Discover
/
Article

Baryon acoustic oscillations: A cosmological ruler

DEC 01, 2017
A density pattern created by acoustic waves in the early universe can be seen in the distribution of galaxies and used as a standard ruler with which to measure cosmological expansion.

DOI: 10.1063/PT.3.3789

PTO.v70.i12.32_1.d1.jpg
Will J. Percival

In a perfectly uniform universe, stars and galaxies would never come to be. But even as a newborn less than 1 million years old, the universe was liberally seeded with small fluctuations in its density. Under the inexorable pull of gravity, those fluctuations formed ever-larger collections of celestial objects as material accreted onto growing structures. Galaxies mark strong concentrations of matter, locations where the seed fluctuations have grown to form so-called halos of dark matter whose mass is 1010–1014 times that of the Sun; the baryons (protons and neutrons) that form stars congregate within those halos. On large scales, the pattern of galaxies matches that of the seed perturbations. On small scales, local dynamics have a significant effect on the distribution of galaxies.

The pattern of seed fluctuations is not random, but instead depends on physical processes that occurred in the early universe. One of those processes is the propagation of acoustic waves. Driven by radiation pressure from primordial photons, acoustic waves expand in the form of spherical shells moving outward from primordial fluctuations.

When the universe was less than 400 000 years old, a photon could not travel far before scattering off an electron. Electrons and nuclei were also constantly colliding, so photons, electrons, and nuclei were all coupled together, and the acoustic waves dragged baryons with them. When the universe became 400 000 years old, protons and electrons cooled enough that they could combine in what is called the recombination epoch. After recombination, photons were decoupled from matter, which was no longer dragged along by the radiation. The endpoint was a distribution of material with noninteracting dark matter at the origins of the waves and baryons at the peripheries of the expanding shells. The image on page 32 is an artist’s conception of that endpoint, overlaid with a fanciful consequent galaxy distribution.

The post-recombination perturbations felt the combined gravity of both dark matter and baryons. Eventually the concentrations of matter at the locations of the original perturbations and in the spherical peripheries both had a mix of dark and baryonic matter, as galaxy formation requires. The relic patterns that were left are known as baryon acoustic oscillations (BAOs). The first theoretical calculations of BAO physics, 1 , 2 made in 1970, have now led to exquisite predictions of the distribution of fluctuations. (For a review, see the article by Daniel Eisenstein and Charles Bennett, Physics Today, April 2008, page 44 .)

A cosmic ruler

Baryon acoustic oscillations show up as a prominent feature in correlation functions that relate the mass densities ρ ( x ) at two separate points x 1 and x 2 . Usually the correlations are expressed in terms of the cosmological matter overdensity δ ( x ) [ ρ ( x ) ρ ( x ) ] / ρ ( x ) , with ρ ( x ) the mean value of the density. On large scales, δ should have properties close to those of a Gaussian random field—that is, at any location, its value is drawn from a Gaussian distribution.

Overdensities are not completely random because at different locations they are correlated with each other, as described by the correlation function ξ ( x 1 , x 2 ) < δ ( x 1 ) · δ ( x 2 ) > . Here the angle brackets denote an expectation value. Due to the homogeneity and isotropy of the cosmos on large scales, the correlation function is a function only of the distance r separating points x 1 and x 2 .

In brief, the matter correlation function quantifies the excess probability of finding a pair of mass concentrations at separation r compared with the case in which concentrations are placed completely at random. It is a key quantity in cosmology, from which can be deduced everything about the large-scale overdensity field except the random locations of individual overdensities.

Baryon acoustic oscillations give rise to an excess in cosmic mass concentrations separated by an amount close to the final size that the acoustic-wave spheres can reach before their propagation is halted at recombination. That BAO feature is on a large enough scale that it participates in the expansion of the universe. It remains approximately fixed in units of comoving length, a scale that grows with cosmological expansion: At present, the BAO scale is approximately 150 megaparsecs (480 million light-years; a cluster of galaxies is 2–10 Mpc across). The width of the cover image corresponds to 2.5 BAO scale lengths.

The near invariance of the BAO scale is manifest in figure 1, which shows the results of a theoretical model of the correlation function for a range of redshifts. At all redshifts, the correlation function has a bump at a similar comoving separation. Because the matter and galaxy distributions are related, the bump implies an excess in the number of pairs of galaxies corresponding to the BAO scale.

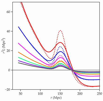
Figure 1.

PTO.v70.i12.32_1.f1.jpg

The correlation function ξ ( r ) relates the density of matter at two points separated by a distance r . In this plot, created with the routine RegPT,13 r is a comoving coordinate; points with fixed r flow with the expansion of the cosmos. To make large separations clearer, the correlation function has been multiplied by r 2 . Each pair of curves, one dotted and one solid, represents a different redshift z, whose value is zero today and increases in older slices of the cosmos. Reading the curves from top to bottom, z increases from 0 to 3.0 in increments of 0.5. The baryon acoustic oscillations (BAOs) feature—the bump at an r of about 150 megaparsecs (Mpc)—can be seen clearly at all redshifts. The dotted lines show the expected evolution as if bulk motions had not damped the BAO signal, whereas the solid lines show the expected signal after damping. On small scales, clustering increases with cosmological evolution and is evidently strongest at the present day. Also, as expected, the damping increases as the age of the universe increases and z decreases.

View larger

As the redshift drops, the clarity with which the BAO bump can be seen decreases. Note, though, that the growth of structure in the expanding universe acts mainly to smear out the scale rather than to shift its location. Nevertheless, the smearing is pernicious, in that it degrades the fidelity with which the BAOs can be measured. Removing it from observations is an area of research that I will discuss later.

The radiation freed from the baryons at recombination is measured today as the cosmic microwave background (CMB). The signature of the BAOs is imprinted on both the CMB and the matter distribution. In fact, the signal-to-noise ratio is significantly higher for the CMB, as recently observed by the Planck satellite mission. 3 Two factors contribute to the relative degradation of the BAO signal in matter. First, after recombination, the dark matter at the center of the acoustic wave and the baryonic matter at the periphery had to come together under the action of gravity. Then subsequent growth of structure further compromised the signal. The key strength of galaxy surveys is not to tell us about the pre-recombination universe but rather to realize the BAO scale as a standard ruler to measure the geometry of the universe at lower redshifts. And that information, in combination with CMB features, can be used to test cosmological models, including the nature of dark energy.

The universe in the large

To observe BAO, we astrophysicists need surveys of galaxies that cover volumes of many cubic gigaparsecs and include many hundreds of thousands of galaxies. The angular positions of galaxies are relatively straightforward to obtain, but turning angular positions into a three-dimensional map is more difficult. We obtain the radial information from the redshift in the light from the distant galaxies. It is possible to obtain an approximate measurement of the redshift from the broadband color of a galaxy, but to obtain an accurate redshift, we need a spectrum from which emission and absorption features with known rest-frame wavelengths can be accurately measured.

Given a cosmological model, we can translate from redshift to comoving distance and make a 3D map. But the map is only as valid as the model used to create it: How do we know it’s okay? The key is that galaxy surveys observe the BAO feature at multiple redshifts, as shown in figure 2. If the model is wrong, the comoving size of the BAO feature, as determined by the cosmological model, will not match at one or more wavelengths. In particular, the size of the BAO feature will appear to be inconsistent if the nature of dark energy is significantly different from cosmologists’ expectation.

Figure 2.

PTO.v70.i12.32_1.f2.jpg

Galaxy positions are correlated due to baryon acoustic oscillations (BAOs). The position of the peak in the correlation function, measured in comoving units, serves as a redshift-independent standard ruler that can be used to measure the geometry of the universe. But to determine the size of that ruler, one needs the input of a cosmological model to relate redshift to distance. If the ruler cannot be assigned a consistent size at different redshifts, the cosmological model cannot be right. For ease of viewing, the rulers shown here are approximately three times the scale of the BAO feature. They are superimposed on an approximately 80° slice of the two-degree Field Galaxy Redshift Survey (courtesy of the 2dFGRS team).4 The telescope shown is the Anglo–Australian Telescope, which carried out the survey. (Courtesy of Ángel López-Sánchez, Australian Astronomical Observatory/Macquarie University.)

View larger

In many fields in science, improvement in experimental measurement is driven by improvement in apparatus. For spectroscopic galaxy surveys, the key innovation was the multiobject spectrograph (MOS), which enables the simultaneous measurement of spectra, and hence redshifts, for multiple galaxies. The development and operation of two instruments led to the first observations of BAOs in galaxy surveys: the two-degree Field MOS on the 3.9 m Anglo–Australian Telescope, which was used for the two-degree Field Galaxy Redshift Survey (2dFGRS), 4 and the MOS on the Sloan Foundation 2.5 m Telescope, which was used for the Sloan Digital Sky Survey (SDSS). 5 As with many experiments during which the data build up slowly over time, it is not possible to pinpoint the instant when the evidence for BAOs first arrived. In 2001, as a young postdoc fortunate to be part of the 2dFGRS team, I analyzed the clustering of the galaxies in the survey when it was approximately two-thirds complete. There, I found the first evidence that baryonic effects in the early universe were needed to explain the observed galaxy distribution. 6 As the data improved, the BAO signal became clearer in the 2dFGRS data, 7 and it was also convincingly seen by the SDSS team. 8

More recent surveys have improved significantly on those early detections. The largest of those is the Baryon Oscillation Spectroscopic Survey (BOSS), which determined the BAO scale to within 1% accuracy and published its final measurements last year. 9 Box 1 describes planned and in-process surveys.

Box 1. Present and future galaxy surveys

Several ongoing and planned galaxy surveys will exploit the power of baryon acoustic oscillations (BAOs) to measure cosmological expansion. They were designed to furnish an understanding of dark energy, but they will also provide significant information about cosmology and the formation and evolution of galaxies.

Now that the Baryon Oscillation Spectroscopic Survey (BOSS) has completed its work, the Sloan Foundation 2.5 m Telescope and multiobject spectrograph (MOS) are being used to undertake an extended survey, eBOSS, as part of the continuing Sloan Digital Sky Survey. Once it has observed 580 000 quasars and lower-redshift galaxies, the new survey will provide a percent-level measurement of the BAO scale in the redshift (z) range 1 < z < 2. When it is completed, eBOSS, which started in 2014 and will continue to 2020, will have probed the largest volume of any cosmological redshift survey.

The Taipan survey, started in 2016, has begun to cover the whole of the southern sky. By the time it is completed in 2020, it will have obtained spectra for more than 1 million low-redshift (z < 0.34) galaxies. The Taipan low-redshift survey should be able to measure the Hubble constant with 1% precision. It will use the 1.2 m UK Schmidt Telescope at the Siding Spring Observatory in Australia.

The Dark Energy Spectroscopic Instrument (DESI) is a new MOS currently under construction for use at the 4 m Nicholas U. Mayall Telescope on Kitt Peak. Scheduled to start operations in 2019, DESI will be able to obtain 5000 spectra simultaneously (see Physics Today, October 2016, page 28 ). That capacity, coupled with the increased collecting area of the Mayall Telescope, means that DESI can spectroscopically survey galaxies better than 10 times as quickly as the SDSS MOS could. Consequently, DESI will enable a galaxy survey that is an order of magnitude improvement over BOSS both in volume and in the number of galaxies covered.

In 2020 the European Space Agency will launch the Euclid satellite mission. Euclid will undertake a galaxy redshift survey over the range 0.9 < z < 1.8 and will simultaneously perform an imaging survey in the visible and near-IR bands. The complete survey will generate hundreds of thousands of images and several tens of petabytes of data. Euclid will observe about 10 billion sources, out of which several tens of millions of galaxy redshifts will be determined and used for galaxy clustering measurements.

Figure 3 shows some of the BOSS maps. The research team observed 1.2 million luminous red galaxies over a volume of 18.7 Gpc3. Its observations covered a redshift range from 0.2 to 0.75, which corresponds to an age of the universe ranging from 12 Gy to 7 Gy; by comparison, the current age of the universe is about 14 Gy. BAO features imprinted on quasar spectra provide information about the cosmos at early times that galaxy surveys can’t access; see box 2.

Figure 3.

PTO.v70.i12.32_1.f3.jpg

The largest spectroscopic galaxy survey to date is the Baryon Oscillation Spectroscopic Survey (BOSS). The rectangle at the left shows a cutout of 1000 square degrees that contains 120 000 galaxies, about 10% of the full BOSS sample. The spectroscopic measurements of each galaxy—every dot in that cutout—transform the two-dimensional picture into the 3D maps shown in color. Brighter areas correspond to regions with more galaxies. The 3D maps show lots of structure—clusters, sheets, and filaments of galaxies, but also voids containing few galaxies. (Courtesy of Jeremy Tinker, SDSS-III collaboration.)

View larger

The clear detection of BAOs in the BOSS data, together with observations of the CMB, represents a stunning success of the hierarchical structure formation scenario in which today’s structure is built up from small density fluctuations in the early universe. We see the BAOs not just in the initial fluctuations as traced by the CMB, but also in the distribution of the galaxies into which those fluctuations evolved billions of years later. And a comparison of the two manifestations of the BAOs perfectly matches the predictions of our current cosmological model of structure formation.

Box 2. The Lyman-alpha forest

Measuring baryon acoustic oscillations (BAOs) with galaxies as tracers of the underlying matter density is now a mature technique. However, beyond a redshift of 2 or so, such observations become increasingly difficult because the galactic redshifts themselves are ever more difficult to obtain. Measuring the BAO scale at such high redshifts would allow astrophysicists to probe the universe when it was still dominated by matter, before dark-energy-driven accelerated expansion began. The so-called Lyman-alpha (Ly-α) forest, a set of redshifted absorption features in the spectrum of a distant quasar, provides a means for such a determination. The features are stretched in wavelength because the quasar light is gradually redshifted as it travels to Earth through the expanding universe. The clouds of neutral hydrogen responsible for the Ly-α absorption trace the clumps of dark matter on large scales. Thus the BAO feature appears as a preferred separation between absorption lines seen in the forest, and it can be used to determine a standard ruler at the redshifts of the absorbers. The BAOs can also be seen in correlations between the spatial locations of the neutral hydrogen clouds and the positions of quasars at similar redshift to the absorbers.

The BAO feature in the Ly-α forest was first detected by the Baryon Oscillation Spectroscopic Survey, 14 , 15 and observations will be expanded by both eBOSS (extended BOSS) and the Dark Energy Spectroscopic Instrument. The Ly-α forest is an efficient means to observe BAOs because each spectrum provides information for a section of the line of sight, not just a single location. The downsides of the approach are the limited density of suitable quasars and the relatively narrow redshift range in which the forest can be observed.

Across and along the line of sight

Positions of galaxies in the angular and radial directions are obtained in different ways. For that reason, testing the consistency of the BAO scale across the line of sight requires different cosmological quantities than testing the scale along the line of sight. Across the line of sight, we determine the BAO scale from the increase in the number of pairs with a given angular separation and use the cosmological model to relate angular separation to distance. In the radial direction, we see the BAOs as an increase in pairs with a particular, small separation in redshift and use the cosmological expansion rate, also known as the Hubble parameter, to relate the redshift of a pair to distance. As a consequence, the requirement that the BAO scale be the same across and along the line of sight—even at a single redshift—constrains cosmological models. The consistency requirement is known as the Alcock–Paczyński test, 10 and it contributes a key component of the information provided by galaxy surveys. Incidentally, the statistical test must hold for all structures, which should, on average, be randomly oriented.

The BAO measurements from all surveys to date match the predictions of what has become known as the standard cosmological model; indeed, no observations to date have given convincing evidence for discrepancies with it. The model is based on a universe of energy density acted on by gravity as described by Einstein’s general theory of relativity. Today the dominant energy-density component is dark energy, which leads to an accelerating cosmic expansion. In the standard model, dark energy is taken to be mathematically equivalent to Einstein’s cosmological constant, though experiments are currently under way to test that assumption. Dark energy was not always the main contributor to the cosmic energy density. After all, a cosmological constant does not dilute with the universal expansion, whereas matter does. So as one traces cosmic evolution backward in time, at some point—a redshift of about 0.7—matter and dark energy have the same density. At earlier times, matter dominates.

Although the standard cosmological model considers dark energy to be the cosmological constant, the truth is that the physics of dark energy is unknown, and understanding that physics is one of the great problems facing modern physics. Theorists have devised many alternatives to the cosmological constant! In effect, dark energy is just a name for the unknown mechanism responsible for the accelerated expansion, but naming something does not imply understanding.

The BAO standard ruler has become an important tool in tests of whether dark energy really is equivalent to the cosmological constant (see figure 4). Other techniques—for example, one based on standard-candle supernovae—can also address the properties of dark energy (see the article by Josh Frieman, Physics Today, April 2014, page 28 ). But methods based on BAOs reduce to simple geometrical measurements that are less prone to systematic errors than most other techniques. That advantage is important as the next generation of experiments attempts an order-of-magnitude improvement on measurements of the cosmological acceleration.

Figure 4.

PTO.v70.i12.32_1.f4.jpg

The standard cosmological model includes matter and dark energy acted on by gravity as described by the general theory of relativity. The curves here show redshift versus distance for different recipes of matter density (Ωm) and of dark-energy density (ΩΛ), which is taken to be Einstein’s cosmological constant. Note that the densities are given in terms of dimensionless Ω symbols normalized such that Ωm + ΩΛ = 1 corresponds to a spatially flat universe. Data from a handful of baryon acoustic oscillation surveys (colored dots) consistently support a spatially flat cosmos with Ωm = 0.3 and ΩΛ = 0.7. See reference 9 for details of the data plotted.

View larger

Bulk motions and reconstruction

Galaxies are in motion with respect to each other, and strictly speaking, their locations do not stay fixed in comoving coordinates. On large scales, that “peculiar” motion is driven by the growth of structure: Individual galaxies tend to fall into clusters of galaxies and out of voids, which leads to an overall increase in the amplitude of the clustering, as shown in figure 1.

The galactic motion also means that by the time galaxy pairs are observed, some of them have moved toward each other and some have separated relative to the seed perturbations from which they formed. Consequently, as seen in figure 1, as the cosmos evolves, the peak in the correlation function smooths out, reducing the fidelity with which the BAO feature can be observed and the length of the standard cosmological ruler measured.

PTO.v70.i12.32_1.f5.jpg

Artistic rendering of baryon acoustic oscillations and galaxies by Zosia Rostomian, Creative Services, Lawrence Berkeley National Laboratory.

View larger

The observed pattern of galaxies contains information about their motion. With that information, coupled with the fact that initial distribution of seed perturbations would have been close to uniform, one can in effect run simulations of the universe backward in time so as to undo the smoothing. 11 That process, which the BAO community calls reconstruction, provides a significant boost to BAO measurements. Developing more accurate reconstruction algorithms remains an active area of research.

A gold mine for cosmology

Galaxy surveys furnish information about galactic masses, star-formation histories, and the physics driving galactic evolution. But they also provide a wealth of cosmological information. In this article I have emphasized the BAOs, but before closing I should acknowledge some of the other cosmological nuggets that can be mined from galaxy surveys.

Cosmological structure growth. A galaxy’s redshift is caused by the Hubble expansion plus the peculiar motion of the galaxy. Maps that ignore the peculiar motion and use only the Hubble expansion to convert from redshift to distance are called redshift-space maps. The differences between those and the true maps that include peculiar motion are called redshift-space distortions (RSDs).

To get a handle on the RSDs, astrophysicists measure clustering across and along the line of sight in redshift-space maps; differences in the two measurements reflect the influence of peculiar velocities. After all, across the line of sight, the maps are not affected by peculiar motion, whereas they are affected along the line of sight. The information revealed about the peculiar motions in turn gives insight into the gravitational growth of cosmological structure and complements the geometric information provided by BAOs. In particular, theorists have suggested that dark energy can be explained in terms of a modification to general relativity, without the need to introduce a new and mysterious energy density. Some of their models give similar expansion histories to the standard cosmological model or to models that include a new energy-density component. However, they predict a different rate of structure growth within the background expansion, and thus the combination of BAO and RSD measurements can potentially distinguish between them.

Neutrino masses. High-energy-physics experiments have probed the mass differences between neutrino species by observing neutrino oscillations. However, those experiments do not determine the absolute masses of neutrino species. Cosmological measurements of neutrino mass exploit the differences between the behavior of cold (nonrelativistic) dark matter and relativistic neutrinos in the early universe.

Fast-moving neutrinos wash out small-scale structure that would have formed in a universe with just cold dark matter. To first approximation, the suppression depends on Ων, the ratio of the mass density comprising neutrinos to the critical mass density of matter and dark energy that would yield a spatially flat universe. That density, in turn, is related to the sum of the masses of all neutrino species mν = 94.1 Ων h2 eV, where h is the Hubble constant divided by 100 km/s/Mpc. Thus mν can be probed by galaxy survey measurements that compare the small-scale and large-scale clustering of galaxies. 12

Cosmological inflation. The isotropy of the CMB suggests that in the instants after the Big Bang, the universe underwent a period of rapid expansion now known as inflation. Cosmological inflation explains why the universe appears homogeneous and isotropic on large scales and why the total energy density is close to the critical value. Inflation also explains the origin of large-scale structure: During inflation quantum fluctuations in the microscopic inflationary region are magnified to cosmic size and thus provide the initial seed perturbations that lead to BAOs. The physics underlying inflation is currently unknown, but some models predict that at very large separations, the clustering of galaxies and the clustering of matter will be very different—a conjecture that can be tested with galaxy surveys covering large volumes of the universe.

I thank Dida Markova and Florian Butler for their comments and suggestions.

References

  1. 1. P. J. E. Peebles, J. T. Yu, Astrophys. J. 162, 815 (1970). https://doi.org/10.1086/150713

  2. 2. R. A. Sunyaev, Y. B. Zeldovich, Astrophys. Space Sci. 7, 3 (1970). https://doi.org/10.1007/BF00653471

  3. 3. P. A. R. Ade et al. ( Astron. Astrophys. 594, A13 (2016). https://doi.org/10.1051/0004-6361/201525830

  4. 4. M. Colless et al. (2dFGRS team), Mon. Not. R. Astron. Soc. 328, 1039 (2001); https://doi.org/10.1046/j.1365-8711.2001.04902.x
    M. Colless et al. (2dFGRS team), http://arxiv.org/abs/astro-ph/0306581 .

  5. 5. D. G. York et al. (SDSS collaboration), Astron. J. 120, 1579 (2000). https://doi.org/10.1086/301513

  6. 6. W. J. Percival et al., Mon. Not. R. Astron. Soc. 327, 1297 (2001). https://doi.org/10.1046/j.1365-8711.2001.04827.x

  7. 7. S. Cole et al., Mon. Not. R. Astron. Soc. 362, 505 (2005). https://doi.org/10.1111/j.1365-2966.2005.09318.x

  8. 8. D. J. Eisenstein et al., Astrophys. J. 633, 560 (2005). https://doi.org/10.1086/466512

  9. 9. S. Alam et al., http://arxiv.org/abs/1607.03155 .

  10. 10. C. Alcock, B. Paczyński, Nature 281, 358 (1979). https://doi.org/10.1038/281358a0

  11. 11. D. J. Eisenstein et al., Astrophys. J. 664, 675 (2007). https://doi.org/10.1086/518712

  12. 12. J. Lesgourges et al., Neutrino Cosmology, Cambridge U. Press (2013).

  13. 13. A. Taruya et al., Phys. Rev. D 86, 103528 (2012). https://doi.org/10.1103/PhysRevD.86.103528

  14. 14. N. Busca et al., Astron. Astrophys. 552, A96 (2013). https://doi.org/10.1051/0004-6361/201220724

  15. 15. A. Slosar et al., J. Cosmol. Astropart. Phys. 2013(04), 026 (2013). https://doi.org/10.1088/1475-7516/2013/04/026

More about the Authors

Will Percival is a professor of cosmology at the University of Portsmouth in the UK. Early in 2018 he will start a joint appointment at the University of Waterloo and the Perimeter Institute for Theoretical Physics in Canada.

This Content Appeared In
pt_cover1217_no_label.jpg

Volume 70, Number 12

Related content
/
Article
Technical knowledge and skills are only some of the considerations that managers have when hiring physical scientists. Soft skills, in particular communication, are also high on the list.
/
Article
Professional societies can foster a sense of belonging and offer early-career scientists opportunities to give back to their community.
/
Article
Research exchanges between US and Soviet scientists during the second half of the 20th century may be instructive for navigating today’s debates on scientific collaboration.
/
Article
The Eisenhower administration dismissed the director of the National Bureau of Standards in 1953. Suspecting political interference with the agency’s research, scientists fought back—and won.
/
Article
Alternative undergraduate physics courses expand access to students and address socioeconomic barriers that prevent many of them from entering physics and engineering fields. The courses also help all students develop quantitative skills.
/
Article
Defying the often-perceived incompatibility between the two subjects, some physicists are using poetry to communicate science and to explore the human side of their work.

Get PT in your inbox

Physics Today - The Week in Physics

The Week in Physics" is likely a reference to the regular updates or summaries of new physics research, such as those found in publications like Physics Today from AIP Publishing or on news aggregators like Phys.org.

Physics Today - Table of Contents
Physics Today - Whitepapers & Webinars
By signing up you agree to allow AIP to send you email newsletters. You further agree to our privacy policy and terms of service.