The shape of black hole jets

Artist illustration of a black hole jet, which transitions from a parabolic to a conical shape.
Abigail Malate/AIP
Whereas many of the supermassive black holes at the cores of most galaxies are quiescent, some of them become active galactic nuclei—cosmic engines that propel particles and energy in narrow jets extending far beyond the host galaxy. Astronomers have spotted AGNs for decades by identifying the twin, seemingly conical jets that light up across the electromagnetic spectrum. On the basis of those observations, the idea that the jets were shaped like cones became widely accepted.
Only in the past decade has the intricacy of those jets been probed. In studies of their shape, new evidence suggests that many of the jets have a parabolic profile before shifting to the more familiar conical shape. Which forces cause the shift, and in general shape the jets, is a subject of active research, with speculation ranging from the gravity interplay between the black hole and its galaxy to insulation by the surrounding gas.
The rethinking of the jets’ shape began on the theory side. In 1985 Gabriele Ghisellini at the National Institute for Astrophysics in Rome and collaborators calculated that different jet geometries would lead to different observed properties of the emitted radiation. A conical shape would explain characteristics such as the jets’ EM spectra. But other properties, such as the energy distribution across the spectrum, could be explained only if the jets have both parabolic and conical components
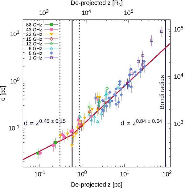
Still, it took another quarter century to obtain observational evidence that would overturn the paradigm of strictly conical jets. In 2012 Keiichi Asada and Masanori Nakamura, at Academia Sinica in Taiwan, investigated the velocities of particles in the Earth-facing jet emanating from the central black hole of the supergiant elliptical galaxy Messier 87 (M87). They were looking for an acceleration zone hinted at in previous observations. “In the theory of magnetohydrodynamic jets, it is expected that acceleration and collimation of gas will happen simultaneously,” Asada says. “Therefore, we carefully checked the jet structure.”
Using multiple networks of radio telescopes from around the world, Asada and Nakamura probed the jet’s structure by measuring cross sections at various distances from the black hole. Just as Ghisellini and colleagues had predicted, the researchers found that the part of the jet closer to the black hole has a parabolic profile that changes to a conical one
For astronomers, M87’s black hole is special among AGNs. Its proximity (about 54 million light-years away) and large mass (some 6 billion solar masses) allow analysis at high resolution. (It was recently imaged by the Event Horizon Telescope
Glimpses of the answer appeared over the next seven years, as researchers discovered six more black holes whose jets have a parabolic base. Juan Carlos Algaba, at the University of Malaya in Malaysia, studied one of them, from quasar 1633+382
Like the jet of M87’s central black hole, the newly identified jets transitioned from parabolic to conical structure about 105 to 106 Schwarzschild radii from the AGN, which is comparable to the size of their host galaxies. That specific distance also stands out because it is where the gravitational influence of the galaxy overtakes that of the active nucleus. The jet structure may be determined by the gravitational effect on the pressure balance between internal and external gas, Asada says. “The transition might happen because the dominant component determining the external pressure changes from the supermassive black hole to the host galaxy.”
New insights came last year with a study
The researchers found the parabola-to-cone transition in 10 jets, all of them located at the relatively nearby distance of less than 1 billion light-years from Earth. For comparison, most of the jets in the sample are more than 20 times as distant. Another 19 nearby jets either looked purely parabolic or had an unclear shape.

Multifrequency observations of NGC 315 reveal a transition from a parabolic (left) to conical (right) shape of the black hole jet.
B. Boccardi et al., Astron. Astrophys. 647, A67 (2021)
The MOJAVE results seem to suggest that with sufficient resolution, astronomers would find that most jets have the newly identified parabolic–conical shape. But there could be something else at play, Lister says. The distant jets must be more powerful to be observed, and previous research has shown that such jets can behave differently. “The parabolic–conical transition may be an additional such property,” Lister says. Another potential explanation proposed by the MOJAVE researchers is that the jet is initially collimated and accelerated magnetically and that the shape transition happens when most of the magnetic energy has been converted into kinetic energy of the jet’s particles.
An additional wrinkle came in a study
On the basis of their study, Boccardi and her colleagues suggested yet another mechanism that might be helping shape the jets, one that is dependent on the temperature of the gas in the accretion disk that surrounds the black hole. “The ambient medium in the surroundings of a black hole is complex,” Boccardi says. “There is inflowing gas within the gravitational sphere of influence as well as outflows emanating from the accretion disk.” When examining AGNs in multiple galaxies, she says, the jets that keep their parabolic shape for larger distances tend to come from accretion disks that are fed by colder gas. Boccardi suspects that colder gas can act as a sheath to protect the collimated flow from instabilities, since colder gas that rises from accretion disks tends to do so near the outside of the disk, whereas warmer gas anchors to the inner regions.
Whatever future observations reveal, it’s clear that searches are beginning to go beyond the shape of jets and can now explore their inner workings. There is no lack of theories to be tested. Using radio telescope networks that are linked via very long baseline interferometry, such as the Very Long Baseline Array and the Event Horizon Telescope, researchers can expect to uncover the intricacies of cosmic jets from their source through their intergalactic reach.