Discover
/
Article

Facets of glass physics

JAN 01, 2016
Humans have been making glass for more than 3000 years. Despite that long history, new ways to understand the fundamental physics of glasses continue to emerge.

DOI: 10.1063/PT.3.3052

PTO.v69.i1.40_1.d1.jpg
Ludovic Berthier
PTO.v69.i1.40_1.d2.jpg
Mark D. Ediger

The simplest way to make glass is to cool a material from its liquid state quickly enough that nucleation and growth of a crystalline phase do not happen. When the transition to the crystal is avoided, particle motion inside the supercooled liquid slows dramatically with decreasing temperature. Glassblowers use that slowdown to shape the cooling material as its viscosity increases.

When the temperature decreases further, the time scale for molecular rearrangements becomes so long that the system falls out of equilibrium with respect to the supercooled-liquid state. The material stops flowing and becomes a glass. 1 The temperature at which that occurs is called the glass transition temperature Tg.

Glasses and other amorphous solids can be made of atoms, simple organic molecules, larger molecules such as polymers, or assemblies of colloidal particles. Even macroscopic constituents such as sand piles and shaving cream may form rigid and disordered particle assemblies that are analogous to molecular and atomic glasses. Glass formation in different types of materials exhibits remarkable universal features. For example, only minor changes in the local structure accompany the huge increase in viscosity as temperature is decreased.

For many materials, producing a glass is not difficult, and cooling at a few kelvin per minute is sufficient to avoid crystallization. The examples of ancient glasses described in the box on page 45 demonstrate that long-lived metastability with respect to the crystal can be readily achieved. However, for materials in which crystal nucleation is efficient, such as simple metals or highly symmetric molecules, glass formation can be challenging. Extremely fast cooling is required, and in some cases, cooling rates as high as 109 K/s may not suffice.

In terms of molecular organization, glassy materials appear to be the continuation of the liquid state. Particle configurations closely resemble the disordered structure of the supercooled liquid, as shown in figure 1. However, glasses do not easily deform, and thus they constitute a solid form of matter. Solidity, which is often presented in solid-state physics textbooks as a direct consequence of the broken translational invariance of periodic crystals, can exist in fully aperiodic structures. Some molecular rearrangements and flow can still occur below Tg but only extremely slowly, the more so the lower the temperature.

PTO.v69.i1.40_1.f1.jpg

Figure 1. Can you find the glass? The enthalpy or molar volume of a liquid as the temperature is lowered past the melting temperature Tm illustrates the production of three different glasses. If crystallization is avoided, glass will be formed on cooling a liquid (glass 1). Slower cooling produces a denser glass (glass 2). Isothermal aging below the glass transition temperature Tg produces an even denser glass (glass 3). Typical particle configurations from molecular dynamics computer simulations are shown for a glass, a supercooled liquid, and a crystal.

View larger

As macroscopically homogeneous solids, glasses are the best materials for many applications, from optical fibers to windows. In contrast, large crystals tend to be macroscopically inhomogeneous; they have grain boundaries that scatter light. In addition, glass composition can be widely varied to optimize properties. Macroscopic homogeneity and compositional flexibility result from the locally disordered, liquid-like structure of the glass.

Glasses are also fascinating materials from a fundamental perspective because they represent nonequilibrium disordered states of matter. Understanding them in the context of thermodynamic phase transitions is an exciting challenge that has yet to be solved. 2 The glass problem differs fundamentally from its crystalline sibling whose configuration space is dominated by a unique free-energy minimum that corresponds to a perfectly ordered structure. By contrast, a glass may take on a large number of equivalently disordered, imperfect structures. When cooled, the exploration of that complex free-energy landscape slows and the system must eventually choose one of the many available glassy states. The final state of the system is one among a vast library of possible disordered states, each representing a local free-energy minimum.

How to build a better glass

We often want to produce better glasses, where “better” might mean stiffer, more resistant to impact, stable to higher temperatures, or some other desired property. The glass scientist has two general approaches to optimize such properties.

The first approach is to vary the composition; glasses, in contrast to crystals, are quite flexible in that regard. The exploration of different glass compositions is a major endeavor in the field of metallic glasses (see the article by Jan Schroers, Physics Today, February 2013, page 32 ).

The second approach to optimize glass properties is to control the preparation route for glass formation. Even with a fixed composition, the glassmaker can, in principle, produce an extremely large number of distinct glasses by varying the formation process. Figure 1 describes routes to three different glassy states. The sensitivity to preparation is a direct consequence of the nonequilibrium nature of the glassy state. A good analogy is with cooking: Different chefs come up with wildly different results even when using the same set of ingredients.

Tempered glass is produced by cooling the surface of the glass more rapidly than the interior. Because of the internal stresses that get built in during formation, tempered glass explodes into many small pieces when it is broken, whereas a slowly cooled glass with identical composition would break into a handful of large, dangerous shards. Preparation thus may affect the mechanical properties of the glass in a spectacular manner. The glass faces of smartphones have been optimized in both composition and processing to robustly protect the display.

Suppose we want to make a higher-density glass in the expectation that it would also show improved stiffness and thermal stability. Figure 1 shows one method: If held for a long period of time below Tg, the volume of a glass will decrease toward the supercooled liquid volume in a process known as physical aging. That densification occurs as a result of the thermodynamic driving force to reach the supercooled liquid state. However, the process is kinetically hindered by the extremely long times required for rearrangements of the local structure. The situation is actually worse because for every step made toward the supercooled liquid, a structure is formed that has even higher barriers to rearrangement. Thus the process of densification through physical aging slows logarithmically over time. 3

Alternatively, researchers have recently discovered that high-density glasses can be assembled much more quickly in a process known as physical vapor deposition, 4 as illustrated in figure 2. Mobility at the free surface of a glass can be 109 times higher than in the interior and is the key to the process. Even below Tg, molecules near the surface quickly equilibrate toward the supercooled liquid state, a process that occurs much more slowly in the bulk. Much like a block-stacking video game, further deposition locks the packing into place.

PTO.v69.i1.40_1.f2.jpg

Figure 2. Constructing better glasses using free surfaces. (a) Glasses produced by vapor deposition can exhibit highly efficient packing. Molecular mobility near the free surface is key to producing a well-packed glass. The incoming molecules rapidly equilibrate if the substrate temperature is chosen correctly. (b) Block-stacking video games give an intuitive feel for how a slower deposition rate allows for better glass packing. When a glass is reheated to temperatures greater than the glass transition temperature, molecular rearrangements can undo the glass packing. The plot of the dimensionless quantity, retention of glass packing—with 1 for full retention and 0 for total loss—shows that a well packed vapor-deposited glass retains its glassy state far longer than a poorly packed glass. Time is given in arbitrary units. (Illustrations courtesy of Hannah Sandvold.)

View larger

Surface mobility coupled with slow deposition leads to well-packed glasses that exhibit high kinetic stability, even at temperatures above Tg. Ultrastable glasses made via physical vapor deposition can be nearly 1.5% denser than conventional glasses. Achieving such density through physical aging would require an estimated 106 years.

Physical vapor deposition produces high-density glasses with remarkable properties. They have lower enthalpy than liquid-cooled glasses and provide the first indications of how supercooled liquids might behave if the liquid state could be extended to temperatures below Tg. The materials have higher stiffness and their packing can be so efficient that they transform into a liquid via a sharp transformation front when heated above Tg. That behavior is more like the isothermal melting of a crystal than the gradual softening observed in liquid-cooled glasses.

In another indication of high-density glasses’ efficient packing, their heat capacities were recently shown to maintain a cubic temperature dependence 5 down to 0.6 K. In that regard, high-density glasses resemble nonmetallic crystals, in which phonons are the dominant contributors to heat capacity. In contrast, the heat capacities of lower-density liquid-cooled glasses show a roughly linear temperature dependence at low temperatures, a behavior that had been interpreted as evidence for universal low-temperature excitations in amorphous solids.

The deposition conditions that produce high-density glasses can also produce oriented glasses in which the molecules adopt, for example, planar orientation in the film. Organic LEDs, used in many millions of mobile phone displays, are made from glasses produced by vapor deposition. Creating planar orientation of the emitting molecules in those glassy films could increase the display efficiency by more than 30%.

A genuine state of matter?

In practice, glasses prepared from liquids use finite cooling rates and form by falling out of equilibrium with respect to the supercooled liquid. What state would result if a liquid could be cooled infinitely slowly without crystallization? Can an equilibrium liquid-to-glass phase transition exist? Those questions touch on fundamental issues in the statistical mechanics of phase transitions for complex systems that contain disorder, impurities, and many-body interactions. Despite decades of intense research and steady progress, the questions have not yet been answered satisfactorily. 1 , 2

In the conventional Landau approach to phase transitions, one must first identify an order parameter—for example, the magnetization in ferromagnetic transitions or the density in liquid–gas transitions—before surmising an expression for the free energy based on general symmetry considerations. For first-order phase transitions, the order parameter discontinuously becomes nonzero. For second-order phase transitions, it obeys algebraic scaling laws and goes continuously to zero near critical points.

For the putative liquid-to-glass transition, the choice of an order parameter is not at all obvious because the molecular arrangements in the glass are so similar to the ones found in the liquid (see figure 1). There is no obvious symmetry breaking between the two states. Rather, the two states are dynamically distinguished by the fact that liquids can freely explore many different disordered configurations while glasses cannot.

The glass-transition problem was recently solved in the mean-field limit, in a way that corresponds roughly to the Curie–Weiss approach to ferromagnetism, or the van der Waals theory of the liquid–gas transition, both of which neglect fluctuations. Specifically, the exact solution for the equilibrium phase diagram of hard spherical particles interacting in d spatial dimensions was rigorously obtained in the mathematical limit d, where mean-field approximations become exact. 6 In that limit, one can firmly establish the existence of an equilibrium phase transition between liquid and glass states and study its nature in full detail. The resulting van der Waals picture of the glass transition is deeply rooted in theoretical developments on phase transitions in disordered materials going back at least 25 years. 7

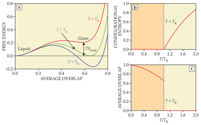
In the mean-field theory of the simpler liquid–gas problem, two minima in the free energy correspond to liquid and gas states. The two states are readily distinguished by their density, which serves as the order parameter. However, glass and liquid states are structurally too close for the glass transition to be treated in the same way. In place of density, glass physicists have to construct a novel object, called the overlap function Q, to distinguish the glass and liquid states. The function describes the degree of similarity between the molecular positions in statistically independent pairs of configurations equilibrated at the same temperature; Q ranges from 0 for no similarity to 1 for identical. One can then calculate in the mean-field limit the free energy V(Q) expressed in terms of the average overlap. 7 As shown in figure 3, the free energy again has two minima. The minimum at Q=0 corresponds to the liquid, and the minimum as Q approaches unity corresponds to the glass.

PTO.v69.i1.40_1.f3.jpg

Figure 3. Mean-field theory of the equilibrium liquid–glass phase transition. (a) The equilibrium free energy is shown in a representation analogous to the liquid–gas transition, but with the average overlap, which quantifies the similarities in pairs of configurations, in place of density on the horizontal axis. For temperature T greater than the so-called Kauzmann transition temperature TK, the liquid (the state with zero average overlap) is the stable phase. The configurational entropy Sconf represents the free-energy cost to occupy the metastable glass state (the state with nonzero average overlap). (b) As T decreases toward TK, Sconf decreases rapidly and vanishes at TK. (c) At that point, the system jumps discontinuously to the glass phase with high average overlap. Below TK, the glass state is the thermodynamically stable phase, the overlap is large, and the configurational entropy is zero. All dimensioned quantities are given in arbitrary units.

View larger

If a pair of configurations is randomly drawn from the liquid state at high temperature, so many configurations are available that particle positions are almost sure to be very different from one another. Thus the Q=0 minimum dominates the free-energy landscape. In contrast, at low temperatures, two independent glass configurations are nearly identical (but still disordered), and their mutual overlap Q is large. The temperature at which the two free-energy minima possess the same value is called the Kauzmann temperature TK. Within mean-field theory, the ideal glass transition appears as a discontinuous change in Q at TK that separates a low-overlap phase at high temperature and a high-overlap phase at low temperature. For that reason it was dubbed a random first-order transition. 7

Above TK, the system must pay a free-energy cost if it is to occupy a restricted part of its potential-energy landscape. The free-energy difference between the stable liquid and metastable glass states quantifies that cost. Preventing the system from exploring different states entails an entropic loss, called the configurational entropy Sconf. In mean-field theory, Sconf vanishes as temperature decreases toward TK, as shown in figure 3, and it remains zero in the glass phase.

The concept of an ideal glass transition associated with a vanishing Sconf goes back almost 70 years to work by Walter Kauzmann and by Gerold Adam and Julian Gibbs. 8 The recent production of vapor-deposited ultrastable glasses described above suggests that there might be ways to directly probe supercooled liquids with low Sconf in real materials. Additionally, researchers are developing novel computational techniques to explore experimentally relevant temperature regimes and provide more direct insight into the validity of mean-field theory in finite dimensions. 9

For the liquid state above Tg, the connection between the thermodynamic picture and slow molecular motion is more complicated to establish and is thus more controversial. However, the analogy with first-order transitions suggests a physical mechanism to explain the dynamics of molecular rearrangements.

In figure 3, Sconf above TK represents the thermodynamic driving force for relaxation from the localized, metastable glass state to the liquid phase. Scaling arguments inspired by classical nucleation theory provide a time scale for relaxation that grows exponentially with 1/(kBTSconf), where kB denotes the Boltzmann constant. That time scale diverges as TK is approached from above and Sconf goes to zero, and it is infinite in the entire glass phase below TK. The physical interpretation is that dynamics slow as temperature decreases because ever fewer configurations are available, and the kinetic pathways between them become ever more complex and collective.

Past research on the physics of phase transitions has repeatedly warned us that ideas that appear pertinent in the mean-field limit may break down completely when finite dimensional fluctuations are included. Whereas such fluctuations have been successfully included in modern theoretical descriptions of simple phase transitions, they are still being intensely studied for problems where disorder and complex free-energy landscapes appear.

In parallel, researchers are exploring theoretical alternatives to the mean-field approach—for instance those based on real-space dynamic excitations that describe the liquid relaxation dynamics via the emergence of a sparse collection of spatially correlated molecular displacements. 10 Another approach considers locally favored geometrical motifs and analyzes the overall disordered liquid structure as an assembly of topologically distinct clusters. 11

Do glasses contain defects?

Defects are central to the physics of ordered condensed-matter phases. Physicists typically view deformation and fracture in crystalline solids in terms of defect dynamics. For example, crystalline metals can deform when one plane of atoms slides over another. Given the intrinsic disorder of glassy materials, analogous slip planes can obviously not occur in glasses.

The whole idea of defects in glasses might be dismissed by saying that everything about the packing in glasses appears defective, whereas defects are useful objects only when they are sparse. Surprisingly, recent research has identified sparse defects or soft spots that seem to play an important role.

When a glass is deformed at low temperature, one observes spatially localized irreversible rearrangements, often called shear transformation zones, even at low strains. 12 Shear transformation zones act as defects but are only revealed by mechanical deformations. Indeed, they do not relate to obvious structural features, unlike defects in crystals, and that makes it hard to predict where glasses will begin to flow. In computer simulations or in experiments that track colloidal particles with a microscope, shear transformation zones are easy to find, but only after the fact.

The current view is that when a glass is deformed, the strain first becomes localized in a small number of shear transformation zones. On further deformation, those zones organize spatially to initiate shear bands that represent planes where the entire deformation of the material concentrates. That concentration eventually leads to the large-scale failure of the glass.

Because shear transformation zones provide a molecular view of how glasses break, understanding their structural origin and predicting their behavior are important research goals. Based on the results of recent computer simulations, researchers have hypothesized that shear transformation zones in glasses are correlated with localized low frequency vibrations. 13

In a crystal, the lowest-frequency vibrational modes involve a large number of atoms. Although some low-frequency modes in glasses also have that character, additional low-frequency modes involve an unusually small number of atoms. Such modes do not exist in perfect crystals. It is those localized low-frequency modes that appear to correlate with shear transformation zones. One might think of shear transformation zones as being unusually poorly packed regions of the glass, but at present no structural measure allows for their direct identification.

As the temperature is raised, thermal fluctuations spontaneously trigger more and more molecular rearrangements. Experiments and simulations indicate that just above Tg, molecular motion is spatially heterogeneous and temporally highly intermittent. In other words, some regions of the glass are mobile, whereas others are immobile, and a given region might undergo long periods of immobility separated by bursts of activity. Such dynamic heterogeneity 14 means that thermally activated flow is highly collective near Tg and is characterized by a dynamic correlation length that grows modestly as the temperature is lowered. It is tempting to envision a connection between the more mobile regions and the shear transformation zones observed during flow in the glass. Elucidating such a connection is also a topic of current research.

Glass physics in other areas of science

Glassiness and the physics of arrested states with disordered structures are relevant for a wide range of materials with different length and time scales. Figure 4 highlights several examples from soft condensed-matter physics and biology. Soft materials are often dense assemblies of supramolecular objects. Glasses made of colloidal particles that range in size from 20 nm to 1 μm serve as simplified model systems for studying the glass transition. The colloidal particles act as giant atoms that are large enough to be seen in a microscope but small enough to exhibit substantial Brownian motion when suspended in a solvent. Experiments on colloidal glasses are important links between computer simulations of simplified models and experimental investigations of atomic and molecular glasses. 15

PTO.v69.i1.40_1.f4.jpg

Figure 4. Glassy physics at many length scales. Atomic liquids and systems composed of larger particles are analogous in many ways. (a) Highly concentrated colloidal micrometer-sized spheres resemble the liquid and glass states shown in figure 1. (b) A dense viscous droplet composed of living cells squeezed between two plates exhibits many glassy properties. (c) A dense swarm of ants retains its shape for a long time, in analogy with an amorphous solid. (Panel a courtesy of Arran Curran; panel b adapted from T. V. Stirbat et al., Eur. Phys. J. E 36, 84, 2013, doi:10.1140/epje/i2013-13084-1; panel c adapted from M. Tennenbaum et al., Nat. Mater., in press, doi:10.1038/nmat4450.)

View larger

Because colloidal interactions can be tuned by various physical means, colloidal glasses can be formed with a great variety of microscopic interactions. Colloidal particles with very short-range interactions, for instance, behave as sticky spheres and offer a model system that is unique to the colloidal world. The vibrational and mechanical properties of those novel soft glassy materials differ qualitatively from glasses made with atoms or molecules that have longer-ranged interactions relative to the particle size. 15

Colloidal particles with sticky patches might allow detailed control of particle bonding along preferred angles, the first step to synthesize colloidal analogs of a broad variety of glasses—among them silicon dioxide, the main component of window glasses, and glassy water, whose properties continue to be debated. Such novel colloidal materials could then be used to visualize and understand, at the particle scale, the physical properties of their molecular counterparts.

Researchers are also increasingly studying glass transitions in the framework of active materials, such as self-propelled colloidal particles. Those studies have promising connections to biological systems, including dense bacterial colonies and collective cell dynamics in epithelial tissues. 16 In many biological systems, the density of particles can be large. Consequently, the microscopic dynamics can become slow and glassy.

To tackle questions related to the mechanical properties of dense tissue or to the diffusion of proteins in the crowded environment of cells, our understanding of glass physics is being expanded to include chemical and mechanical driving forces acting in addition to thermal fluctuations. Human crowds and animal colonies are also examples of materials that easily undergo dynamic arrest: When the density becomes too large, flow almost ceases—think about how difficult it is to move in the subway at rush hour.

Glass transitions also occur in more abstract problems in computer science. 17 One example is an optimization algorithm that seeks to answer a set of questions given a set of constraints. As the number of constraints becomes large, satisfying them all becomes increasingly difficult. The computer can get lost in a large number of good-but-imperfect answers. Consider, for instance, the packing problem, which entails filling a box with hard, nonoverlapping objects. When the density of objects is large, the constraint that no two objects can overlap becomes so demanding that one stops finding possible solutions above a suboptimal density. That situation is reminiscent of the glass transition.

A problem is deemed computationally hard if it cannot be solved in a number of steps that is a polynomial function of the number of inputs. For some classes of hard computational problems, methods invented to treat the statistical mechanics of glasses have shown that the number of solutions decreases when the number of constraints increases in a way that is directly related to the liquid-to-glass transition shown in figure 3. Such methods have even led to the development of physics-inspired computational algorithms for solving hard problems in computer science. The algorithms are successful precisely because they are based on methods devised to tackle the complex free-energy landscapes that glass scientists face. 17 Those methods now find applications in domains such as image-compression and error-correcting codes.

Glass physics is rich and broadly applicable, and the above examples show that essential ideas from glass science are influencing fields ranging from soft condensed-matter physics and biophysics to computer science. Along with finding new uses for glassy materials as essential components in many modern technologies, researchers continue to make significant experimental and theoretical progress toward a satisfying fundamental understanding of the glass state.

Box. The paradox of old glasses

Glasses are far-from-equilibrium materials produced by avoiding a thermodynamic transition to an ordered crystalline structure. Given enough time, a glass will eventually reach its true equilibrium state: the crystal. Remarkably, ancient glasses exist; the figure shows several examples. The Egyptian jug (far right) is about 2500 years old. Researchers have turned to 20-million-year-old amber glasses to learn how extended periods of aging influence glass properties. 18 Amber glasses may encapsulate dinosaur-age traces of life (bottom left), as popularized by Hollywood blockbusters. Many early cultures fashioned arrowheads (top left) and other tools from obsidian, a naturally occurring volcanic glass that can remain glassy for 75 million years without crystallizing. Apollo 15 astronauts brought back small glass beads (top center) from the Moon. Dated to be more than 3 billion years old, they are the oldest glasses on Earth.

PTO.v69.i1.40_1.f6.jpg

The long-term stability of some glasses might be surprising given their nonequilibrium nature. That stability, and their flexibility with regard to composition, makes glasses appealing as storage media for nuclear waste. (See the article by Ian Pegg, Physics Today, February 2015, page 33. ) Storage at temperatures much less than the glass transition temperature enhances glass stability. The low temperature slows the molecular rearrangements that might lead to the nucleation and growth of crystals.

Environmental factors are also important for glass stability. Geological glasses often crystallize as a result of exposure to water. An oxidizing environment can chemically change a glass and cause crystallization. On Earth, the slow but persistent movement of tectonic plates recycles geological glasses into other materials. Given its temperature and environment, the Moon turns out to be nearly the perfect home for glasses. (Clockwise from top left, photos courtesy of the US National Park Service, NASA, Marie-Lan Nguyen, and Elisabeth/Wikimedia Commons.)

PTO.v69.i1.40_1.f5.jpg

WARBURG/WIKIMEDIA COMMONS

View larger

Ludovic Berthier acknowledges support from the European Research Council. Mark Ediger acknowledges support from NSF and the Department of Energy, Basic Energy Sciences, and thanks Reid Cooper for helpful discussions.

References

  1. 1. M. D. Ediger, C. A. Angell, S. R. Nagel, J. Phys. Chem. 100, 13200 (1996). https://doi.org/10.1021/jp953538d

  2. 2. L. Berthier, G. Biroli, Rev. Mod. Phys. 83, 587 (2011). https://doi.org/10.1103/RevModPhys.83.587

  3. 3. C. A. Angell et al., J. Appl. Phys. 88, 3113 (2000). https://doi.org/10.1063/1.1286035

  4. 4. S. F. Swallen et al., Science 315, 353 (2007). https://doi.org/10.1126/science.1135795

  5. 5. T. Pérez-Castañeda et al., Proc. Natl. Acad. Sci. USA 111, 11275 (2014). https://doi.org/10.1073/pnas.1405545111

  6. 6. P. Charbonneau et al., Nat. Commun. 5, 3725 (2014). https://doi.org/10.1038/ncomms4725

  7. 7. T. R. Kirkpatrick, D. Thirumalai, P. G. Wolynes, Phys. Rev. A 40, 1045 (1989); https://doi.org/10.1103/PhysRevA.40.1045
    S. Franz, G. Parisi, Phys. Rev. Lett. 79, 2486 (1997). https://doi.org/10.1103/PhysRevLett.79.2486

  8. 8. W. Kauzmann, Chem. Rev. 43, 219 (1948); https://doi.org/10.1021/cr60135a002
    G. Adam, J. H. Gibbs, J. Chem. Phys. 43, 139 (1965). https://doi.org/10.1063/1.1696442

  9. 9. G. Biroli et al., Nat. Phys. 4, 771 (2008) https://doi.org/10.1038/nphys1050 ;
    W. Kob, L. Berthier, Phys. Rev. Lett. 110, 245702 (2013). https://doi.org/10.1103/PhysRevLett.110.245702

  10. 10. D. Chandler, J. P. Garrahan, Annu. Rev. Phys. Chem. 61, 191 (2010). https://doi.org/10.1146/annurev.physchem.040808.090405

  11. 11. G. Tarjus et al., J. Phys. Condens. Matter 17, R1143 (2005). https://doi.org/10.1088/0953-8984/17/50/R01

  12. 12. A. S. Argon, Acta Metall. 27, 47 (1979); https://doi.org/10.1016/0001-6160(79)90055-5
    M. L. Falk, J. S. Langer, Phys. Rev. E 57, 7192 (1998). https://doi.org/10.1103/PhysRevE.57.7192

  13. 13. 13. A. Widmer-Cooper et al., Nat. Phys. 4, 711 (2008) https://doi.org/10.1038/nphys1025 ;
    M. L. Manning, A. J. Liu, Phys. Rev. Lett. 107, 108302 (2011). https://doi.org/10.1103/PhysRevLett.107.108302

  14. 14. L. Berthier, Physics 4, 42 (2011). https://doi.org/10.1103/Physics.4.42

  15. 15. G. L. Hunter, E. R. Weeks, Rep. Prog. Phys. 75, 066501 (2012). https://doi.org/10.1088/0034-4885/75/6/066501

  16. 16. T. Vicsek, A. Zafeiris, Phys. Rep. 517, 71 (2012). https://doi.org/10.1016/j.physrep.2012.03.004

  17. 17. 17. M. Mézard, A. Montanari, Information, Physics, and Computation, Oxford U. Press (2009).

  18. 18. J. Zhao, S. L. Simon, G. B. McKenna, Nat. Commun. 4, 1783 (2013). https://doi.org/10.1038/ncomms2809

More about the Authors

Ludovic Berthier is a CNRS research director at the University of Montpellier in Montpellier, France. Mark Ediger is a professor of chemistry at the University of Wisconsin–Madison.

This Content Appeared In
pt_cover0116_forLiz.jpg

Volume 69, Number 1

Related content
/
Article
Technical knowledge and skills are only some of the considerations that managers have when hiring physical scientists. Soft skills, in particular communication, are also high on the list.
/
Article
Professional societies can foster a sense of belonging and offer early-career scientists opportunities to give back to their community.
/
Article
Interviews offer a glimpse of how physicists get into—and thrive in—myriad nonacademic careers.
/
Article
Research exchanges between US and Soviet scientists during the second half of the 20th century may be instructive for navigating today’s debates on scientific collaboration.
/
Article
The Eisenhower administration dismissed the director of the National Bureau of Standards in 1953. Suspecting political interference with the agency’s research, scientists fought back—and won.
/
Article
Alternative undergraduate physics courses expand access to students and address socioeconomic barriers that prevent many of them from entering physics and engineering fields. The courses also help all students develop quantitative skills.

Get PT in your inbox

Physics Today - The Week in Physics

The Week in Physics" is likely a reference to the regular updates or summaries of new physics research, such as those found in publications like Physics Today from AIP Publishing or on news aggregators like Phys.org.

Physics Today - Table of Contents
Physics Today - Whitepapers & Webinars
By signing up you agree to allow AIP to send you email newsletters. You further agree to our privacy policy and terms of service.