Discover
/
Article

Second Material Found that Superconducts in a Ferromagnetic State

SEP 01, 2001
At first glance, ferromagnetism and superconductivity look incompatible, but that hasn’t turned out to be the case.

Electrons need help to form superconducting pairs. In conventional superconductors, lattice vibrations push the electrons together into the superconducting state. In exotic superconductors and those with a high superconducting transition temperature T c, magnetic fluctuations are believed to play the pander’s role.

Magnetic fluctuations are strongest when magnetic order is about to form or disappear, a point known as the quantum critical point. There, electron spins are wobbliest and the spin fluctuations have the lowest frequencies: the lower the frequency, the stickier the pairing. If you’re looking for superconductivity in a magnetic material, the vicinity of the quantum critical point is where you’d start your search. Indeed, many high-T c superconductors are found poised on the edge of antiferromagnetism.

But you wouldn’t expect superconductivity in the magnetic state itself, especially in a ferromagnetic material. Internal magnetic fields tend to twist apart pairs whose spins are antiparallel, such as the s-wave pairs in conventional superconductors and the d-wave pairs in high-T c superconductors. Pairs with parallel spins, such as the p-wave pairs in strontium ruthenate, would not be twisted apart. But all superconductors, regardless of pairing symmetry, expel magnetic fields. At first glance, ferromagnetism and superconductivity appear mutually hostile.

So it was a surprise when Gil Lonzarich’s group at Cambridge University and their collaborators at Grenoble’s Atomic Energy Commissariat discovered last year that an alloy of uranium and germanium, UGe2, exhibited superconductivity and ferromagnetism simultaneously. 1 Now, a team led by Christian Pfleiderer of the University of Karlsruhe has found a second ferromagnetic superconductor 2 : an alloy of zirconium and zinc, ZrZn2 (see figure 1).

PTO.v54.i9.16_1.f1.jpg

Figure 1. The zirconium atoms (violet) in the newly discovered ferromagnetic superconductor ZrZn2 form a tetrahedrally coordinated diamond stucture amid the zinc atoms (red).

(Courtesy of Stephen Hayden.)

View larger

Physicists and engineers with applications in mind are unlikely to pounce on UGe2 and ZrZn2, which both have transition temperatures below 1 K. But these materials, and the others like them waiting to be discovered, offer theorists and experimenters the chance to investigate the interactions of ferromagnetism with superconductivity in an energetically tranquil low-temperature regime. That opportunity could yield clues to understanding another class of material where superconductivity and magnetism interact: the high-T c superconductors.

Pressure drop

ZrZn2 is an unusual compound. Created for the first time in the 1950s by Bernd Matthias and Richard Bozorth, its two components are paramagnetic superconductors, yet ZrZn2 itself is a weak ferromagnet whose superconductivity was previously unknown.

When theorists began to investigate magnetically induced pairing in the 1960s and 1970s, ZrZn2 looked like an ideal system in which to hunt for the phenomenon. The material’s Curie temperature T m (the highest temperature at which magnetic order prevails) is 25 K. To experimenters looking for a superconducting transition close to the quantum critical point, a low T m is an advantage because superconductivity tends to be a low-temperature phenomenon. ZrZn2 has another an advantage: Its intrinsic magnetization is weak enough that even s-wave pairing might survive.

But it’s hard to make pure samples of ZrZn2, so when Lonzarich and his collaborators began to investigate magnetic superconductors in the 1980s, they looked instead to other weak ferromagnets, including manganese silicide. Though much easier to make in pure form than ZrZn2, MnSi turned out to lack a key lattice symmetry that superconductivity requires.

The first ferromagnetic superconductor to be discovered, UGe2, wasn’t on Lonzarich’s original hit list. Its magnetic moment, which originates in uranium’s 5f shell, is too large and too ordered to foster strong magnetic fluctuations. What enabled UGe2 to leapfrog over ZrZn2 is its behavior under pressure.

Compressing a material pushes the atoms closer together, making it easier for electrons to hop from atom to atom and broadening the energy bands. Broad bands don’t favor magnetism, so pressure almost universally tends to make T m go down and eventually vanish at the critical pressure p c.

In the case of UGe2 and other f-band systems, the conduction bands are rather narrow to begin with. Squeezing f-band systems gives experimenters ample space to explore a wide range of electronic states that might support coexistent ferromagnetism and superconductivity. UGe2’s superconductivity was found just below p c at about 1.6 gigapascals.

Finding coexistent ferromagnetism and superconductivity in ZrZn2 had to wait until high-purity samples could be made. The difficulty lies with zinc. Zinc melts at a modest 420°C and boils at 907°C. Both points are lower than zirconium’s melting temperature of 1850°C. When you heat the two metals in a crucible to make ZrZn2, the zinc not only tends to dissolve the crucible, it also vaporizes. Stephen Hayden (Bristol University) and Nick Bernhoeft (Cambridge University), both former graduate students of Lonzarich’s, overcame these problems by using a specially designed crucible of yttrium oxide (one of the most refractory of oxides) enclosed in a tantalum container. After making the ZrZn2 samples in Cambridge, Hayden mailed them to Pfleiderer, who had also earned his PhD under Lonzarich.

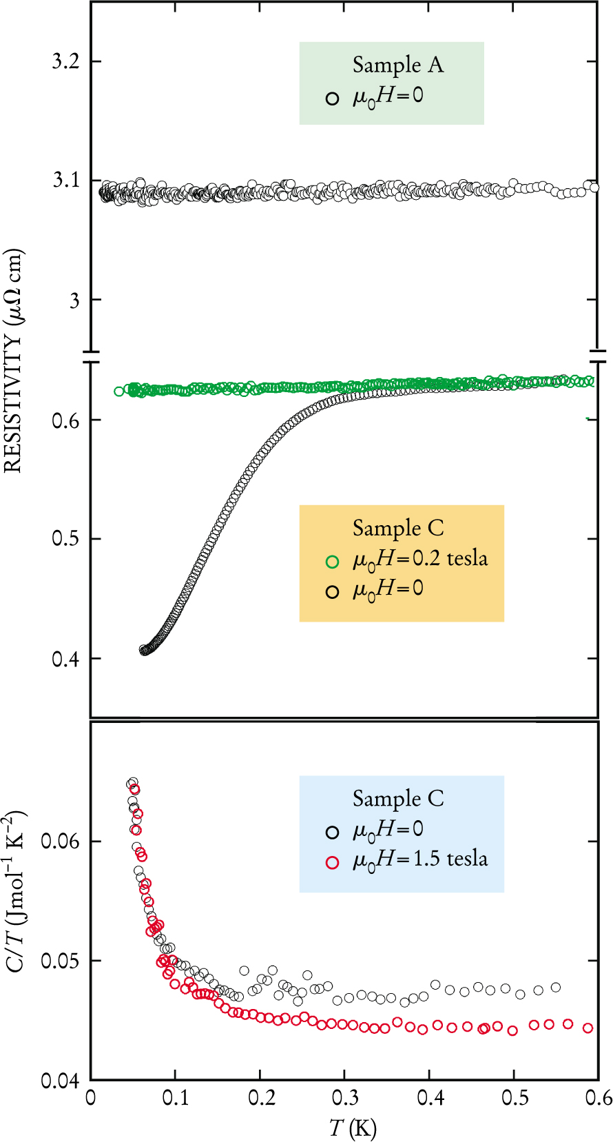
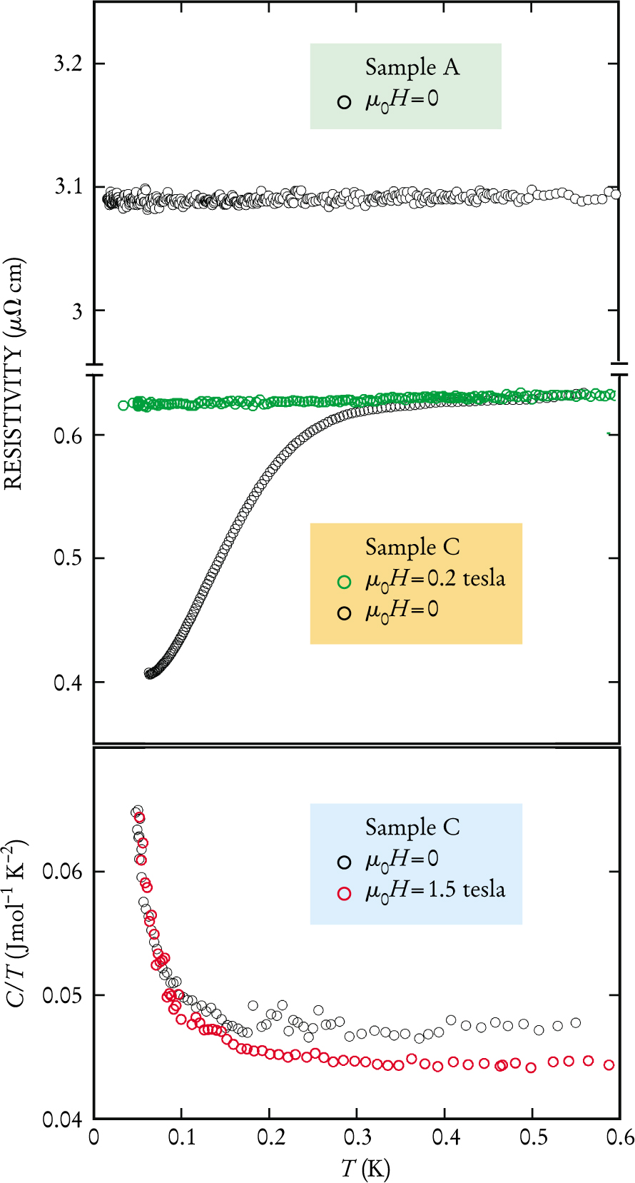
Familiar with the work on UGe2, Pfleiderer thought he’d find superconductivity in ZrZn2 close to the critical pressure. He didn’t. Instead, much to his surprise—and initial disbelief—he saw a superconducting transition at lower pressures and then at ambient pressure (see figure 2).

PTO.v54.i9.16_1.f2.jpg

Figure 2. Resistivity and heat capacity measurements of two samples of ZrZn2. No superconducting transition was observed in sample A. But sample C, which is significantly purer, does have a superconducting transition at 0.3 K. The transition is suppressed by an external magnetic field of 0.2 T. Heat capacity measurements performed on sample C do not reveal an anomaly at the superconducting transition temperature.

(Adapted from ref. 2.)

View larger

Furthermore, when he measured T c and T m at different pressures, he found that the two temperatures fell linearly from their ambient values until both disappeared at the same p c of 2.1 gigapascals. That T c and T m should track each other is strong evidence that the same electrons mediate both superconductivity and ferromagnetism. The high critical pressure indicates that superconductivity in ZrZn2 occurs firmly in the ferromagnetic state, rather than close to the quantum critical point.

Very strange beasts

Although the observations of coexistent ferromagnetism and superconductivity are barely two years old, theorists had anticipated the discovery more than 20 years ago.

In 1978, Tony Leggett (then at the University of Sussex) proposed that magnetically induced p-wave pairing might be observed in ZrZn2 close to the quantum critical point on the paramagnetic side of the phase transition. Extending that idea, Douglas Fay and Joachim Appel of Hamburg University published a model two years later in which superconductivity appears on the ferromagnetic side, too.

Most of the theoretical papers that seek to account for coexistent ferromagnetism and superconductivity in UGe2 have followed Leggett and Fay and Appel in ascribing the material’s superconductivity to p-wave pairing. The magnetization of UGe2 is perhaps too strong for s-wave pairs to withstand, but ZrZn2, being a much weaker ferromagnet, presents a less harsh environment for s-wave pairing.

Indeed, three years ago, Kevin Bedell (Boston College) and his coworkers suggested that ZrZn2 might have an s-wave superconducting transition. 3 David Singh and Igor Mazin of the Naval Research Laboratory have also pointed out that an alternative s-wave explanation for ZrZn2 can’t yet be ruled out. 4 Although they acknowledge the persuasiveness of the p-wave picture, their calculations reveal that electron-phonon coupling is strong enough in ZrZn2 to push the electrons into an inhomogeneous s-wave state of the sort proposed 37 years ago by Peter Fulde and Richard Ferrell and, independently, by Anatoly Larkin and Yurii Ovchinnikov.

Related, perhaps, to uncovering the nature of the pairing state is an intriguing question. Contrary to Fay and Appel’s original theory, superconductivity in UGe2 and ZrZn2 is observed only on the ferromagnetic side of the quantum critical point. Bedell and coworkers attribute this asymmetry to a subtle but fundamental difference in the nature of the Fermi liquid on the paramagnetic and ferromagnetic sides. This difference, Bedell explains, causes the symmetry of the pairing to change at the quantum critical point: from p-wave on the paramagnetic side to s-wave on the ferromagnetic side. 5

Ted Kirkpatrick (University of Maryland) and coworkers have a different explanation for the asymmetry. 6 Previous theories have treated longitudinal spin fluctuations (changes in the magnitude of the local magnetization) in pretty much the same way on either side of the quantum critical point. But, argue Kirkpatrick and company, the longitudinal fluctuations on the ferromagnetic side are actually larger than on the paramagnetic side thanks to coupling with transverse fluctuations (fluctuations in the spins’ direction). This coupling between the two sorts of fluctuations, believe Kirkpatrick and company, is what causes T c to be 100 times higher on the ferromagnetic side.

Other systems

The new ferromagnetic superconductors aren’t the only materials in which superconductivity exists in more or less close proximity to magnetism. The high-T c cuprates are almost antiferromagnets; the borocarbides that contain magnetic ions are fully antiferromagnetic; strontium ruthenate is almost a ferromagnet. Even iron itself, the archetypal ferromagnet, has recently been found to be a superconductor, albeit under such high pressure that it ceases to be ferromagnetic. 7 And in other compounds, such as RuSr2GdCu2O8 and its fellow ruthenocuprates, ferromagnetism and superconductivity coexist at the same temperature and pressure, but in different atomic planes.

Says Cambridge University’s Peter Littlewood: “There’s a lot of evidence that magnetic fluctuations of various kinds are promoting superconductivity and so, rather than being just an isolated phenomenon, it’s beginning to look like something rather generic.”

References

  1. 1. S. S. Saxena et al., Nature 406, 587 (2000) https://doi.org/10.1038/35020500 .

  2. 2. C. Pfleiderer et al., Nature 412, 58 (2001) https://doi.org/10.1038/35083531 .

  3. 3. K. B. Blagoev, J. R. Engelbrecht, K. S. Bedell, Philos. Mag. Lett. 78, 169 (1998) https://doi.org/10.1080/095008398178165 .

  4. 4. D. J. Singh, I. I. Mazin, http://arXiv.org/abs/cond-mat/0107610 .

  5. 5. K. B. Blagoev, J. R. Engelbrecht, K. S. Bedell, Phys. Rev. Lett. 82, 133 (1999) https://doi.org/10.1103/PhysRevLett.82.133 .

  6. 6. T. R. Kirkpatrick, D. Belitz, T. Vojta, R. Narayanan, http://arXiv.org/abs/cond-mat/0105627 .

  7. 7. K. Shimizu et al., Nature 412, 316 (2001) https://doi.org/10.1038/35085536 .

Related content
/
Article
The finding that the Saturnian moon may host layers of icy slush instead of a global ocean could change how planetary scientists think about other icy moons as well.
/
Article
/
Article
After a foray into international health and social welfare, she returned to the physical sciences. She is currently at the Moore Foundation.
/
Article
Modeling the shapes of tree branches, neurons, and blood vessels is a thorny problem, but researchers have just discovered that much of the math has already been done.
This Content Appeared In
pt-cover_2001_09.jpeg

Volume 54, Number 9

Get PT in your inbox

pt_newsletter_card_blue.png
PT The Week in Physics

A collection of PT's content from the previous week delivered every Monday.

pt_newsletter_card_darkblue.png
PT New Issue Alert

Be notified about the new issue with links to highlights and the full TOC.

pt_newsletter_card_pink.png
PT Webinars & White Papers

The latest webinars, white papers and other informational resources.

By signing up you agree to allow AIP to send you email newsletters. You further agree to our privacy policy and terms of service.