Discover
/
Article

The relentless pursuit of hypersonic flight

NOV 01, 2017
How much new science will it take to design a vehicle that can routinely fly at many times the speed of sound?

DOI: 10.1063/PT.3.3762

PTO.v70.i11.30_1.d1.jpg
Ivett A. Leyva

In the early afternoon of Tuesday, 3 October 1967, a ramjet engine fell out of the southern California sky. Moments earlier, it had been attached to the underbelly of an experimental, rocket-propelled flight vehicle known as the X-15; NASA engineers grafted the dummy engine onto the X-15 to see how the added weight would affect the vehicle’s high-speed handling.

By then, X-15s had flown more than 100 test flights and had, on several occasions, reached speeds exceeding Mach 5, a commonly accepted threshold for hypersonic flight. That Tuesday, the plane’s pilot, William “Pete” Knight, pushed the aircraft to new extremes. After its release from a B-52 carrier above Mud Lake, Nevada, the vehicle climbed to the stratosphere and accelerated to more than 7000 km/h, or Mach 6.7—an X-15 speed record. In all, Knight’s trip from Mud Lake to Edwards Air Force Base, 500 km to the south, took less than ten minutes. 1

But by the time the vehicle approached Edwards, intense heating associated with shock waves around the vehicle had partially melted the pylon that attached the ramjet engine to the fuselage. 1 The engine tore loose and crashed into a bombing range below. Knight lived to fly another day, but the lesson was clear: The fluid mechanics of hypersonic flight are exceedingly complex, and the practical risks they pose are immense.

Half a century later, after extensive efforts that have cut across disciplines and involved organizations both public and private, researchers have made a lot of progress but still don’t completely understand the physics of hypersonic flight. Yet the dream retains its allure. Hypersonic aircraft could revolutionize the defense industry and, in time, would likely spur commercial applications similar to those emerging in the space-tourism industry. A hypersonic vehicle flying at six times the speed of sound could cruise the US from Los Angeles to Washington, DC, in about 30 minutes.

A discussion of all the technological impediments to hypersonic flight could fill volumes. To make such travel practical and routine, scientists and engineers will need to devise new approaches to propulsion, material design, and flight control and develop deeper understandings of fluid mechanics and other topics. This article focuses primarily on the fundamental fluid mechanics challenges. I describe the key scientific questions that need to be answered and the progress that’s been made so far.

Shock waves and chemistry

Any vehicle flying at greater than the speed of sound generates a leading shock wave at which air pressure, temperature, and density jump sharply. (See figure 1.) But at hypersonic speeds, the magnitudes of the jumps are often so extreme as to have profound thermodynamic consequences.

Figure 1.

PTO.v70.i11.30_1.f1.jpg

A shock wave emanating from the nose of a cone travelling at Mach 4 in a ballistic range shows up as a thin dark line in this Schlieren image; the sharp jump in density across the shock produces a steep refractive-index gradient, which in turn deflects transmitted light, thereby producing the contrast that we observe in the figure. Also visible are laminar and turbulent boundary layers and the wake. (Figure adapted from S. P. Schneider, Prog. Aerosp. Sci. 40, 1, 2004, doi:10.1016/j.paerosci.2003.11.001 .)

View larger

A useful quantity for characterizing the impact of a shock wave on a flow is the stagnation enthalpy, which represents the total thermal energy onrushing air molecules and atoms would attain if they slowed to a halt by way of a steady, adiabatic process. Stagnation enthalpy generally increases with the Mach number of a vehicle and—assuming a steady, adiabatic flow—is conserved across a shock. It reflects the fact that the airflow’s momentum upstream of a shock wave contributes to its thermal energy in the shock layer, the envelope of compressed air between the shock wave and the vehicle surface.

When the stagnation enthalpy exceeds about 5 MJ/kg, which for a vehicle flying at 30 km altitude corresponds roughly to Mach 10, the amount of energy deposited in the shock layer is so great that the air molecules’ internal energy modes—electronic, rovibrational, and so forth—equilibrate with the newly energetic environment at different time scales, which are comparable to the time scales of the flow. As a result, the air molecules can no longer be characterized by a single temperature.

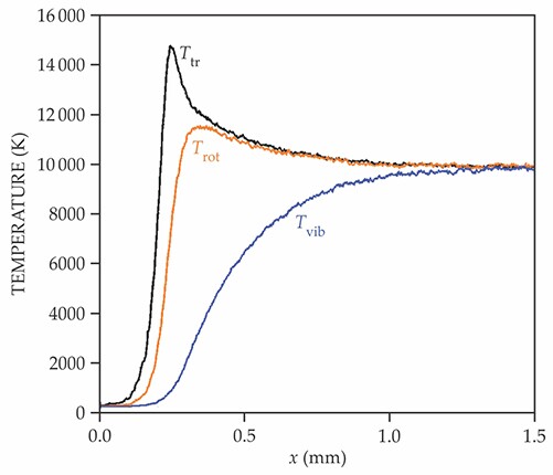
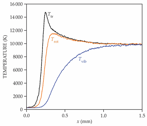
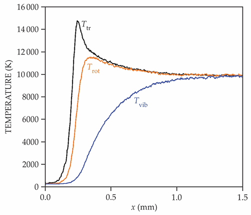
Figure 2 shows results from a simulation of a one-dimensional, normal shock wave at Mach 16 speed and 40 km altitude. The fluid upstream of the shock is molecular nitrogen and flows left to right in the figure. At low stagnation enthalpies, the translational, rotational, and vibrational temperatures would be identical everywhere downstream of the shock wave. But in the simulation, the translational temperature quickly peaks at about 15 000 K (more than twice the average temperature of the surface of the Sun), whereas the rotational and vibrational temperatures lag behind. Only after a small number of intermolecular collisions do the rotational modes thermally equilibrate with the kinetic energy of the molecules, and only after many more collisions do the vibrational modes follow suit. Real atmospheric flows, composed mostly of diatomic nitrogen and oxygen, are expected to behave similarly.

Figure 2.

PTO.v70.i11.30_1.f2.jpg

A simulation of a Mach 16 flow at 40 km altitude predicts a shock wave so energetic that the translational (Ttr), rotational (Trot), and vibrational (Tvib) temperatures of the nitrogen downstream of the shock are no longer defined by the same value. The various modes equilibrate over length scales comparable to the characteristic length scales of the flow; under hypersonic conditions, the shock layer, the region between the shock wave and the vehicle surface, may be just millimeters or centimeters thick. Here, the shock wavefront is located at x = 0, and the flow is from left to right. (Figure courtesy of Maninder Grover and Tom Schwartzentruber, University of Minnesota.)

View larger

The comparable time scales for thermal and fluid mechanical equilibration complicate the task of computing hypersonic flow fields. The gas in the shock layer is in a constantly evolving, nonequilibrium state. Some collisions, particularly those involving molecules in a high rovibrational state, may even result in dissociation. That can have important design consequences. Because atomic oxygen is much more reactive than molecular oxygen, dissociation can hasten the deterioration of thermal protection coatings—particularly those made of carbon–carbon composites.

One of the big unknowns in hypersonic aerodynamics is how the molecular processes of vibration, rotation, translation, and dissociation interact with each other. Until a few years ago, models of nonequilibrium interactions were based on empirical observation and intuition. 2,3 Recently, theoretical chemists have found success with potential energy surfaces (PESs), which describe the energy of a molecule or system of molecules as a function of the molecule’s geometry, including bond lengths and angles. 4 PESs are traditionally the purview of computational chemists, but fluid dynamicists are increasingly using them to rigorously account for vibration and rotation in calculations of dissociation rates. Recently, N2 dissociation rates computed with PES data were found to differ by up to an order of magnitude from those computed based on common empirical models. 5 The result served as a wake-up call—a stark example of the limitations of using empirical dissociation rates to describe flows with high stagnation enthalpy.

Turbulence rising

Although the entire shock layer around a hypersonic vehicle is marked by high temperatures and pressures, a large portion of the viscous drag and heating the vehicle experiences can be traced back to a thin region near the surface known as the boundary layer. (See the article by John D. Anderson Jr, Physics Today, December 2005, page 42 .) Across that layer, which can be just a few millimeters thick, the velocity of the air relative to the vehicle can plunge from thousands of meters per second to zero, at the surface.

Near the nose of the vehicle, the flow in the boundary layer is typically laminar—that is, it’s organized into streamlines nearly parallel to the vehicle’s surface. But by the time the flow reaches the vehicle’s rear, the boundary layer often will have transitioned to a chaotic, turbulent state. Understanding how and where that transition occurs is one of the long-standing problems in hypersonic aerodynamics.

We know that flow disturbances—minuscule fluctuations in pressure, density, or velocity—play a role. Regardless of whether they occur naturally in the atmosphere or are caused by designed or accidental surface roughness, disturbances can trigger instabilities that grow into turbulence. Curiously, the boundary layer acts like a selective filter to those disturbances: Only certain frequencies and wavelengths are sufficiently amplified to induce a laminar-to-turbulent transition.

The state of the boundary layer has a profound effect on drag and heating rates. Wind-tunnel experiments with cone-shaped models suggest that as the boundary layer transitions from laminar to turbulent, the heating rate can jump by as much as a factor of eight. (Cones have been used as a canonical shape in hypersonic wind tunnels for decades.) For most practical applications, the thermal protection required to safeguard the length of a vehicle against turbulent heating rates over the duration of a flight would render the vehicle too heavy to fly. So part of a designer’s task is to predict when and where on the vehicle a boundary layer will become turbulent. A 1988 report by the US Defense Science Board Task Force neatly summarizes the issue:

The largest uncertainty [in a hypersonic plane design] is the location of the point of transition from laminar to turbulent flow. Estimates range from 20% to 80% along the body span. That degree of uncertainty significantly affects the flow conditions at the engine inlet, aerodynamic heat transfer to the structure and skin friction. These in turn affect estimates of engine performance, structural heating and drag. The assumption made for the point of transition can affect the design vehicle gross take off weight by a factor of two or more. 6

To reduce that uncertainty, one must unravel the different mechanisms that contribute to boundary-layer transition and be able to predict the onset of transition for complex flow geometries. Figure 3 illustrates one particular transition mechanism in the boundary layer of a circular cone at Mach 10 conditions: the trapping of acoustic waves inside the boundary layer. 7 , 8 In the experimental image, known as a Schlieren image, the alternating light and dark regions correspond to well-defined acoustic waves, which lose their periodic nature as the flow within the boundary layer becomes turbulent.

Figure 3.

PTO.v70.i11.30_1.f3.jpg

Acoustic waves in the boundary layer of a Mach 10 flow along the surface of a 1.55-m-long circular cone are evidenced in this Schlieren image. Here, the flow is from left to right, and the image is taken roughly 1.3 m from the tip of the cone. (Image courtesy of Eric Marineau, Air Force Research Laboratory, and Stuart Laurence and Richard Kennedy, University of Maryland.)

View larger

Under realistic flight conditions, boundary-layer transition becomes far more complicated. Different transition mechanisms come into play depending on the Mach number, the vehicle shape, the angle of attack, and other factors. And the nature of the boundary layer changes during the course of a flight as the Mach number and angle of attack change, the thermal protective coating ablates, and panels deform under thermal and mechanical loads. Hypersonic boundary-layer transition continues to be an active area of basic research.

One might wonder whether a fully turbulent boundary layer would be simpler to model than a transitional one. The answer is a qualified no. The relevant governing equations for turbulent flow are myriad: conservation of mass, momentum, and energy; an equation of state relating pressure, temperature, and density; and equations for transport properties, including mass diffusivity, viscosity, and thermal conductivity. The most advanced computations can solve those equations at resolutions down to the smallest turbulent length scales. That’s a big feat; under conditions typical of hypersonic flight, the relevant length scales span many orders of magnitude. One such computation stressed available research computing resources by using more than 30 billion grid points and 102 000 cores to simulate a Mach 2.5 flow over the simplest of surfaces—a flat wall. 9

So, yes, researchers can accurately model fully turbulent flow. But until we vastly improve the speed and availability of supercomputers, optimize codes for massively parallel computations, find clever new ways to interrogate and postprocess terabytes of computational data, and develop more efficient algorithms to solve the governing equations, those computations will be impractical for all but the simplest geometries. Meanwhile, applied math techniques such as resolvent analysis 10 and analytical methods that find exact coherent solutions of simplified computational domains 11 have produced new insights into incompressible turbulence and promise to shed light on turbulence at hypersonic conditions.

Interacting shocks and boundary layers

So far we’ve focused on simple cone models to illustrate the key fluid mechanical phenomena at play in hypersonic flight. But real aircraft are geometrically complicated, with wings that jut and control surfaces that move. Such shape discontinuities introduce what are among the most complex phenomena in hypersonic flight: interactions between shocks and boundary layers.

Consider the example, shown in figure 4, of a double cone—more slender near the nose than at the base—in a Mach 6.6 wind-tunnel flow of N2. The stagnation enthalpy, 8.4 MJ/kg, is high enough for nonequilibrium effects to be important. The high-speed flow generates an oblique shock at the nose and a bow shock where the flow encounters the wide base. Just upstream of the junction of the slender and wide parts of the cone, the two shocks intersect. A high-pressure region results that disturbs the boundary layer upstream of the junction, giving rise to what’s known as separated flow: The boundary layer detaches from the cone’s surface, creating a pocket of fluid known as a separation zone, where pressure and heating loads can fluctuate at kilohertz frequencies. Downstream of the shocks’ intersection, a shear layer forms as the air processed by the bow and oblique shocks mixes. The region where that shear layer impinges on the surface is where heating rates are highest.

Figure 4.

PTO.v70.i11.30_1.f4.jpg

A Schlieren image of a Mach 6.6 flow past a double cone reveals a complicated system of interacting shock waves and boundary layers. The oblique shock generated by the slender nose intersects the bow shock generated by the wider base and causes the boundary layer to separate from the cone surface. The mixing of the fluid processed by the two shocks gives rise to a shear layer. Maximum heating rates occur where the shear layer impinges on the surface. (Figure adapted from ref. 17, courtesy of Andrew Knisely and Joanna Austin, Caltech.)

View larger

The double-cone example illustrates why it’s so difficult to predict the mean values and fluctuations of heating rates and pressure in flows with shock wave–boundary layer interactions. Imagine now that instead of a double cone we have a surface with control flaps that can be raised and lowered to adjust the vehicle’s pitch. A designer would have to carefully consider the complex thermal and mechanical loads imposed by hypersonic flow to ensure a robust control system.

The vicious cycle

In designing a hypersonic vehicle, one must account for the feedback between the airflow and the structures that make up the vehicle. As Ravi Chona, an expert in the field, once shared in a personal communication, “The structure that takes off is not the same structure that lands.” The airflow at hypersonic speeds is often strong enough to deform a vehicle’s surface panels, and those deformations—even if they are on the order of millimeters or less—can affect the development of the boundary layer.

The double-cone flow in figure 4 could easily develop such a two-way feedback if, say, the frequencies of the pressure fluctuations in the separation zone are close to the frequencies of a deformation mode of the corresponding surface. At best, that unstable situation would shorten the life of the structure; at worst, it could cause the structure to fail midflight.

Absent such frequency matching, the thermal and pressure loads imposed on a structure can still diminish a vehicle’s life expectancy and affect its aerodynamic properties, so they must be accurately predicted, especially for the design of reusable aircraft. Even in a fully turbulent boundary layer, pressure and temperature fluctuations can deform the panels and give rise to shock waves and flow-field expansions that exacerbate temperature and pressure gradients. All those phenomena work to reduce the life of the vehicle. 12

The designer who seeks to mitigate flow–structure feedbacks faces a trade-off. Feedbacks tend to be strongest in lighter vehicles with lighter panels, much the way flutter in conventional, subsonic planes is strongest in planes with lighter wings. But a bulky, heavy vehicle would likely run up against performance constraints and engineering limitations that would prevent it from engaging in routine hypersonic flight.

The study of flow–structure feedback is gaining momentum as a multidisciplinary field in hypersonics. Sophisticated high-fidelity flow–structure simulations are being developed in parallel with computationally cheaper, reduced-order modeling techniques. Both approaches are being paired with creative validation experiments that push the limits of our abilities to detect and measure panel deflections and forces imposed by high-speed wind-tunnel flows. 13

Diagnostics and ground testing

Because hypersonic test flights are exceedingly expensive, most of our empirical knowledge and intuition comes from ground tests at wind-tunnel facilities. No single facility is equipped to simulate all the key physical variables for hypersonic flight, so instead the research community relies on various facilities that individually probe different aspects of high-speed flight.

Only a handful of wind tunnels in the world—and even fewer in academia—can reproduce the high stagnation enthalpies typical of hypersonic flight. (One of them, Caltech’s T5 Hypervelocity Shock Tunnel, was used to capture the image in figure 4.) The test times in those facilities are typically on the order of a millisecond. That’s because the flows are generated by expanding dense gas from a reservoir through a nozzle, and to achieve a realistic air temperature downstream of the nozzle, the temperature in the reservoir must be extremely high—hot enough to start melting most metals in milliseconds. Also, the power necessary to produce high-enthalpy flows with cross-sectional areas large enough to accommodate reasonably sized models can typically be sustained for only a few milliseconds at a time.

Luckily, most hypersonic flows take less than a millisecond to settle around a typical test model and form a more or less steady shock-wave system. Megahertz-frequency cameras, temperature transducers, and pressure transducers and other high-speed instrumentation can capture useful data in that time. And nitric oxide emissions can be measured to study the chemical changes in the shock layer.

Conventional wind tunnels can sustain high Mach numbers for much longer times but with lower stagnation enthalpies. Some of those tunnels can be run in continuous mode, though an enormous infrastructure is required to achieve the feat. Conventional wind tunnels are invaluable for characterizing complex phenomena such as turbulent flows, whose characteristic length and time scales can only be determined from statistics accumulated over relatively long observation times. The tunnels are also critical for gathering classical aerodynamic data such as forces and moments. In some experiments, test models are coated with temperature- and pressure-sensitive paint to obtain spatially continuous measurements.

Even if one could combine the realistic thermal conditions of a high-enthalpy wind tunnel with the long observation times of a conventional wind tunnel, there remains the challenge of replicating natural atmospheric disturbance patterns. So-called quiet tunnels, specialized to produce low-disturbance flow streams, approximate those relatively calm conditions. Quiet tunnels are singly equipped to probe the intricacies of the boundary-layer transition mechanisms. Test times in those facilities are typically on the order of a few seconds. 14 Comparisons between data gathered in quiet tunnels and those gathered under similar conditions at other facilities help to distill the influence of facilities’ unique disturbance patterns on transition mechanisms.

Re-creating the atmosphere

Although various wind tunnels allow us to study models under a wide range of free-stream disturbance conditions, we don’t precisely know how those disturbances compare with true atmospheric conditions. Accurate data on the type, amplitude, frequency, and probabilities of atmospheric disturbances would set the stage for a giant leap forward in computational fluid dynamics. The computational framework for high-accuracy simulations of disturbance growth and propagation already exists—the simulations just need the right initial inputs.

The task, however, is easier said than done. The wavelengths and amplitudes of disturbances relevant to hypersonic flow can be incredibly small. For example, ground tests 14 suggest that in a hypersonic flow past a circular cone oriented at zero angle of attack, the frequencies of interest for boundary-layer transition range from 102–103 kHz. For a vehicle flying at Mach 6 speed and at altitudes where the temperature is between 220 K and 250 K, those frequencies correspond to wavelengths in the millimeter to centimeter range—much smaller than the kilometer length scales studied in weather research.

Little research has been done to measure small-scale atmospheric disturbances, and new instruments are being developed to measure subcentimeter fluctuations in pressure, density, and temperature. 15 Measuring the amplitudes of those fluctuations is also challenging. Recent measurements at Purdue University’s quiet hypersonic tunnel 14 suggest that the amplitudes of the relevant atmospheric pressure fluctuations relative to the mean are probably around 0.05% or smaller. Detecting such tiny fluctuations will call for inventive new measurement techniques.

After scientists obtain local measurements of atmospheric fluctuations, they will need to interface those results with regional and global atmospheric models to construct models that are applicable beyond just the location where the data were gathered. Multidisciplinary teams consisting of atmospheric scientists, high-speed fluid dynamicists, statisticians, and instrumentation experts will need to be assembled to accomplish that feat.

The ablation problem

Another multidisciplinary problem in hypersonic flight is understanding ablation—the gradual wearing off or disintegration of the materials exposed to the vehicle’s hottest surfaces. I’m often asked why we should bother to study ablation, when for decades NASA successfully returned Apollo capsules and space shuttles to Earth at hypersonic speeds. Don’t we know all we need to know?

If you consider that those spacecraft crossed the atmosphere in minutes but that a hypersonic aircraft might travel through the atmosphere for many times that long, you can start to appreciate why the thermal protection requirements for hypersonic vehicles are so much more demanding. The materials that work beautifully for NASA’s missions don’t seem to meet the needs of extended hypersonic flight.

To predict ablation, materials scientists need to know the temperature, pressure, density, and dissociation rates of the gas in the shock layer; what species the protective coating, or ablator, decomposes into when it contacts gas from the shock layer; and how those species evolve as they continue to mix and react with the surrounding gas. In the past five years, scientific understanding of the ablation of carbon materials—including carbon–carbon composites being considered for thermal protection systems—has progressed in leaps and bounds.

Figure 5 provides a case in point. It shows the actual microstructure of an ablated carbon sample, reconstructed using x-ray tomography. The flow around the microstructure was computed via direct simulation Monte Carlo methods, which can be used to model rarified and near-rarified flows. The technique was needed in this case because the flow’s mean free path was on the order of the fiber dimensions. 16 Just 10 years ago, no one could have imagined being able to produce such an image. The capability opens new paths to understanding how flow interacts with ablated and ablating materials.

Figure 5.

PTO.v70.i11.30_1.f5.jpg

A detailed image of the carbon fibers in a sample of a thermal protective material, reconstructed using x-ray tomography. The sample shows significant ablation due to exposure to high-temperature flows. The green planes show the simulated velocity u (see color key) and streamlines (black) of an oxygen flow through the ablated sample, computed using direct simulation Monte Carlo methods. (Figure courtesy of Eric Stern and Tom Schwartzentruber, University of Minnesota.)

View larger

In hot pursuit

It’s been almost 50 years since NASA ended its pioneering X-15 program, one year after Pete Knight’s record-setting Mach 6.7 flight. Since then, the pursuit of hypersonic flight has continued around the globe. Due in large part to computations and experiments, researchers now understand high-speed flight far better than they did in the 1960s when scientists and engineers started bringing reentry capsules back to Earth. There has been steady progress in creating new classes of numerical solvers and experiments—often in concert with improvements in ground test facilities, diagnostics, and supercomputing capabilities—that allow us to more accurately probe and compute the flow around objects traveling at hypersonic speeds.

PTO.v70.i11.30_1.f6.jpg

W. S. PHILLIPS

View larger

The effort has been, and will continue to be, an interdisciplinary one. Collaborations with atmospheric scientists, materials engineers, computational chemists, applied mathematicians, and structural engineers will be critical to formulating the right questions and finding their answers. Scientists and engineers will likely need to invent yet new types of experiments, facilities, diagnostics, and instruments to solve the scientific challenges listed here—and new challenges we are bound to discover. But the obstacles are surmountable. There is every reason to believe that the arrival of the era of routine hypersonic flight is only a matter of time.

The author thanks all the people who provided figures. The opinions herein are those of the author and do not represent the opinions of the US Air Force.

References

  1. 1. M. O. Thompson, At the Edge of Space: The X-15 Flight Program, Smithsonian Books (2003).

  2. 2. L. Landau, E. Teller, in Collected Papers of L. D. Landau, D. ter Haar, ed., Pergamon Press (1965), p. 147.

  3. 3. C. Park, Nonequilibrium Hypersonic Aerodynamics, Wiley (1990).

  4. 4. Y. Paukku et al., J. Chem. Phys. 139, 044309 (2013). https://doi.org/10.1063/1.4811653

  5. 5. J. D. Bender et al., J. Chem. Phys. 143, 054304 (2015). https://doi.org/10.1063/1.4927571

  6. 6. Defense Science Board Task Force, Report of the Defense Science Board Task Force on the National Aerospace Plane (NASP), Defense Science Board (September 1988), p. 9.

  7. 7. L. M. Mack, in Special Course on Stability and Transition of Laminar Flow, NATO, Advisory Group for Aerospace Research and Development (June 1984), p. 3-1, www.dtic.mil/docs/citations/ADA147243 .

  8. 8. A. V. Fedorov et al., AIAA J. 39, 605 (2001). https://doi.org/10.2514/2.1382

  9. 9. J. Poggie, N. J. Bisek, R. Gosse, Comput. Fluids 120, 57 (2015). https://doi.org/10.1016/j.compfluid.2015.07.015

  10. 10. B. J. McKeon, A. S. Sharma, J. Fluid Mech. 658, 336 (2010). https://doi.org/10.1017/S002211201000176X

  11. 11. J. S. Park, M. D. Graham, J. Fluid Mech. 782, 430 (2015). https://doi.org/10.1017/jfm.2015.554

  12. 12. C. M. Ostoich, D. J. Bodony, P. H. Geubelle, Phys. Fluids 25, 110806 (2013). https://doi.org/10.1063/1.4819350

  13. 13. J. J. McNamara, P. P. Friedmann, AIAA J. 49, 1089 (2011). https://doi.org/10.2514/1.J050882

  14. 14. K. M. Casper et al., AIAA J. 54, 1250 (2016). https://doi.org/10.2514/1.J054033

  15. 15. A. Haack, M. Gerding, F.-J. Lübken, J. Geophys. Res. Atmos. 119, 10,605 (2014). https://doi.org/10.1002/2013JD021008

  16. 16. E. Stern et al., “Microscale simulations of porous TPS materials: ablating microstructures and micro-tomography,” paper presented at the 53rd AIAA Aerospace Sciences Meeting, 5–9 January 2015.

  17. 17. A. M. Knisely, J. M. Austin, “Geometry and test-time effects on hypervelocity shock–boundary layer interaction,” paper presented at the 54th AIAA Aerospace Sciences Meeting, 4–8 January 2016.

More about the Authors

Ivett Leyva is the program officer for high-speed aerodynamics at the Air Force Office of Scientific Research in Arlington, Virginia.

This Content Appeared In
pt_cover1117_no_label.jpg

Volume 70, Number 11

Related content
/
Article
Technical knowledge and skills are only some of the considerations that managers have when hiring physical scientists. Soft skills, in particular communication, are also high on the list.
/
Article
Professional societies can foster a sense of belonging and offer early-career scientists opportunities to give back to their community.
/
Article
Research exchanges between US and Soviet scientists during the second half of the 20th century may be instructive for navigating today’s debates on scientific collaboration.
/
Article
The Eisenhower administration dismissed the director of the National Bureau of Standards in 1953. Suspecting political interference with the agency’s research, scientists fought back—and won.
/
Article
Alternative undergraduate physics courses expand access to students and address socioeconomic barriers that prevent many of them from entering physics and engineering fields. The courses also help all students develop quantitative skills.
/
Article
Defying the often-perceived incompatibility between the two subjects, some physicists are using poetry to communicate science and to explore the human side of their work.

Get PT in your inbox

Physics Today - The Week in Physics

The Week in Physics" is likely a reference to the regular updates or summaries of new physics research, such as those found in publications like Physics Today from AIP Publishing or on news aggregators like Phys.org.

Physics Today - Table of Contents
Physics Today - Whitepapers & Webinars
By signing up you agree to allow AIP to send you email newsletters. You further agree to our privacy policy and terms of service.