Discover
/
Article

The standard model’s greatest triumph

DEC 01, 2013
The standard model predicts the electron magnetic moment to an astonishing accuracy of one part in a trillion.

DOI: 10.1063/PT.3.2223

Gerald Gabrielse

The electron is amazing. The particle whose orbits give size to atoms may actually have no size. We only know that its radius must be less than 2 × 10−20 meters to explain why more high-speed positrons do not bounce backward when they collide with electrons. The “spin-½” electron has angular momentum S = ½Ŝ, as Otto Stern and Walther Gerlach famously demonstrated, even though it has no size and nothing is rotating.

The electron, though, does have the magnetism that we might expect if charge displaced from the electron’s center rotates to make current loops. Insofar as the electron has a simple internal structure, that magnetic moment μ is parallel to its spin: μ = μŜ. To measure μ, a single electron is suspended for months at a time in a strong magnetic field B. A weak electric field (henceforth to be ignored, since it adds no fundamental complication) keeps the electron from leaving the measurement apparatus—the Penning trap shown in panel a of the figure.

PTO.v66.i12.64_1.f1.jpg

Unprecedented confrontation of theory and experiment. (a) Our Penning trap shown here suspended a single electron for the months it took to measure its magnetic moment μ—the most precisely measured property of an elementary particle. (b) The magnetic moment is also the quantity most precisely predicted by the standard model of particle physics. The prediction requires the calculation of nearly 14 000 integrals. These Feynman diagrams represent three of those. (c) Fluorescing rubidium atoms are used to measure the fine-structure constant α, which gives the strength of the electromagnetic interaction. The measured α and the standard-model calculation are the essential inputs for the precise prediction. (d) The predicted and measured values of μ agree to an astounding part per trillion. Both values shown here are divided by the Bohr magneton μB defined in the text. Parentheses denote uncertainties in the rightmost two digits.

FRANÇOIS BIRABEN

View larger

The electron orients its magnetic moment with B, much as a magnetized compass needle orients in Earth’s magnetic field. A compass needle pointed exactly south will stay in that unstable equilibrium state only until a tiny disturbance flips it to the lower-energy, stable equilibrium state pointed north. Energy is not so easily removed from the single-electron magnet. Left to itself in the Penning trap, it would remain either parallel or antiparallel to B for years; the two states differ in energy by ℏωs = −2μB, where ωs is the so-called spin frequency. The spin and magnetic moment flip direction only when an appropriate oscillating driving force is applied, with more spin flips taking place as the drive frequency approaches ωs.

The spin frequency is proportional to B, which must then be measured to extract μ. Fortunately, the cyclotron frequency, ωc = eB/m for an electron with charge −e and mass m, is also proportional to B, so it can be used as an internal magnetometer. The electron is kept cold—with a temperature less than 0.1 degree above absolute zero—to keep the cyclotron motion in its quantum ground state. As with spin flips, a measurable one-quantum excitation of the cyclotron motion, which increases the energy by ℏωc, requires an appropriate driving force. Excitations take place more frequently as the drive frequency approaches ωc.

Eliminating B from ℏωs = −2μB and ωc = eB/m gives the magnetic moment as a ratio of the two measurable frequencies, μ/μB = −ωs/ωc. The Bohr magneton μB = eℏ/(2m) is the magnetic moment for circular electron motion with angular momentum . The magnetic moment μ is negative—that is, μ is antiparallel to the spin—because the electron charge is negative. In terms of the famous electron g value, μ/μB = −g/2.

Other critical experimental methods can only be mentioned, given space constraints. Using only the lowest cyclotron states eliminates the necessity to make a relativistic correction that depends on velocity. We obtain the fraction of a second needed to observe a one-quantum cyclotron excitation by using a cylindrical trap cavity that inhibits the spontaneous emission that otherwise would radiate away the energy of the excited state before it could be observed. So-called quantum nondemolition detection keeps repeated observations of the lowest quantum states from causing transitions.

The resulting electron magnetic moment, μ/μB = −1.001 159 652 180 73 (28), is the most precisely measured property of any elementary particle. The uncertainty, in parentheses for the rightmost two digits, is only 2.8 parts in 1013. For comparison, the muon magnetic moment has been measured only about 1/2500 as precisely.

The standard-model calculation

In 1928 Paul Dirac introduced the famous relativistic wave equation that describes an electron and other spin-½ particles. The Dirac equation prediction, μ/μB = −1, is the first and largest of four standard-model contributions that together may be written −μ/μB = 1 + aQED + ahadronic + aweak.

A 0.1% addition to the moment, aQED, comes from quantum electrodynamics (QED), a quantum field theory incorporated into the standard model. QED describes how the electron emits and absorbs photons, some of which interact with the lepton–antilepton pairs of “empty space.” The standard model’s leptons—the electron, muon, and tauon—are identical point particles except for their differing masses. Each has an oppositely charged antiparticle with the same mass. Because lepton–antilepton pair creation violates energy conservation, the pairs annihilate within the short time allowed by the energy–time uncertainty principle.

A two parts per trillion contribution, ahadronic, comes from the electron’s interaction with hadron–antihadron pairs. (Hadrons are heavy particles whose internal structure would need to be known here if the correction weren’t so small.) The standard-model weak-interaction contribution to the electron moment, aweak, is smaller than the measurement precision.

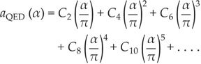
Quantum electrodynamics gives aQED as a power series in the fine-structure constant, αe2/(4πε0ℏc) ≈ 1/137, which is a measure of the strength of the electromagnetic interaction in the low-energy limit. Specifically,

PTO.v66.i12.64_1.d1.jpg

Each of the five displayed terms is much smaller than the previous one, but all are needed to achieve the measurement precision of the magnetic moment.

The Ck are calculated by evaluating Feynman diagrams, each giving a prescription for an integral. The 1, 7, and 72 Feynman diagrams that contribute to C2, C4, and C6 have been evaluated analytically. Julian Schwinger calculated C2 in 1948. Charles Sommerfield and André Petermann independently determined C4 in 1957. Stefano Laporta and Ettore Remiddi finished their remarkable evaluation of C6 in 1996. Toichiro Kinoshita, Makiko Nio, and collaborators numerically evaluated the daunting 891 and 12 672 Feynman diagrams (panel b of the figure gives examples) needed for C8 and C10—the result for C10 was reported only in 2012.

Folding in a fundamental constant

The fine-structure constant is ubiquitous throughout physics. I’ve already noted its connection to the electromagnetic interaction. In atomic physics, the binding energy, fine-structure splitting, and Lamb shift are all proportional to powers of α. In condensed-matter physics, α characterizes Josephson junction oscillations and quantum Hall resistance steps. In addition, α is an important component of our system of fundamental constants.

The fine-structure constant must be measured, since it is defined with parameters of the standard model that cannot be calculated. Thus a standard-model prediction of μ/μB requires an empirically determined α as input. Several measurements together determine α via α2 = 4πR/(mc), obtained by substituting the Rydberg constant R (precisely measured by Theodor Hänsch and collaborators using hydrogen laser spectroscopy) into the definition for α. In 2011 François Biraben precisely determined /M for rubidium. The Rb mass M had earlier been related to the electron mass m in measurements by Ed Myers and by Wolfgang Quint, Klaus Blaum, and collaborators.

In Biraben’s experiment, Rb atoms initially at rest were each given N = 500 momentum kicks of (k1 + k2) ≡ 2ℏk from counterpropagating lasers with precisely measured wavevectors of magnitude k1 and k2. The internal energy of each atom remained unchanged insofar as one photon was absorbed while the other stimulated the emission of a photon. (Panel c of the figure shows the fluorescing Rb.) The speed change of the atom, 2Nℏk/M, was measured from the Doppler shift of an absorption line to determine /M. The result, 1/α = 137.035 999 049 (90), is consistent with the more precise value that can be obtained from using the measured μ and the standard-model calculation to determine α.

The standard model, with the experimentally determined α as input, predicts an electron magnetic moment, μ/μB = −1.001 159 652 181 78 (77). Owing to the uncertainty in α, the prediction is 2.8 times less precise than the measurement. A comparison of that prediction to the single-electron measurement is the most precise confrontation of any theory and experiment. They agree to 1.1 ± 0.8 parts per trillion—to within 1.3 standard deviations.

A theory of much, but not everything

The standard model is the great success and the great frustration of modern physics. Not only does it predict the electron magnetic moment to a part per trillion, it also successfully incorporates into its patchwork everything measured for the fundamental particles that make up the known matter in the universe, along with what is known about the weak, electromagnetic, and strong forces by which those particles interact. The frustration is that the standard model seems too incomplete to be the final word. It also includes more parameters than physicists would like. Gravity does not fit completely. And the standard model offers no explanation for the dark matter and dark energy that seem to make up most of the universe, nor for how a matter universe could result from the nearly symmetric creation of matter and antimatter in the Big Bang.

Even as we celebrate the great triumph of the standard model, some of us are attempting to use new apparatus and methods to more precisely test the standard-model prediction. Likely we have more to learn from the amazing electron.

I thank François Biraben, Toichiro Kinoshita, Makiko Nio, Elise Novitski, Lee Roberts, and David Wineland for helpful comments.

References

  1. 1. D. Hanneke, S. Fogwell, G. Gabrielse, “New measurement of the electron magnetic moment and the fine structure constant,” Phys. Rev. Lett. 100, 120801 (2008). https://doi.org/10.1103/PhysRevLett.100.120801

  2. 2. R. Bouchendira et al., “New determination of the fine structure constant and test of quantum electrodynamics,” Phys. Rev. Lett. 106, 080801 (2011). https://doi.org/10.1103/PhysRevLett.106.080801

  3. 3. T. Aoyama et al., “Quantum electrodynamics calculation of lepton anomalous magnetic moments: Numerical approach to the perturbation theory of QED,” Prog. Theor. Exp. Phys. 01A, 107 (2012, doi:10.1093/ptep/pts030 ).

More about the Authors

Gerald Gabrielse is the George Vasmer Leverett Professor of Physics at Harvard University in Cambridge, Massachusetts.

This Content Appeared In
pt-cover_2013_12.jpeg

Volume 66, Number 12

Related content
/
Article
How hitting just 4 pins can result in knocking down all 10, over and over.
/
Article
The physics behind the unique instrument lets players turn hand gestures into music.
/
Article
Understanding how particles of all kinds fill space has applications in physics, engineering, materials design, and even machine learning.
/
Article
Even though it lacks a complete explanation, the small-scale, everyday effect is being exploited for various applications.
/
Article
A unique valley and mountain circulation forms a natural route for balloonists to navigate the atmosphere.
/
Article
A subtle macroscopic effect in the space between two birefringent plates produces a measurable Casimir torque.

Get PT in your inbox

Physics Today - The Week in Physics

The Week in Physics" is likely a reference to the regular updates or summaries of new physics research, such as those found in publications like Physics Today from AIP Publishing or on news aggregators like Phys.org.

Physics Today - Table of Contents
Physics Today - Whitepapers & Webinars
By signing up you agree to allow AIP to send you email newsletters. You further agree to our privacy policy and terms of service.