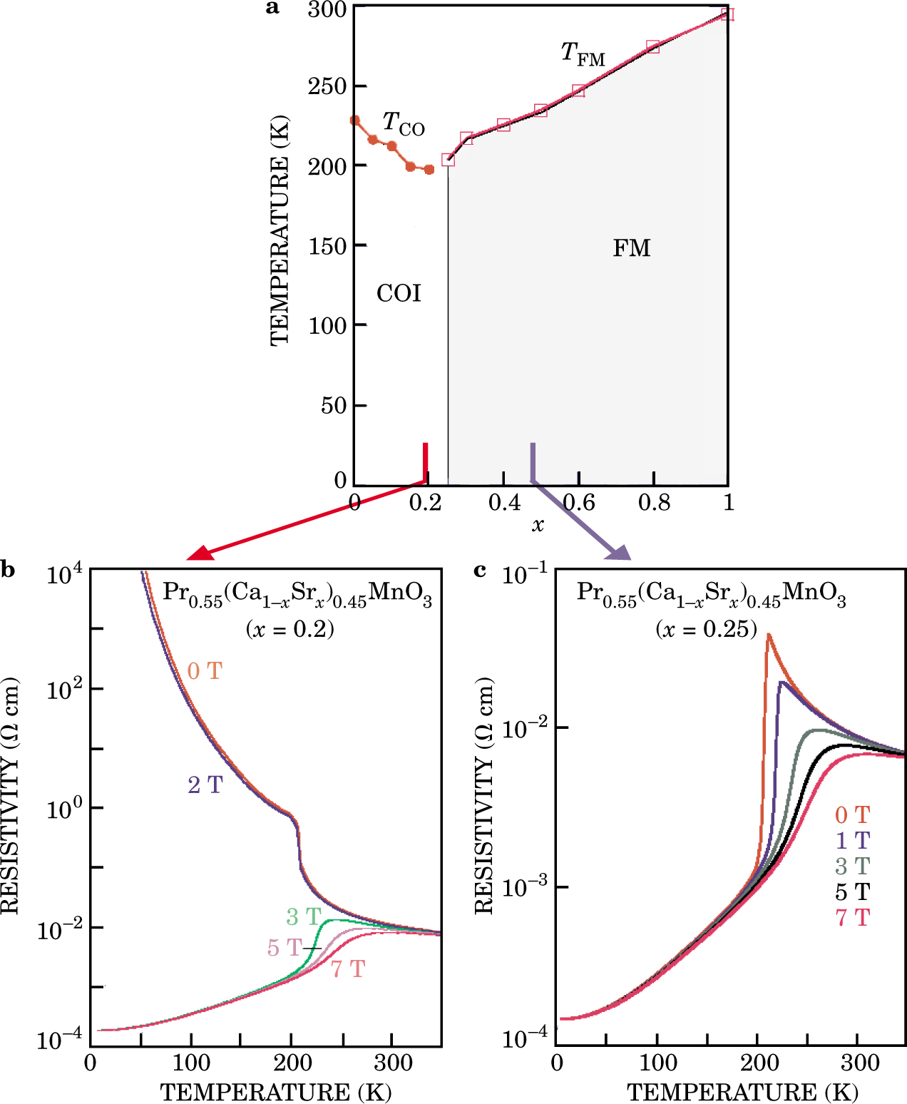
The most dramatic examples of such phase tuning occur in materials in which the two competing electronic phases form a bicritical point. The manganite Pr0.55(Ca1−xSr x )0.45MnO3, is a case in point. 10 The insulating charge—orbital ordered state pictured in figure 2(d) and the ferromagnetic metallic state compete with each other. Used as a control parameter, the calcium-strontium composition ratio subtly alters the lattice distortion. The relative stability of the two phases can be critically tuned, because that distortion governs the d-electron hopping interaction. 3 A bicritical point forms when the critical temperatures of the charge-orbital ordering (T CO) and the ferromagnetic transition (T FM ) coincide. The phase change in either direction occurs as an abrupt first-order transition, and the high-temperature phase above T CO and T FM is subject to gigantic phase fluctuation between the competing states. (See figure 3.)

PTO.v56.i7.50_1.f3.jpg

Figure 3. Phase competition between the charge-orbital-ordered insulator (COI) and the ferromagnetic metal (FM) reveals the dramatic influence of a subtle change in the composition of Pr0.55(Ca1−x Sr x )0.45MnO3. (a) The calcium-strontium ratio xis a control parameter that determines the lattice distortion of the perovskite structure and therefore regulates the d-electron hopping energy in both phases. (b) On the left side of the bicritical point, a growing magnetic field triggers the phase transition from insulator to metal. (c) On the right side, an external magnetic field suppresses the strong charge-orbital correlation in the state above TFM and lowers the resistivity.

(Adapted from Y. Tomioka et al., ref. 10.)

View larger

The colossal magnetoresistance may be viewed as a hallmark of the bicritical point. In CMR, a magnetic field aligns the spins on Mn sites, and that alignment influences the conduction of electrons through adjacent oxygen atoms. This effect transforms the material from a charge-ordered/orbital-ordered (CO–OO) insulator into a ferromagnetic metal, with a dramatic change in resistivity. (See the article by Neil Mathur and Peter Littlewood in Physics Today, January 2003, page 25 .) In addition, in what is termed the magnetochromism effect, the magnetic-field-induced transition can also change the optical reflectivity spectrum of the material on an energy scale up to 3 eV.

The presence of a random potential causes dramatic—and sometimes profound—effects on the material electronic properties and may change the phase diagram in such a bicritical region. That random potential in the transition-metal compound systems comes from temperature-independent static (or “quenched”) disorder, including local lattice distortion and a random mixture of doped-impurity ions sitting in the perovskite M lattice positions, and from grain boundaries in the polycrystalline ceramic material. Quenched disorder separates the CO–OO and FM regions into various sizes ranging from nanometer to micron scales. 6 An external magnetic field can change the volume of the respective phases.

The random potential sometimes enhances the competition between the two phases and consequently suppresses the long-range orders. The random potential arises, for instance, in cases with rare-earth R and alkaline-earth A ions of relatively different ionic radii. In such a compound, the correlation in charge and orbital ordering increases down to T FM (as low as 50 K), without any trace of long-range order or phase segregation; just above the critical temperature, the external magnetic field suddenly suppresses the charge-orbital correlation and produces the FM state, typical of the CMR effect. The existence of quenched disorder, therefore, is a prerequisite not only for the CMR effect but also for any use of the magnetic field to fine-tune charge-orbital correlations or the CO–OO phase volumes.

External magnetic fields are not the only way to control the metal-insulator transition near the bicritical point. Other triggers may do the trick: Photoexcitation, x-ray irradiation, current injection, electron-beam irradiation, and impurity-atom doping, for example, can control the electronic phase in an exotic way on ultrafast timescales. The series of resistance curves shown in figure 4 exemplifies the CO–OO to FM phase transformation in Pr1−x Ca x MnO3, where x = 0.3, by applying a magnetic field, 5 an electric field, 11 and pulsed light. 12 The induced metal-insulator transition appears to remain local in the whole sample volume, but the change of resistance is still huge. Alex Ignatiev and colleagues from the University of Houston in Texas recently reported such resistance changes induced by voltage pulses; they demonstrated that the PrCaMnO3 thin films can be harnessed as the basic elements in resistance random-access-memory circuits. 13 Room-temperature operation and the reversibility between the high- and low-resistance states are keys for future application in electronic devices.

PTO.v56.i7.50_1.f4.jpg

Figure 4. Metal–insulator phase control in the colossal-magnetoresistance compound Pr0.7Ca0.3MnO3. (a) A small increase in an external magnetic field will lower the resistivity sharply, depending on temperature. The material also exhibits hysteresis in the resistivity (by increasing and then decreasing the magnetic field). (b) A huge abrupt resistance change (and hysteresis) also accompany voltage changes applied to a circuit connecting the sample in series with a 1-MΩ resistor. (c) A 5-ns laser pulse creates a resistance change of almost 8 orders of magnitude while a voltage is applied between gold electrodes. The change in surface reflectance at the local metal-insulator transition induced by the laser pulse shows up as a white streak (circled) between the 0.2-mm distance separating the electrodes (see inset picture).

((a) Adapted from ref. 5.)

View larger

Spintronics and orbitronics

Spintronics is an emerging electronics field that exploits the electronic spin and charge degrees of freedom in a solid. In the most straightforward applications, researchers use an external magnetic field to manipulate a material’s spin and charge properties, and thereby control the electrical current. The invention of the giant-magnetoresistive magnetic mutlilayer—composed of transition metals, in fact—was an important first step in making the technique amenable to industrial application. (See Peter Grünberg’s article on layered magnetic structures, Physics Today, May 2001, page 31 .) Tunneling magnetoresistance (TMR), a magnetic-field modulation of the tunneling resistance between the two ferromagnetic electrodes that surround a thin tunneling barrier, is the physical effect that makes the thin multilayers so useful. To maximize the TMR, the spin polarization of conduction electrons should be as large as possible. Half-metals, materials having perfect spin polarization (all carrier spins up or down in the ground state), are therefore ideal for general spintronic use. (See the article by Warren Pickett and Jagadeesh Moodera, Physics Today, May 2001, page 39 .)

Because of their potentially strong spin-charge coupling, many ferromagnetic transition-metal oxides exhibit such a half-metallic ground state. Hole-doped manganites with perovskite structure, such as La1−x Sr x MnO3, where x is between 0.2 and 0.5, are typical examples: Their half-metal state is formed by the strong ferromagnetic interaction between e g electron spin and t 2g local spins on the manganese ions. The intra-atomic interaction between spins, the so-called Hund’s rule coupling, maximizes the spin number on an atom and stabilizes the total spin on the Mn+3 site.

TMR characteristics for junctions that use La1−x Sr x MnO3 tend to degrade with rising temperature, up to about 200 K, despite Curie temperatures between 330 and 370 K. 5 The widespread speculation is that this seemingly rapid fade-out of the spin polarization arises from a change in the magnetism of LaSrMnO3 in the insulating interface. Efforts to control the interface electronic states of the correlated-electron perovskites are now under way in the Correlated Electron Research Center in Tsukuba, Japan.

The ordered double perovskite family of materials—for example, the Sr2 B 1 B 2O6 group, where B 1 = Fe or Cr and B 2 = Mo or Re—are well suited as TMR-junction devices because, as it turns out, they exhibit robust and high-T c half-metallic properties. The transition-metal elements B 1 and B 2 alternately occupy the perovskite lattice sites in those materials and form a rock-salt pattern. Their ferromagnetic transition temperature is high, near 420 K for Sr2FeMoO6 and as high as 615 K for Sr2CrReO6. Those advantages place perovskites high on the list of possible future spintronic materials.

What about the related possibility of controlling electric current by varying the d-electron orbital states? 2 One might label that technology “orbitronics,” analogous as it is to spintronics. As an effect that exploits an orbital correlation, CMR may be considered an example. Conduction occurs through a process known as the double-exchange interaction. The electrons on each transition-metal ion act like strongly coupled ferromagnets, so the angle between local spin moments on adjacent sites determines the electron hopping from site to site. Controlling the magnetic field intensity diminishes the orbital correlation and enhances electron hopping, and thus becomes tantamount to controlling electrical conduction.

One can also regulate the electrical conduction by changing the orbital shape on a lattice site. For example, when orbitals have d x 2 y 2 symmetry and are ordered in the nearly cubic perovskite lattice, the charge dynamics are highly anisotropic: Conduction is entirely confined within the xy plane.

The notion of ultrafast switching of the orbital state using light irradiation or electric field pulses is key in orbitronics. Because an orbital’s rod or planar shape represents the electron’s probability-density distribution, the orbital naturally couples to the electric field through its anisotropic polarizability, much as rod- or planar-shaped liquid-crystal molecules respond to an electric field differently by virtue of their distinct polarizabilities. The orbital wave, or “orbiton,” represents the dynamical response of the orbital to an external field, just as a magnon represents a spin wave in the magnetically ordered state. That is, once the field excites an orbital at a particular lattice site, the orbital propagates in the solid through the interactions between orbitals at different transition-metal ions. Eiji Saitoh and colleagues, using Raman spectroscopy, recently observed 14 such an orbiton mode in LaMnO3. Switching frequency is what makes orbital states advantageous over spin as a control parameter. Orbiton frequencies are typically faster by a factor of 104 than spin-precession frequencies, and can reach 100 THz.

As an example of the modulation of the orbital state, figure 5 gives time-resolved snapshots of a photo-excited La0.5Sr1.5MnO4 crystal surface, 15 which shows the orbital-charge-ordered state below T OO = 220 K. Because of the orbital ordering, an originally tetragonal compound exhibits an optical anisotropy in the xy plane. Polarization microscopy, which measures the polarization change between incident and reflected light, provides the contrast between orbital-ordered domains.

PTO.v56.i7.50_1.f5.jpg

Figure 5. (a) Charge–orbital ordering patterns on the manganite (MnO2) sheet in hole-doped La0.5Sr1.5MnO4. The colored arrows distinguish identical (blue) and alternating (red) orbitals; charges are identical along both diagonals. (b) A polarization microscope image of this material shows contrast between charge-orbital ordered states (bright) and and their domain boundaries (dark) at 77 K. The slight residual strain introduced during crystal growth accounts for the periodic domain structure. (c) When a pulsed laser, having an energy of 1.5 eV and a duration of 100 fs in this experiment, irradiates the surface, the electronic transition of electrons across the optical gap destroys the orbital order within 200 fs. That photomelting of the orbital state creates the dark contrast on the left. The disordered state persists for about 10 ns because of the stabilizing influence of the lattice deformation and then disappears through thermal diffusion to its original fully orbital-ordered state.

(Adapted from ref. 15.)

View larger

Making materials: The frontier

Researchers are exploring a broader range of electronic materials and properties beyond the high-T c and CMR-related ones showcased in this article. The recent advance in epitaxial-growth technology applied to transition-metal oxide thin films, for instance, has begun to produce correlated-electron junctions and superlattices with well-controlled interface characteristics. Magnetic-oxide superlattices—composed of ferromagnetic, antiferromagnetic, and paramagnetic perovskite layers separated by just a few unit cells—are one example. At the interfaces of those films, the spins, orbital states, and charges are greatly modified. The interfaces may themselves be subject to external magnetic or electric fields as well. The additional sensitivity between layers highlights the importance of exotic materials that possess particular interface properties.

A superlattice prepared from sequential epitaxial layers made from different building blocks should lack any inversion symmetry. That property would add a different twist on the kinds of designer films researchers might use. Choosing one of the layers to be ferromagnetic, for example, might make the film a polar ferromagnet with new, intriguing magnetoelectronic properties already built in. One would expect nonlinear or nonreciprocal magneto-optical effects to emerge because of simultaneous breaking of space-inversion and time-reversal symmetries. Those effects may find applications in optical-fiber communication and laser-diode technology. With such technologies and crystal-growth techniques now becoming available to scientists, the complex phases that can occur in tailor-made correlated-electron materials make this research field a fascinating and challenging arena for testing theories and for spawning new electronics.

Thanks to Naoto Nagaosa, Elbio Dagotto, Peter Littlewood, Ken Miyano, Tsuyoshi Kimura, and Yoichi Okimoto for enlightening discussion and help in preparing the article.

References

  1. 1. S. A. Kivelson, E. Fradkin, V. J. Emery, Nature 393, 550 (1998) https://doi.org/10.1038/31177 .

  2. 2. Y. Tokura, N. Nagaosa, Science 288, 389 (2000) https://doi.org/10.1126/science.288.5465.462 .

  3. 3. M. Imda, A. Fujimori, Y. Tokura, Rev. Mod. Phys. 70, 1039 (1998) https://doi.org/10.1103/RevModPhys.70.1039 .

  4. 4. A. J. Millis, Nature 392, 147 (1998) https://doi.org/10.1038/32348 .

  5. 5. Y. Tokura, ed., Colossal Magnetoresistive Oxides, Gordon & Breach, London (2000).

  6. 6. E. Dagotto, Nanoscale Phase Separation and Colossal Magnetoresistance: The Physics of Manganites and Related Compounds, Springer-Verlag, New York (2002).

  7. 7. H. Sawada, N. Hamada, K. Terakura, K. T. Asada, Phys. Rev. B 53, 12742 (1996) https://doi.org/10.1103/PhysRevB.53.12742 .

  8. 8. C. H. Chen, S.-W. Cheong, A. S. Cooper, Phys. Rev. Lett. 71, 2461 (1993) https://doi.org/10.1103/PhysRevLett.71.2461 .

  9. 9. J. M. Tranquada, B. J. Sternliev, J. D. Axe, Y. Nakamura, S. Uchida, Nature 375, 561 (1995) https://doi.org/10.1038/375561a0 .

  10. 10. Y. Tomioka, Y. Tokura, Phys. Rev. B 66, 104416 (2002) https://doi.org/10.1103/PhysRevB.66.104416 .

  11. 11. A. Asamitsu, Y. Tomioka, H. Kuwahara, Y. Tokura, Nature 388, 50 (1997) https://doi.org/10.1038/40363 .

  12. 12. K. Miyano, K. T. Tanaka, Y. Tomioka, Y. Tokura, Phys. Rev. Lett. 78, 4257 (1997) https://doi.org/10.1103/PhysRevLett.78.4257 ;
    M. Fiebig, K. Miyano, Y. Tomioka, Y. Tokura, Science 280, 1925 (1998) https://doi.org/10.1126/science.280.5371.1925 .

  13. 13. S. Q. Liu, N. J. Wu, A. Ignatiev, Appl. Phys. Lett. 76, 2749 (2000) https://doi.org/10.1063/1.126464 .

  14. 14. E. Saitoh et al., Nature 410, 180 (2001) https://doi.org/10.1038/35065547 .

  15. 15. T. Ogasawara, T. Kimura, T. Ishikawa, M. Kuwata-Gonokami, Y. Tokura, Phys. Rev. B 63, 113105 (2001) https://doi.org/10.1103/PhysRevB.63.113105 .

More about the authors

Yoshinori Tokura is a professor of applied physics at the University of Tokyo in Japan and a director of the Correlated Electron Research Center in Tsukuba, Japan.

Yoshinori Tokura, University of Tokyo, Japan .

Related content
/
Article
Figuring out how to communicate with the public can be overwhelming. Here’s some advice for getting started.
/
Article
Amid growing investment in planetary-scale climate intervention strategies that alter sunlight reflection, global communities deserve inclusive and accountable oversight of research.
/
Article
Although motivated by the fundamental exploration of the weirdness of the quantum world, the prizewinning experiments have led to a promising branch of quantum computing technology.
/
Article
As conventional lithium-ion battery technology approaches its theoretical limits, researchers are studying alternative architectures with solid electrolytes.
This Content Appeared In
pt-cover_2003_07.jpeg

Volume 56, Number 7

Get PT in your inbox

pt_newsletter_card_blue.png
PT The Week in Physics

A collection of PT's content from the previous week delivered every Monday.

pt_newsletter_card_darkblue.png
PT New Issue Alert

Be notified about the new issue with links to highlights and the full TOC.

pt_newsletter_card_pink.png
PT Webinars & White Papers

The latest webinars, white papers and other informational resources.

By signing up you agree to allow AIP to send you email newsletters. You further agree to our privacy policy and terms of service.