Discover
/
Article

Microwaves Induce Vanishing Resistance in Two-Dimensional Electron Systems

APR 01, 2003
At modest magnetic fields and microwave excitations, the resistance of a 2D semiconductor can oscillate all the way to zero.

Zero resistance is a rare phenomenon in condensed matter systems, and its observation heralds interesting physics. Heike Kamerlingh Onnes was the first to see a transition to a zero-resistance state, when he discovered superconductivity in mercury in 1911. Nearly 70 years later, Klaus von Klitzing observed the quantum Hall effect (QHE) accompanying vanishing longitudinal resistance in two-dimensional electron systems (2DES) at high magnetic fields. So when Ramesh Mani (now at Harvard University) and collaborators submitted a paper to Nature on “zero-resistance states” last June 1 and Michael Zudov and Rui-Rui Du (University of Utah) and colleagues posted a preprint with “evidence for a new dissipationless effect” in October 2 —both groups studying 2DES irradiated with microwaves at lower magnetic fields—many people were intrigued.

At first glance, the new observations bear enticing resemblances to the QHE. For example, the resistance in the two effects approaches zero with similar temperature dependences. But there are significant differences. Most noticeably, not only is the Hall resistance not quantized in the recent experiments, but the microwaves appear to have virtually no effect on the Hall resistance. And while the QHE is typically seen in magnetic fields of several tesla, the new effects are seen in fields a factor of 50 or so lower, about 0.1 T. In addition, the QHE is an equilibrium effect, whereas the low-field state is a nonequilibrium one induced by microwave irradiation.

First sightings

In 2DES, electrons are typically confined at interfaces between two different semiconductors, or within a quantum well formed in a three-layer semiconductor sandwich. When a magnetic field is applied perpendicular to the 2D plane of such systems, the electrons’ orbital motion is quantized, which leads to flat bands—so-called Landau levels—in the energy spectrum. The energy levels are evenly spaced with a separation of ħωc, where the cyclotron frequency ωc = eB/m*. Here, m* is the effective electron mass in the semiconductor (for gallium arsenide, about 0.067 of the bare electron mass). The strength of the magnetic field can be expressed in terms of the filling factor ν, which specifies the number of filled Landau levels. The higher the field, the more states there are in each Landau level, and the lower the filling factor for a given electron density.

Landau-level quantization leads to a variety of effects in 2DES. At large fields—typically several tesla—the resistance is dominated by the QHE: At fields corresponding to filled Landau levels, that is, integer values of v, the longitudinal resistance Rxx —measured in the direction of the applied current—goes to 0 while the transverse or Hall resistance Rxy shows plateaus at h/ve 2. And in clean samples, Hall plateaus are also found at fractional values of v. Meanwhile, at lower magnetic fields (corresponding to higher filling factors), so-called Shubnikov–de Haas (SdH) oscillations appear in the resistance as the field-dependent Landau-level energies pass through the Fermi energy of the 2DES.

The QHE and SdH oscillations are well understood and are essentially DC effects. The first report of microwave-induced features was made by Zudov and Du, using samples supplied by Jerry Simmons and John Reno (Sandia National Laboratories). 3 Peide Ye (now at Agere Systems) and colleagues subsequently saw similar features. 4 Those two early experiments saw radiation-induced oscillations in the resistance at low magnetic fields, below the onset of SdH oscillations. In those experiments, though, the microwave response did not reach zero resistance.

The strength of the induced behavior appears to depend on the electron mobility, a measure of how “clean” the sample is. In the earlier experiments, the mobility was about 3 × 106 cm2/Vs—considered quite a high value. Continuing improvements in sample quality have made the new work possible: The sample made by Vladimir Umansky (Weizmann Institute of Science) for Mani and coworkers had a mobility five times higher, and the sample by Loren Pfeiffer and Ken West (Lucent Technologies’ Bell Labs) for the Utah team had a mobility more than eight times higher.

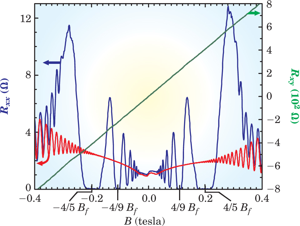
Figure 1 illustrates the effect of microwave irradiation on the low-field resistance, as measured by Mani and colleagues at the Max Planck Institute for Solid-State Physics in Stuttgart, Germany, on a GaAs/AlGaAs heterostructure illuminated at 103 GHz. Without microwaves, the resistance is essentially featureless for magnetic fields below the onset of SdH oscillations (here at about 0.2 T). But when microwaves are applied, dramatic oscillations in the resistance appear, with regions of resistance that are zero to within experimental accuracy.

PTO.v56.i4.24_1.f1.jpg

Figure 1. Resistance of a two-dimensional electron system with very high mobility under microwave irradiation. Shubnikov-de Haas oscillations are seen in the longitudinal resistance RXX for fields above 0.2 T. Below that, RXX without microwaves (red) is featureless; with microwaves, RXX oscillates dramatically (purple), although the transverse Hall resistance RXY (green) remains essentially unaffected. The positions of the resistance minima are proportional to Bf = ωm*/e, where ω is the microwave frequency and m* is the effective electron mass.

(Adapted from ref. 1.)

View larger

Probing the effect

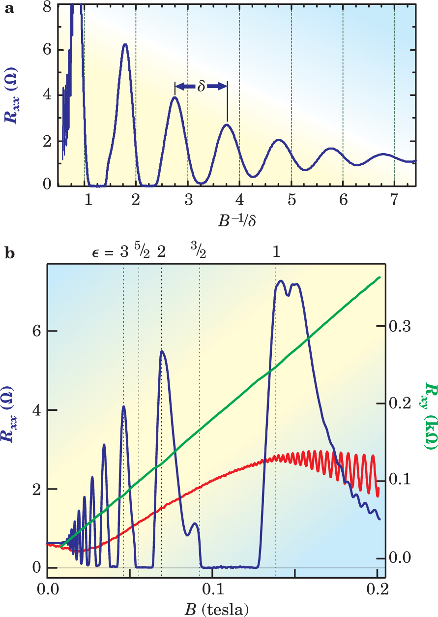
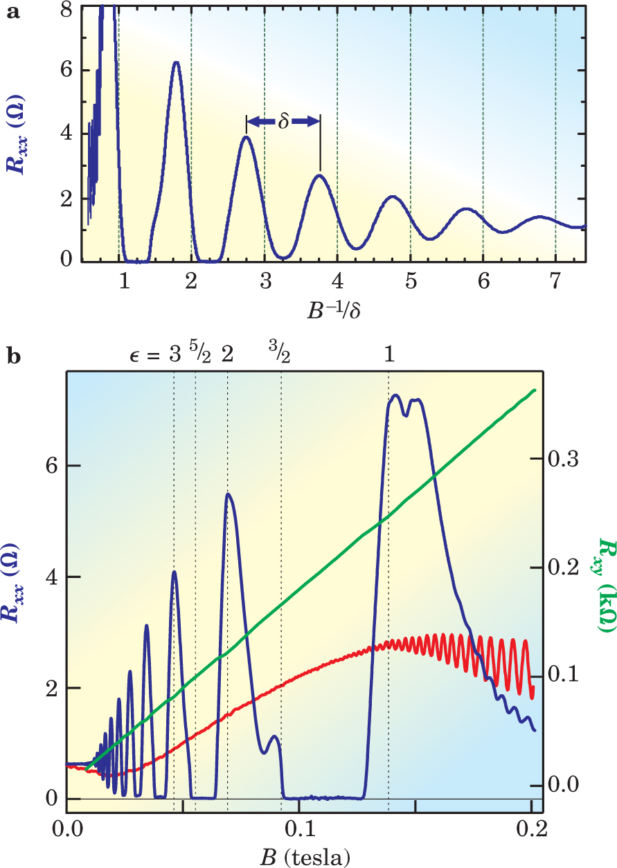
When the resistance is plotted in terms of inverse field (or, alternatively, inverse cyclotron frequency), the oscillations are regularly spaced, as shown in figure 2, with a period set by the microwave frequency. Much attention has been paid to the phase of the oscillations. In their early experiments, Zudov and Du and also Ye and colleagues found that, for microwaves of frequency ω, the oscillations periodic with maxima at ε = ω/ωc = j and minima at ε = j + 1/2, for j an integer. Mani and company also saw regular oscillations, but with a “1/4-cycle phase shift”: The maxima occurred at ε = j − 1/4 and the minima at j + 1/4. In the recent Utah experiments, Zudov and Du again find the maxima at ε = j, but they observe the minima below ε = j + 1/2.

PTO.v56.i4.24_1.f2.jpg

Figure 2. Microwave-induced oscillations in the resistance are periodic in 1/B, where B is the applied magnetic field. (a) Experimenters at Harvard University and the Max Planck Institute for Solid State Physics find the period δ agrees with Bf −1 (as defined in figure 1) to within experimental error. The maxima are found at ɛ B f / B = j + 1 / 4 an integer; the minima, at j 1 / 4 . (b) Researchers at the University of Utah find that the maxima in the microwave response (purple) occur at integer ratios of ε, while the minima are centered below ratios of j + 1/2. The red curve is the resistance without microwaves, and the green curve is the transverse Hall resistance.

((a) Adapted from ref. 1.)

View larger

Both the Harvard-Stuttgart group and the Utah group have studied the various dependencies of the resistance. Oscillations were observed at all microwave frequencies they examined, from 27 GHz through 150 GHz. And at the American Physical Society’s March meeting in Austin, Texas, Robert Willett (Bell Labs) reported observing oscillations at frequencies down to 3 GHz. The resistance is independent of the bias current applied to the 2DES, and the oscillations grow in amplitude as the microwave power is increased.

The more interesting dependence is that on temperature. Figure 3 shows the temperature dependence of the oscillations, as measured by Zudov and Du for a GaAs/AlGaAs quantum well sample irradiated at 57 GHz. The behavior of the resistance minima resembles that of the QHE: an activated temperature dependence of the form exp(-E A/k B T), where k B is Boltzmann’s constant. Surprisingly, the activation energies E A observed by both groups are very high: The Harvard-Stuttgart group found E A/k B up to 10 K and the Utah group up to 20 K—almost an order of magnitude larger than the Landau-level spacing or the microwave photon energy. For fixed microwave frequency, both groups find a roughly linear relationship between the activation energy and the magnetic field at which the minima occur.

PTO.v56.i4.24_1.f3.jpg

Figure 3. Activated behavior is seen in the temperature dependence of the microwave-induced vanishing resistance. When plotted on a logarithmic scale against inverse temperature, the normalized resistance minima (red) for the first four oscillations show a thermally activated dependence of the form exp(−E A/k B T), where k B is Boltzmann’s constant. The activation energies are surprisingly large, up to an order of magnitude higher than any other energy scale in the system. The resistance maxima are plotted in blue.

(Adapted from ref. 2.)

View larger

Some researchers have questioned whether the resistance is truly zero in the microwave-irradiated samples. At the March meeting, Willett reported measuring negative, not zero, voltages between some electrodes placed around the edges of his samples.

Theorists chime in

Word of the observations of vanishing resistance spread quickly, and many theorists began trying to understand the origins of the behavior. The arXiv.org e-print server has been functioning as a clearinghouse of ideas over the past several months. A complete understanding, though, has yet to emerge.

Adam Durst and colleagues (Yale University) calculated 5 that scattering of electrons excited by microwave absorption to higher Landau levels could lead to unusual behavior, including negative resistivity, when ε = j + 1/4. (Such a mechanism for negative photoconductivity was actually put forward decades ago by Victor Ryzhii, now at the University of Aizu in Japan. 6 ) Philip Anderson and William Brinkman (Princeton University) presented arguments leading to similar conclusions, 7 and the calculation was reformulated by Junrin Shi (Oak Ridge National Laboratory) and Xincheng Xie (Oklahoma State University). 8

As illustrated in figure 4, a voltage bias applied to the 2DES will produce a spatial gradient in the Landau-level energy. An electron can absorb a microwave photon whose energy is a multiple of the Landau-level spacing, and the electron will stay in the same place. If the photon energy is off-resonance, energy can be conserved if impurities or other imperfections in the 2DES scatter the electron laterally. The “upstream” or “downstream” motion will reduce or increase the conductivity of the sample. If scattering events are frequent enough, the conductivity could be driven to zero or even to negative values when the microwave frequency is above a multiple of the cyclotron frequency. (In 2DES, if the transverse Hall conductivity dominates the DC response, the longitudinal resistance is actually proportional to the longitudinal conductance.) A similar effect has been observed in a different system: James Allen (University of California, Santa Barbara) and colleagues found zero and negative conductance when driving periodic semiconductor superlattices with intense terahertz radiation. 9

PTO.v56.i4.24_1.f4.jpg

Figure 4. Impurity scattering is one explanation being proposed for the microwave-induced behavior. In a two-dimensional electron system, an applied voltage V will give a spatial tilt to Landau-level energies (blue). Microwaves of frequency ω can excite an electron to a higher Landau level. If the photon energy is slightly higher than an integral multiple of the level spacing ħω c, energy can still be conserved if the electron scatters laterally in the “upstream” direction. Such scattering would reduce the conductivity and could drive it to zero or even to negative values.

(Adapted from ref. 5.)

View larger

The Yale group’s calculations using a simplified model for the impurity potential reproduce not only the period of the observed resistance oscillation, but also the phase found by Mani and company. An explicit connection between the calculations and the observed zero resistance was put forward by Anton Andreev (University of Colorado) and colleagues at Columbia University, 10 who noted that a negative conductivity makes the 2DES unstable (a point also made by Anderson and Brinkman 7 and by Anatoly Volkov of the University of Bochum, Germany 11 ). Andreev and coworkers showed that this instability causes the system to develop a domain structure with an inhomogeneous current pattern, for which the measured resistance would be zero. Andreev notes that the resistance oscillations indeed look like they could have swung negative but have instead been truncated at 0. Willett’s observation of negative voltages may lend support to the idea of inhomogeneous current flow.

Other explanations have also been proposed. James Phillips (Rutgers University) has associated the vanishing resistance with sliding charge-density waves and open orbits. 12 Alexei Koulakov and Mikhail Raikh (Utah) have suggested that the behavior is due to a nonquadratic dependence of the electron energy on the momentum. 13 And Sergey Mikhailov (Stuttgart) attributes the behavior to microwave excitations of electron states around the edge of the 2DES. 14 He suggests that a combination of bulk and edge responses could account for the different phases observed for the resistance oscillations and for the temperature dependence. It could also reconcile the new experimental results with earlier experiments on less clean samples that, instead of oscillations, showed peaks in the resistance corresponding to the excitation of plasma waves in the sample.

References

  1. 1. R. G. Mani, J. H. Smet, K. von Klitzing, V. Narayanamurti, W. B. Johnson, V. Umansky, Nature 420, 646 (2002); http://arXiv.org/abs/cond-mat/0303034 https://doi.org/10.1038/nature01277 .

  2. 2. M. A. Zudov, R. R. Du, L. N. Pfeiffer, K. W. West, http://arXiv.org/abs/cond-mat/0210034 ; Phys. Rev. Lett. 90, 046807 (2003) https://doi.org/10.1103/PhysRevLett.90.046807 .

  3. 3. M. A. Zudov, R. R. Du, J. A. Simmons, J. L. Reno, http://arXiv.org/abs/cond-mat/9711149 ; Phys. Rev. B. 64, 201311 (2001) https://doi.org/10.1103/PhysRevB.64.201311 .

  4. 4. P. D. Ye, L. W. Engel, D. C. Tsui, J. A. Simmons, J. R. Wendt, G. A. Vawter, J. L. Reno, Appl. Phys. Lett. 79, 2193 (2001) https://doi.org/10.1063/1.1408910 .

  5. 5. A. C. Durst, S. Sachdev, N. Read, S. M. Girvin, http://arXiv.org/abs/cond-mat/0301569 .

  6. 6. V. I. Ryzhii, R. A. Suris, B. S. Shchamkhalova, Sov. Phys. Semi-cond. 20, 1299 (1986)
    V. I. Ryzhii, Sov. Phys. Solid State 11, 2078 (1970).

  7. 7. P. W. Anderson, W. F. Brinkman, http://arXiv.org/abs/cond-mat/0302129 .

  8. 8. J. Shi, X. C. Xie, http://arXiv.org/abs/cond-mat/0302393 ; cond-mat/0303141.

  9. 9. See, for example, B. J. Keay et al., Phys. Rev. Lett. 75, 4102 (1995) https://doi.org/10.1103/PhysRevLett.75.4102 .

  10. 10. A. V. Andreev, I. L. Aleiner, A. J. Millis, http://arXiv.org/abs/cond-mat/0302063 .

  11. 11. A. Volkov, http://arXiv.org/abs/cond-mat/0302615 .

  12. 12. J. C. Phillips, http://arXiv.org/abs/cond-mat/0212416 ; cond-mat/0303181.

  13. 13. A. A. Koulakov, M. E. Raikh, http://arXiv.org/abs/cond-mat/0302465 .

  14. 14. S. A. Mikhailov, http://arXiv.org/abs/cond-mat/0303130 .

More about the authors

Richard J. Fitzgerald, rfitzger@aip.org

Related content
/
Article
The finding that the Saturnian moon may host layers of icy slush instead of a global ocean could change how planetary scientists think about other icy moons as well.
/
Article
/
Article
After a foray into international health and social welfare, she returned to the physical sciences. She is currently at the Moore Foundation.
/
Article
Modeling the shapes of tree branches, neurons, and blood vessels is a thorny problem, but researchers have just discovered that much of the math has already been done.
This Content Appeared In
pt-cover_2003_04.jpeg

Volume 56, Number 4

Get PT in your inbox

pt_newsletter_card_blue.png
PT The Week in Physics

A collection of PT's content from the previous week delivered every Monday.

pt_newsletter_card_darkblue.png
PT New Issue Alert

Be notified about the new issue with links to highlights and the full TOC.

pt_newsletter_card_pink.png
PT Webinars & White Papers

The latest webinars, white papers and other informational resources.

By signing up you agree to allow AIP to send you email newsletters. You further agree to our privacy policy and terms of service.