Discover
/
Article

Intriguing Properties Put Sodium Cobalt Oxide in the Spotlight

AUG 01, 2003
The compound is a good thermoelectric material. In hydrated form, it superconducts. And its structure is a theorist’s dream.

Since the discovery 17 years ago of high-temperature superconductivity in such copper oxides as lanthanum strontium copper oxide, researchers have been taking a close look at related materials. If the copper oxides could surprise us in this way, they asked, what phenomena might lurk in other unexplored materials? Sodium cobalt oxide (Na x CoO2) has some answers.

First, this compound, which conducts like a conventional metal, performs much better than a metal as a thermoelectric material 1 —a material in which the flow of heat induces a flow of electricity, and vice versa. Next, a form of this transition-metal oxide with water molecules incorporated into its structure was recently found 2 to go superconducting below 5 K. Additional experimental and theoretical results now appear nearly daily on the e-print archive.

Most of the behavior seen so far suggests strong correlations between the electrons; it’s inconsistent with the conventional Fermi-liquid picture, in which electrons are assumed to be relatively independent of one another. The sodium cobalt oxide system is thus one more intriguing playground for exploring the impact of strong correlations on electronic behavior in solids. (See the article by Yoshinori Tokura in Physics Today, July 2003, page 50 .)

Structurally, Na x CoO2 is very similar to the high-critical temperature (T c) cuprates. In the stacked structure depicted in figure 1, Co and O atoms reside together in layers that alternate with layers of Na atoms, just as the copper—oxygen layers alternate with rare earth dopant layers in the cuprates. Charge is transported most readily within the two-dimensional plane of the Co—O layers. Furthermore, both Co and Cu atoms have a spin of 1/2. Such similarities have fueled speculation that the cobalt and copper oxides are governed by similar mechanisms of superconductivity.

PTO.v56.i8.15_1.f1.jpg

Figure 1. Structure of sodium cobalt oxide. At left, layers containing O (red) and Co atoms (blue) alternate with planes of Na atoms (yellow). After an oxidation process, water molecules (green) are intercalated between the Na and the Co—O layers.)

(Adapted from ref. 2.

View larger

One key structural difference is that the Cu atoms in the high-T c materials form a square lattice, whereas Co atoms in Na x CoO2 make up a triangular array. The triangular lattice is “cool,” exclaims experimentalist Robert Cava at Princeton University. “Theorists love it.” That’s because it’s the lattice for which Princeton’s Philip Anderson formulated his resonating valence bond (RVB) theory in the early 1970s. A number of theorists have tried to adapt that model to understand superconductivity on the square lattice of the cuprates. As Anderson comments, however, Na x CoO2 “is much more likely to show the true RVB behavior.”

Thermoelectric properties

Na xCoO2 was first synthesized in the 1970s, but its thermoelectric properties were found only six years ago by Ichiro Terasaki and his team at Japan’s Waseda University, using samples supplied by collaborators at Tokyo University. 1 For those samples, x was 0.5, but good thermoelectric behavior has been seen for x up to 0.75.

In metals and semiconductors, a charge current produced by an applied voltage leads to a heat current. Conversely, the heat current produced by a temperature gradient leads to a charge current. (See the article by Gerald Mahan, Brian Sales, and Jeff Sharp in Physics Today, March 1997, page 42 .)

Thermoelectric coolers exploit materials in which the ratio of the heat current to the charge current is very large. Experimenters determine this property by applying a thermal gradient to a sample and measuring the electric field caused by charge flow. The voltage per unit temperature difference between the ends of the sample is known as the thermopower, or Seebeck coefficient, S.

Materials used for thermoelectric cooling should have a large S. They should also have a low electrical resistivity, to allow the application of a large electrical current, and a low thermal conductivity, to hinder the flow of heat back to the sample. Gabriel Kotliar of Rutgers University notes that the big challenge is not just to make S larger but to reconcile in one material the often conflicting demands of high S, low resistivity, and low thermal conductivity.

Conventional metals have low resistivity, but unfortunately, they also have low values of S. That’s because a thermal gradient causes both electrons and holes to diffuse toward the cooler end. This flow doubles the heat current but leads to the near cancellation of the charge current.

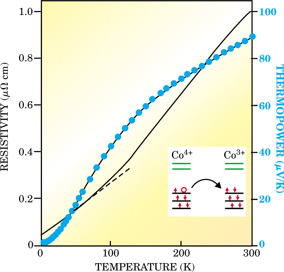
The resistivity of Na x CoO2 is as low as that of a metal, but its thermopower is ten times higher (see figure 2). At 1000 K, S approaches the values of the best-known thermoelectric materials. What gives Na xCoO2 this anomalously high thermopower? In most thermoelectric materials studied to date, the entropy transported by charge carriers derives from their kinetic entropy. The Waseda—Tokyo group speculated in 1997 that the high thermopower in Na x CoO2 might arise from spin fluctuations.

PTO.v56.i8.15_1.f2.jpg

Figure 2. Properties of sodium cobalt oxide, as a function of temperature. The resistivity (black curve) behaves like that of most metals, whereas the thermopower (blue) is much higher. (Inset) Energy levels occupied by the outer 3d electrons (red arrows) in Co4+ and Co3+ ions in Na x CoO2. Electrons donated by Na atoms change Co4+ ions to Co3+. A hole (open circle) can hop from one to the other, as sketched.

(Adapted from ref. 3.)

View larger

Three months ago, Yayu Wang, Nyrissa Rogado, Cava, and N. Phuan Ong of Princeton University showed experimentally 3 that the high thermopower in Na xCoO2 comes from the electronic spin entropy—the entropy associated with the oscillation of an electron between its two spin states. (Recall that the entropy of a system is related to the log of the system’s degeneracy.) In the 1970s, Paul Chaikin and Gerardo Beni 4 had predicted that spin entropy contributes to the thermopower in materials with strong electron—electron repulsion; they applied their arguments to a class of organic conductors.

To demonstrate the role played by spin entropy, the Princeton team measured the thermopower of Na 0.68CoO2 in the presence of a magnetic field. In a conventional metal, S is unaffected by a magnetic field. However, if S results from the electronic spin entropy, the thermopower should vanish when the field is strong enough to remove the spin degeneracy. That’s exactly what the experimenters found.

The demonstration that spin entropy can strongly enhance thermopower might help guide the search for more promising thermoelectric materials. Terasaki and his coworkers are among those seeking compounds with high spin and orbital entropy, although he notes that some transition-metal oxides with those properties were nevertheless found to be poor thermo-electrics. Researchers hope to make thermoelectric materials viable—and more environmentally friendly—alternatives to conventional technologies for such applications as refrigerators or voltage generators.

Cava, Ong, and their coworkers also found that the magnetic susceptibility of Na 0.68CoO2 was, in Ong’s words, “surprisingly high.” (Susceptibility is the ease with which a magnetic field can align the spins.) At 2 K, it’s 100 times larger than the susceptibility of ordinary metals. Moreover, the temperature dependence of the susceptibility can be described by the Curie—Weiss relationship, which is characteristic of materials in which the spins are localized. Unlike the spins in a conventional metal, which are tied to delocalized electrons, the spins in this material “seem to be sitting in one place and responding to the field,” explains Ong. The system is schizophrenic, having itinerant charges and localized spins.

Superconducting behavior

Sodium cobalt oxide attracted even more interest this past March when Kazunori Takada and his colleagues at the National Institute for Materials Science in Tsukuba, Japan, reported it to be superconducting. 2 The discovery was a bit serendipitous. Takada’s team had been working with individual layers of transition-metal oxides. To help separate the layers so they could be peeled off, the experimenters were intercalating various substances into the bulk structure. In one experiment, they intercalated water into Na 0.35CoO2 through an oxidation process.

Motivated by discussions with a colleague, Takada and his coworkers measured the magnetism of the water-intercalated Na x CoO2 in the faint hope of seeing superconductivity. They were surprised to see its susceptibility turn sharply negative just below 5 K, as seen in figure 3(a). Such strong diamagnetism—caused by the expulsion of magnetic flux by a supercurrent—is a classic signature of the onset of superconductivity. The resistivity of this material also drops precipitously below 5 K (see figure 3(b)).

PTO.v56.i8.15_1.f3.jpg

Figure 3. Superconductivity appears in Na0.35CoO2·1.3H2O below about 5 K. (a) Magnetic susceptibility drops precipitously there in the presence and absence of a magnetic field (open and filled circles, respectively). (b) Resistivity also falls steeply near 5 K.

(Adapted from ref. 2.)

View larger

The hydrated form of sodium cobalt oxide is written as Na xCoO2·yH2O. In the Tsukuba experiment, x ≈ 0.35 and y ≈ 1.3. As shown recently by Cava and colleagues from Princeton and Gdansk University, 5 Tc varies with the dopant level x of Na in the compound, rising to its highest value (T c = 5 K) near x = 0.3. A similar dependence of Tc on x is seen in the high-T c copper oxides.

The Tc for Na 0.3CoO2·yH2O is far below values of 100 K or more seen in the copper oxides, so no one is talking about practical applications. Still researchers hope that studies of this new compound will yield valuable clues to the mechanisms of superconductivity in the cuprates.

Does the superconductivity in hydrated sodium cobalt oxide result from the conventional phonon-mediated Bardeen-Cooper-Schrieffer (BCS) theory? In Na x CoO2, cobalt’s outer electrons occupy 3d orbitals; Takada notes that the few other 3d transition metal oxides that superconduct are understood essentially as BCS superconductors. Or do strong electron correlations make the cobalt compound behave more like the high-T c cuprates, in which the spins of the copper atoms, rather than the phonons, are thought to play a dominant role in Cooper pair formation?

A major clue to the mechanism of superconductivity is the symmetry of the Cooper-pair wavefunction. For BCS-like superconductors, electrons orbit one another with zero angular momentum (s-wave pairing). For the cuprates, electrons are paired in a d-wave state (with an angular momentum quantum number of 2). Strontium ruthenate, which bears some resemblance to Na xCoO2, has p-wave pairing.

A number of theorists lean toward a complex d-wave-type pairing, a prediction that emerges from Anderson’s RVB approach. 6 Others think the proximity to a ferromagnetic state suggests that p-wave pairing is involved. 7 Experimenters are reporting preliminary results but it’s too early for a consensus to develop.

Picture of cobalt atoms

Let’s look closer at the electronic structure of the Co atoms in Na x CoO2. When one has simply CoO2 without Na, each Co atom is in the Co4+ valence state; five electrons occupy the 3d orbitals, whose energy levels are sketched in figure 2. Only the outermost 3d electron is unpaired, and Co4+ has a spin of 1/2. When Na atoms are added to this compound, each contributes one electron, thereby changing Co4+ to a spinless Co3+ state.

The thermoelectric material, with x ≈ 0.7, has, on average, 30% Co4+ and 70% Co3+. To make the superconducting form, Takada and company managed to coax more Na atoms to leave the material and thereby decreased the doping to x ≈ 0.3. The lighter doping reverses the previous picture so that 70% of the sites are occupied by spins. As holes hop around, the spin-less Co3+ ions appear to move in a sea of Co4+ sites, effectively becoming charge carriers with no spin.

The CoO2 lattice is known as a Mott insulator—a structure in which each electron is localized on a single site by strong electron—electron interactions. The tendency for nearest neighbors to align their spins in the opposite directions is nearly frustrated by the triangular geometry. This Mott insulator is the starting point for Anderson’s RVB model. The resonating bond is the fluctuating singlet pairing of adjacent electrons.

One gets a superconducting state by doping the Mott insulator with Na atoms. If adding Na is equivalent to electron doping, what role is played by the water, which so far seems essential to achieving superconductivity? Experimenters are already trying to answer this question. Some theorists postulate that the water screens Co atoms from the strong Coulomb force of the Na atoms.

The hydrated form of Na x CoO2 has been available mostly as a powder and is readily dehydrated in air. A group at Oak Ridge National Laboratory has now shown that one can grow single crystals of the compound by conventional methods. 8 An MIT group recently developed an electrochemical technique that enables them to grow single crystals 9 and to have more precise control over the doping level x. With such improved samples, we can look forward to more definitive results.

References

  1. 1. I. Terasaki, Y. Sasago, K. Uchinokura, Phys. Rev. B 56, R12685 (1997) https://doi.org/10.1103/PhysRevB.56.R12685 .

  2. 2. K. Takada, H. Sakurai, E. Takayama-Muromachi, F. Izumi, R. A. Dilanian, T. Sasaki, Nature 422, 53 (2003) https://doi.org/10.1038/nature01450 .

  3. 3. Y. Wang, N. S. Rogado, R. J. Cava, N. P. Ong, Nature 423, 425 (2003) https://doi.org/10.1038/nature01639 .

  4. 4. P. M. Chaikin, G. Beni, Phys. Rev. B 13, 647 (1976) https://doi.org/10.1103/PhysRevB.13.647 .

  5. 5. R. E. Schaak, T. Klimczuk, M. L. Foo, R. J. Cava, http://www.arXiv.org/abs/cond-mat/0305450 .

  6. 6. See, for example, G. Baskaran, http://www.arXiv.org/abs/cond-mat/0303649 ;
    B. Kumar, B. S. Shastry, http://www.arXiv.org/abs/cond-mat/0304210 ;
    Q.-H. Wang, D.-H. Lee, P. A. Lee, http://www.arXiv.org/abs/cond-mat/0304377 .

  7. 7. See, for example, A. Tanaka, X. Hu, http://www.arXiv.org/abs/cond-mat/0304409 ;
    D. J. Singh, http://www.arXiv.org/abs/cond-mat/0304532 , to appear in Phys. Rev. B.

  8. 8. R. Jin, B. C. Sales, P. Khalifah, D. Mandrus, http://www.arXiv.org/abs/cond-mat/0306066 .

  9. 9. F. C. Chou, J. H. Cho, P. A. Lee, E. T. Abel, K. Matan, Y. S. Lee, http://www.arXiv.org/abs/cond-mat/0306659 .

Related content
/
Article
The finding that the Saturnian moon may host layers of icy slush instead of a global ocean could change how planetary scientists think about other icy moons as well.
/
Article
/
Article
After a foray into international health and social welfare, she returned to the physical sciences. She is currently at the Moore Foundation.
/
Article
Modeling the shapes of tree branches, neurons, and blood vessels is a thorny problem, but researchers have just discovered that much of the math has already been done.
This Content Appeared In
pt-cover_2003_08.jpeg

Volume 56, Number 8

Get PT in your inbox

pt_newsletter_card_blue.png
PT The Week in Physics

A collection of PT's content from the previous week delivered every Monday.

pt_newsletter_card_darkblue.png
PT New Issue Alert

Be notified about the new issue with links to highlights and the full TOC.

pt_newsletter_card_pink.png
PT Webinars & White Papers

The latest webinars, white papers and other informational resources.

By signing up you agree to allow AIP to send you email newsletters. You further agree to our privacy policy and terms of service.