Discover
/
Article

Hypervelocity stars in the Milky Way

JUN 01, 2016
Shooting out of the galaxy at speeds greater than the escape velocity, hypervelocity stars provide a window on black holes and the distribution of dark matter surrounding the glowing Milky Way.
PTO.v69.i6.52_1.d1.jpg
Warren R. Brown

Because gravity keeps stars on their orbits, astronomers can use the motions of stars to infer the mass distribution of the visible and invisible constituents of the Milky Way. The Milky Way is the only galaxy whose visible mass distribution we can see in three dimensions and in which we can accurately measure the velocities of millions of individual stars. Gravitational accelerations in the galaxy are usually small, however. Our sun, for instance, experiences a gravitational acceleration of just 2 Å/s2 as it orbits the Milky Way. That’s 10−11 of what we experience on Earth’s surface. It’s also the gravitational- acceleration regime of dark matter—the unseen material inferred to exist in and around galaxies.

Some of the initial evidence for dark matter came in 1932 after Dutch astronomer Jan Oort developed the first modern theory of stellar motions. 1 Oort compared the velocity dispersion of stars near the Sun with their number density and inferred the existence of more mass than could be accounted for by the visible stars. In more recent times, radio astronomers have measured the rotation speeds of gas—specifically neutral hydrogen—in the outer parts of the Milky Way and other disk galaxies with much higher accuracy than could be done in Oort’s era. Intriguingly, they found that rotation speeds do not decline with increasing distance outward but stay constant. To keep galaxies like the Milky Way bound together requires the gravitational pull of dark matter, if not a modified theory of gravity.

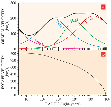
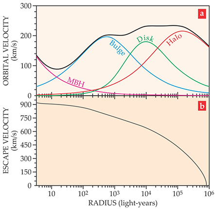
In the Milky Way, most stars move in roughly circular orbits inside a disk with a radius of 60 000 light-years. The galaxy also has a central elliptical “bulge,” about 6000 light-years in radius and more tightly packed with stars, and a sparse outer region, called the halo, that extends to a radius of 800 000 light-years. The Milky Way’s mass is thus spread over a large volume. Figure 1a quantifies the distribution in terms of the circular orbital velocity of stars, decomposed into the contributions from a supermassive black hole at the center of the Milky Way and from the bulge, disk, and halo. That model is based on measurements made at different distances from the galactic center. 2 That the stars’ circular orbital velocities do not slow as a function of radius R means that the galaxy is dominated by visible matter inside the Sun’s orbit at R26 000 light-years and by unseen dark matter at larger distances.

PTO.v69.i6.52_1.f1.jpg

Figure 1. Gravity links the circular orbital velocity of stars to the mass distribution in the Milky Way. (a) The stars’ orbital velocity (black) as a function of radius R from the galactic center can be decomposed into the galaxy’s major mass components.2 A supermassive black hole (MBH, magenta)—4 million times the mass of our sun—dominates the central 10 light-years; the stellar mass of the dense “bulge” (blue) around it dominates roughly between 100 and 1000 light-years; the stellar mass of the disk (green) dominates around 10 000 light-years; and the mass of the dark-matter halo (red) dominates the outer regions of the galaxy—beginning at a few tens of thousands of light-years. (b) The approximate escape velocity of the Milky Way is calculated by dropping a star at rest from 800 000 light-years, the Milky Way’s gravitational radius of influence. At a 10-light-year radius, a star must move at a speed greater than 900 km/s to escape the Milky Way. The escape velocity near our sun, about 26 000 light-years from the galactic center, is about 550 km/s. (Courtesy of S. J. Kenyon and the author.)

View larger

The focus of this article is a new class of astronomical objects, known as hypervelocity stars, that uniquely connect the center of the galaxy to its outer halo. A decade ago I and my colleagues Margaret Geller, Scott Kenyon, and Michael Kurtz at the Smithsonian Astrophysical Observatory in Cambridge, Massachusetts, unexpectedly discovered a star moving away from Earth at 850 km/s, roughly 2 million miles per hour. 3 The speed is astonishing: The star is racing outward with at least twice the galactic escape velocity at its distance of 300 000 light-years from the galactic center.

Ironically, our original goal was to measure the total mass of the Milky Way from the velocities of stars bound to it. The unbound oddball we found is not the remnant of a supernova explosion; rather, it appears to be a normal star. The most important clue to the star’s origin is its speed, which significantly exceeds the escape velocity from its own surface. A slingshot from other stars is therefore ruled out, because to attain a speed that exceeds the escape velocity would require the star to orbit inside another, which is impossible. Explaining the star’s remarkable speed requires an interaction with something much more massive and compact than a star—a supermassive black hole.

There are many ways to accelerate stars, but only a supermassive black hole—one whose mass exceeds that of a hundred thousand Suns—can eject normal stars from the Milky Way. (Figure 1b plots the effective escape velocity from the galaxy as a function of its radius.) That unique ability means we can use observations of hypervelocity stars to reveal the nature of the supermassive black hole in the center of the galaxy. Hypervelocity stars are also unique test particles. Because they travel from the galaxy center to its outermost reaches, their trajectories probe the shape and orientation of the galaxy’s dark-matter distribution.

A brief history

The idea that a supermassive black hole will slingshot stars out of a galaxy was put forth in 1988 by theorist Jack Hills. 4 He also gave the ejected oddballs their name. At the time, astronomers could only speculate about the existence of a supermassive black hole in the Milky Way; the equipment that was needed to resolve and measure the orbits of individual stars in the galactic center did not exist. Hills proposed a different line of evidence. The galactic center is a region of extremely high stellar density and short dynamical time scales. If a supermassive black hole sits there, he reasoned, it must periodically unbind stars, flinging them from the galaxy at velocities near 1000 km/s.

The physical mechanism behind the ejection of hypervelocity stars is three-body exchange. In orbital mechanics, two objects, absent any perturbation, will orbit each other forever. But if they encounter a third object, energy is exchanged; and an exchange with a supermassive black hole involves a lot of energy. In his paper, 4 Hills came to the interesting conclusion that binary stars in the Milky Way should encounter the supermassive black hole and produce hypervelocity stars at a rate of 10−4 to 10−3 per year. That’s a high enough rate to make such stars observable. A star moving 1000 km/s travels 33 000 light-years in 10 million years. So roughly 1000 to 10 000 hypervelocity stars should exist within 33 000 light-years of the galactic center, and an order of magnitude more should populate the outer halo region surrounding the Milky Way.

Hills’s idea generated surprisingly little interest. In his 1993 novel Eternal Light, science fiction writer Paul McAuley featured a hypervelocity star launched toward our solar system by unfriendly aliens. A decade later astrophysicists Qingjuan Yu and Scott Tremaine proposed a mechanism by which stars could be ejected from the galaxy by a pair of supermassive black holes. 5 But despite the growing acceptance of supermassive black holes in the centers of galaxies—and thus the necessary existence of hypervelocity stars—those two publications represent essentially the entire interest in hypervelocity stars for 17 years.

The situation changed in 2005 with the discovery of the first hypervelocity star. Following other serendipitous hypervelocity star discoveries, Geller, Kenyon, and I launched a successful targeted survey of such stars using the 6.5 m telescope at the MMT Observatory in Arizona, pictured on page 52 and jointly run by the Smithsonian Institution and the University of Arizona. Their proven existence inspired broad theoretical interest; citations of Hills’s paper went from one per year to dozens per year. Many predictions have emerged, and increasing observations have revealed some unexpected features. Although the observations do not yet allow for detailed tests, astronomers are exploring many links between hypervelocity stars and supermassive black holes.

PTO.v69.i6.52_1.f6.jpg

COURTESY OF THE MMT OBSERVATORY

View larger

Black holes and binaries

The center of the Milky Way presents the best-studied picture of a supermassive black hole and its environment. Our knowledge of the region comes from IR, RF, and x-ray observations that penetrate the dust of the intervening spiral arms of the galaxy. Those observations reveal a complex and varied region: Hundreds of luminous, short-lived stars orbit in the galaxy’s central light-year, and million-solar-mass streams of molecular gas and massive, young-star clusters orbit in the central hundred light-years of the galaxy. Figure 2 shows a wide-angle IR view as seen by the Spitzer Space Telescope. The bright spot in the middle of the image is the Milky Way’s nuclear star cluster, a group of about 25 million stars that envelop the central region and whose ages span a wide range. The galactic center is full of evolving stars and other massive objects that gravitationally perturb the stars’ orbits.

PTO.v69.i6.52_1.f2.jpg

Figure 2. The galactic center in the IR. This photograph, taken by NASA’s Spitzer Space Telescope, spans 890 × 640 light-years in the heart of the Milky Way and is centered on the innermost star cluster—the bright spot that surrounds the galaxy’s supermassive black hole. In this false-color picture, old, cool stars are blue, and dust features are lit up in red by hot, massive stars. The plane of the galaxy’s flat disk is apparent as the main, horizontal band of clouds. (Courtesy of NASA/JPL-Caltech.)

View larger

Two measurements are worth highlighting. First, very-long-baseline interferometry shows that the point radio source called Sagittarius A* (Sgr A*) sits at the dynamical center of the Milky Way with a rock-solid zero velocity relative to the stars swirling around it. 6 Second, using IR adaptive-optics imaging, astronomers have mapped complete orbits for those stars, some of which are seen moving a few percent of the speed of light at their closest approach to Sgr A*. 7 , 8 Together, those observations provide compelling evidence for a 4 million solar-mass black hole at the heart of the Milky Way.

One puzzle is why so many luminous, short-lived stars are found within one light-year of the black hole. Because many of the stars orbit in a disk around Sgr A*, they are presumed to have formed in place from an earlier gas accretion disk. The present stellar disk has an inner edge, however, about 0.1 light-year from the black hole. Inside that inner edge reside a couple dozen stars with eccentric, randomly oriented orbits. Figure 3 shows a map of a few of them. No one believes that those inner stars formed in those orbits. If Hills is right, they are the remnants of disrupted binary stars—that is, the former companions of hypervelocity stars, left behind in tightly bound orbits around the supermassive black hole. Binary stars are common (see the article by Gijs Nelemans, Physics Today, July 2006, page 26 ). They likely form along with the rest of the stars in the galactic center and are scattered inwards by gravitational interactions. The ejection rate of hypervelocity stars is thus linked to the mass growth of supermassive black holes and tidal-disruption events in the centers of galaxies. 9 (For more on tidal-disruption events, the pulling apart of stars that get too close to a black hole’s event horizon, see the article by Suvi Gezari, Physics Today, May 2014, page 37 .)

PTO.v69.i6.52_1.f3.jpg

Figure 3. Stars orbiting in the central 1.0 × 1.0 arcsecond region of the Milky Way are thought to be the former companions of hypervelocity stars, left behind in tightly bound orbits around the galaxy’s supermassive black hole. The stars’ annual average positions, measured between 1995 and 2014, are plotted as colored dots, whose color saturation increases with time. The IR source (SO) number refers to the order in which each star was discovered. The orbital solutions that best fit the stars’ positions connect the dots to complete each star’s orbit. The bright spots in the background are the diffraction-limited images of individual stars photographed in 2014. For an animation, see http://www.galacticcenter.astro.ucla.edu/animations.html. (Courtesy of the UCLA galactic center group and W. M. Keck Observatory laser team.)

View larger

The rate at which stars encounter the supermassive black hole depends on the time scale for scattering stars into the black hole’s “loss cone,” the phase space of orbits on which an object will encounter the black hole. 10 The standard assumption is that stars on loss-cone orbits are rapidly destroyed, so the steady-state rate at which stars encounter the black hole is controlled by dynamical processes that refill the empty loss cone. Two-body gravitational encounters that deflect objects’ trajectories are one of the dominant dynamical processes. Because the tidal-disruption radii of binary stars are 10 times larger than those of single stars, the loss cone for the interactions between a supermassive black hole and a binary star should theoretically remain empty out to distances of 300 light-years if the Milky Way has a spherical distribution of stars. In reality, giant molecular clouds, star clusters, and other massive objects dominate the two-body gravitational interaction rate in the central 100 light-years of the Milky Way and rapidly refill the black hole’s loss cone for binary star encounters.

Tidal disruption

Energy conservation demands that a three-body exchange between binary stars and a supermassive black hole ejects a hypervelocity star. Figure 4 illustrates the interaction. For a black hole with a mass M = 4 × 106 solar masses, the orbital velocity V of a single star at the binary star tidal-disruption distance rb is (GM/rb)10 000 km/s, a few percent of the speed of light. By comparison, the orbital velocity vb of the stars around each other in a compact binary is about 100 km/s. At the moment the stars are ripped apart from each other by the black hole, they have a relative velocity of order vb and thus experience a change in energy that goes as ½(V+vb)2½V2Vvb. To conserve energy, the ejected star must approach a final velocity of vej=2Vvb1000 km/s at effectively infinite distance from the black hole. 4 , 5

PTO.v69.i6.52_1.f4.jpg

Figure 4. Three-body exchange. By this process, a supermassive black hole (MBH) replaces one of the two stars in a stellar binary and ejects a hypervelocity star (HVS). As shown here, the binary, with internal orbital velocity vb, drops toward the MBH. At closest approach, the binary’s center-of-mass velocity V is orders of magnitude larger than vb. If that distance is less than the binary’s tidal-disruption distance rb, the binary is ripped apart: One star (S-star, see figure 3) becomes gravitationally bound to the MBH, and by conservation of energy, the other star is ejected at approximately the geometric mean of V and vb. (Adapted from ref. 14.)

View larger

Numerical simulations are used to predict ejection probabilities and velocities in greater detail. 2 Compact binaries have larger gravitational binding energies than wide binaries, for example, and so are broken apart less frequently but yield higher ejection velocities. Whether a stellar binary is broken apart depends on details such as the orbital phase of the binary at the tidal-disruption distance. The physical size of individual stars in the binary imposes a speed limit on ejection velocity. An individual star passing closer to the supermassive black hole than its tidal-disruption radius produces a tidal-disruption event, not a hypervelocity star. The rate of tidal-disruption events observed in nearby galaxies is an order of magnitude smaller than the rate of hypervelocity star ejections observed in the Milky Way. That’s consistent with the difference between the tidal-disruption radii for individual stars and for binary stars.

Astronomers have proposed many variations on the Hills ejection scenario. All the variations require at least one supermassive black hole, and they all predict different distributions—in space, speed, or flight time—of hypervelocity stars. For example, a closely orbiting pair of supermassive black holes, about a million years out from gravitational-wave in-spiral, can eject single stars at hypervelocity speeds. 5 The most energetic ejections should occur in the direction of the back holes’ orbital motion, so a pair of black holes spiraling inward should produce a distinctive burst of hypervelocity stars in a ring. The hypervelocity stars we find and follow can thus tell us about how they were ejected.

Hypervelocity star observations

In principle, hypervelocity stars should be ejected by all galaxies with supermassive black holes, but we can see only those that are in or near the Milky Way. Figure 5 plots the results of our survey of such stars. 11 Our strategy was to target distant halo stars with the colors of relatively short-lived stars, like the first hypervelocity star we found; such stars should not exist more than 100 000 light-years outside the galaxy unless they were flung there. We directly measure the stars’ line-of-sight velocities from the Doppler shift of their spectra. Our survey is now complete over half of the northern sky: We found 21 unbound stars using that tack.

PTO.v69.i6.52_1.f5.jpg

Figure 5. In a hypervelocity star survey of the sky’s northern hemisphere,11 observed line-of-sight velocities of stars as measured from Earth have been adjusted for the Sun’s motion and plotted in the galactic rest frame as a function of their distance from the galactic center. Galactic escape velocity is plotted as a dashed (black) line. Dotted (brown) lines show flight times from the galactic center, calculated using the mass-distribution model shown in figure 1a. Unbound stars, whose velocities exceed escape velocity, are magenta stars, and bound-velocity outliers are blue circles. (Adapted from ref. 11.)

View larger

Other astronomers take a different approach and look at nearby stars. In those searches, the astronomers multiply estimates of distance and of angular motion to identify stars with large velocities tangential to the line of sight. However, tangential motion is difficult to measure, and that approach yields candidates with large uncertainties in velocity. Many of those candidates turn out to be bound stars orbiting in the galactic disk or halo. 12 One discovered object turns out to be an unbound star ejected by the supernova of a former binary companion, 13 a result showing that stars ejected from the galaxy via a different process can attain velocities comparable to some hypervelocity stars. The supermassive black hole ejection process outlined in figure 4 remains unique in its ability to launch normal stars at velocities of 1000 km/s, however, and only the existence of a supermassive black hole at the center of the Milky Way can self-consistently explain all of the hypervelocity star survey observations.

So let’s focus on what those observations can tell us about that central black hole. Different ejection scenarios predict different velocity distributions, including the existence of so-called bound ejections—that is, failed hypervelocity stars. Interestingly, we found a comparable number of bound and unbound velocity outliers, consistent with existing black hole ejection models. Astronomers should be able to discriminate among the different models with a future sample of close to 100 hypervelocity stars. For now, the lack of an observed star exceeding 1000 km/s is in tension with another possible scenario—the existence of not one but a pair of supermassive black holes in the Milky Way.

The distribution of hypervelocity-star flight times from the galactic center provides another constraint on the stars’ origin. A pair of supermassive black holes can eject single stars as hypervelocity stars for about a million years before the black holes merge due to gravitational-wave radiation. An observer from Earth would thus see that hypervelocity stars share a roughly common flight time from the galactic center, such that the fastest hypervelocity star is at the largest distance and the slowest hypervelocity star is at the shortest distance. A single supermassive black hole, on the other hand, is capable of ejecting hypervelocity stars at any time. The flight times of unbound stars observed in our survey span 150 million years, as shown in figure 5. That span rules out a single burst of hypervelocity stars and supports the single supermassive black hole scenario.

The spatial distribution of hypervelocity stars—whether they are found in a clump, in a ring, or in a more isotropic distribution—also provides a constraint on origin. A big surprise is that the unbound stars in the hypervelocity star survey are clumped in galactic longitude: Half of the unbound stars are found near the edge of the northern hemisphere around the constellation Leo. There is currently no good explanation for that distribution. Future southern-hemisphere surveys will provide a more complete picture of how the supermassive black hole is ejecting hypervelocity stars.

Dark matter

An interesting application is to use hypervelocity stars as test particles to map the Milky Way’s visible-matter and dark-matter distributions. The modern paradigm presumes that dark matter is made of weakly interacting massive particles that gravitationally clump together in the halos on the outskirts of individual galaxies (see Physics Today, February 2010, page 11 ). A generic prediction of the theory is that galaxies should have dark-matter halos whose distribution differs from the observed distribution of visible matter. Dark-matter halos are not seen, but they have observable consequences for hypervelocity stars.

Hypervelocity stars are launched on radial trajectories from the center of the Milky Way. Because many hypervelocity stars are observed near galactic escape velocity, both their speeds and their trajectories can constrain the galaxy’s mass distribution. Stars ejected along the major axis of the gravitational potential are decelerated less at a given distance than those ejected along the minor axis. An initially uniform spatial distribution of hypervelocity stars can thus appear anisotropic to an observer looking for unbound stars in the halo.

A nonspherical potential must also cause the velocity vectors of hypervelocity stars to deviate from being precisely radial. Unfortunately, such stars are so distant that their transverse angular motions on the sky are tiny. Accurate measurements of those motions take years using space-based imagers. Fortunately, the European Space Agency’s Gaia satellite, launched in 2013, will soon provide precise angular motions for the known hypervelocity stars.

Unbounded future

Today’s astronomers live at an interesting time in the study of hypervelocity stars. New imaging surveys, such as Australia’s SkyMapper, will enable the first systematic searches for hypervelocity stars in the southern hemisphere. The southern surveys should increase the sample size of hypervelocity stars and determine whether the all-sky distribution is a ring, two clumps, or some other distribution. The Gaia results are likely to spawn new searches on the basis of the hypervelocity stars’ tangential velocities. Three-dimensional trajectory measurements and spectroscopy of the hypervelocity stars will directly link them to the supermassive black hole and open the door to tests of the dark-matter distribution of the Milky Way.

I thank Margaret Geller and Scott Kenyon for their comments and support.

References

  1. 1. J. Binney, M. Merrifield, Galactic Astronomy, Princeton U. Press, (1998).

  2. 2. S. J. Kenyon et al., Astrophys. J. 680, 312 (2008). https://doi.org/10.1086/587738

  3. 3. W. R. Brown et al., Astrophys J. Lett. 622, L33 (2005). https://doi.org/10.1086/429378

  4. 4. J. G. Hills, Nature 331, 687 (1988). https://doi.org/10.1038/331687a0

  5. 5. Q. Yu, S. Tremaine, Astrophys. J. 599, 1129 (2003). https://doi.org/10.1086/379546

  6. 6. M. J. Reid, A. Brunthaler, Astrophys. J. 616, 872 (2004). https://doi.org/10.1086/424960

  7. 7. A. M. Ghez et al., Astrophys. J. 620, 744 (2005). https://doi.org/10.1086/427175

  8. 8. R. Genzel, F. Eisenhauer, S. Gillessen, Rev. Mod. Phys. 82, 3121 (2010). https://doi.org/10.1103/RevModPhys.82.3121

  9. 9. B. C. Bromley et al., Astrophys. J. Lett. 749, L42 (2012). https://doi.org/10.1088/2041-8205/749/2/L42

  10. 10. D. Merritt, Dynamics and Evolution of Galactic Nuclei, Princeton U. Press, (2013).

  11. 11. W. R. Brown, M. J. Geller, S. J. Kenyon, Astrophys. J. 787, 89 (2014). https://doi.org/10.1088/0004-637X/787/1/89

  12. 12. E. Ziegerer et al., Astron. Astrophys. 576, L14 (2015). https://doi.org/10.1051/0004-6361/201526052

  13. 13. U. Heber et al., Astron. Astrophys. 483, L21 (2008). https://doi.org/10.1051/0004-6361:200809767

  14. 14. W. R. Brown, Annu. Rev. Astron. Astrophys. 53, 15 (2015). https://doi.org/10.1146/annurev-astro-082214-122230

More about the Authors

Warren Brown is an astronomer at the Smithsonian Astrophysical Observatory in Cambridge, Massachusetts.

Related content
/
Article
Figuring out how to communicate with the public can be overwhelming. Here’s some advice for getting started.
/
Article
Amid growing investment in planetary-scale climate intervention strategies that alter sunlight reflection, global communities deserve inclusive and accountable oversight of research.
/
Article
Although motivated by the fundamental exploration of the weirdness of the quantum world, the prizewinning experiments have led to a promising branch of quantum computing technology.
/
Article
As conventional lithium-ion battery technology approaches its theoretical limits, researchers are studying alternative architectures with solid electrolytes.
This Content Appeared In
pt_cover0616_for_Lalena.jpg

Volume 69, Number 6

Get PT in your inbox

pt_newsletter_card_blue.png
PT The Week in Physics

A collection of PT's content from the previous week delivered every Monday.

pt_newsletter_card_darkblue.png
PT New Issue Alert

Be notified about the new issue with links to highlights and the full TOC.

pt_newsletter_card_pink.png
PT Webinars & White Papers

The latest webinars, white papers and other informational resources.

By signing up you agree to allow AIP to send you email newsletters. You further agree to our privacy policy and terms of service.