Discover
/
Article

Negative ions of molecular hydrogen

DEC 01, 2011

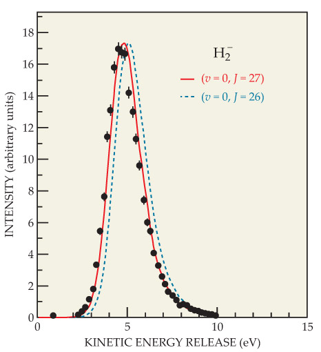
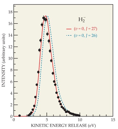
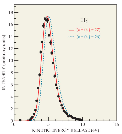
Negative ions of molecular hydrogen. The long-standing puzzle of how a hydrogen molecule can hold on to an extra electron for so long has finally been experimentally resolved. The negative molecular ion H2 is the simplest of all molecular anions. It’s unstable, but the details of its unstable states have been the subject of much confusion. They matter beyond the confines of molecular theory because an H2 collision complex is thought to be relevant to the formation of the first generation of stars. A clear signal of metastable H2 with a lifetime of microseconds was found in a 2005 mass-spectrometer experiment. Theory, however, predicted that no H2 state could survive longer than femtoseconds unless the separation between the protons was much bigger than the 0.7-Å spacing of the neutral H2 ground state. Now for the first time, the details of the metastable state have been revealed through so-called Coulomb-explosion imaging of its wavefunction by a group at the Max Planck Institute for Nuclear Physics in Heidelberg. The team accelerated an ion beam with a small H2 component to 1 MeV and then stripped off all the electrons by passing the H2 ions through an ultrathin carbon foil. The two suddenly freed protons repelled each other and were detected downstream. The observed distribution of proton-pair kinetic energies thus released was best fitted by an ionic wavefunction with a mean interproton spacing of about 3 Å and a rotational quantum number J of 27, as shown in the figure. The centrifugal barrier created by such high spin causes the large internuclear separation that accounts for the metastable state’s lifetime of almost 10 µs. (B. Jordon-Thaden et al., Phys. Rev. Lett. 107, 193003, 2011 doi:10.1103/PhysRevLett.107.193003 .) —BMS

Related content
/
Article
The finding that the Saturnian moon may host layers of icy slush instead of a global ocean could change how planetary scientists think about other icy moons as well.
/
Article
/
Article
After a foray into international health and social welfare, she returned to the physical sciences. She is currently at the Moore Foundation.
/
Article
Modeling the shapes of tree branches, neurons, and blood vessels is a thorny problem, but researchers have just discovered that much of the math has already been done.
This Content Appeared In
pt-cover_2011_12.jpeg

Volume 64, Number 12

Get PT in your inbox

pt_newsletter_card_blue.png
PT The Week in Physics

A collection of PT's content from the previous week delivered every Monday.

pt_newsletter_card_darkblue.png
PT New Issue Alert

Be notified about the new issue with links to highlights and the full TOC.

pt_newsletter_card_pink.png
PT Webinars & White Papers

The latest webinars, white papers and other informational resources.

By signing up you agree to allow AIP to send you email newsletters. You further agree to our privacy policy and terms of service.