Discover
/
Article

Quantum Point Contact Mysteries Reexamined

MAY 01, 2002
The Kondo effect is well established in metals and in quantum dots. Could something similar be occurring in quantum point contacts?

Quantum point contacts represent, in many regards, the simplest system in mesoscopic physics. By applying a voltage to a gate electrode (see the inset of figure 1), researchers can control the width of a constriction between two reservoirs of electrons in a two-dimensional electron gas (2DEG). For sufficiently large negative gate voltages, the constriction is completely closed off, and electrons must tunnel between the reservoirs. But when the voltage is made less negative, the constriction begins to open up, and the conductance through the quantum point contact increases in steps of 2e 2/h (see the article by Henk van Houten and Carlo Beenakker in Physics Today, July 1996, page 22 ).

PTO.v55.i5.21_1.f1.jpg

Quantum point contacts show conductance steps at multiples of 2e 2/h. In addition, there is a structure at 0.7 (2e 2/h) that becomes more pronounced at higher temperatures while the steps become washed out. (Adapted from ref. 1.) Inset: In a quantum point contact, a voltage applied to gate electrodes (green) depletes the density of a two-dimensional electron gas (2DEG, red) in the vicinity of the electrodes until only a narrow constriction connects the electron reservoirs on either side.

View larger

The origin of this quantized conductance is neatly explained using a model of noninteracting electrons. The constriction lets through an integer number of transverse modes, each contributing the unit quantum of conductance, e 2/h; an additional factor of two arises from the spin degeneracy. This system thus provides a clear demonstration of ballistic transport in quantum systems.

But the quantum point contact system has turned out to be more complicated than what this simple picture describes. In 1996, Michael Pepper’s group at the University of Cambridge 1 drew attention to the presence—even in the earliest point contact data—of an additional conductance feature (see figure 1) in the vicinity of 0.7 (2e 2/h).

The nature of this “0.7 structure” has proved elusive. “It’s the single most important open problem in the field of quantum ballistic transport,” claims Beenakker (University of Leiden). Various experimental observations clearly suggest that spin plays a significant role in the origin of the structure, but most current models are based on phenomenology and not on a detailed microscopic theory. A new suggestion—that the low-conductance behavior has its origins in the Kondo effect—is still largely phenomenological, but is attracting much attention. This conjecture has been proffered by Charles Marcus and his colleagues Sara Cronenwett and Heather Lynch at Harvard University, working with David Goldhaber-Gordon (Stanford University), Leo Kouwenhoven (Delft University of Technology), Kenji Hirose and Ned Wingreen (NEC Corp), and Vladimir Umansky (Weizmann Institute of Science). 2

The evidence

Pepper and coworkers have made extensive studies of the 0.7 structure, looking at the effects of temperature, magnetic field, electron density, point contact geometry, and other factors. 3 From their results, along with experiments by Anders Kristensen and colleagues 4 (University of Copenhagen), Robert Clark’s group 5 (University of New South Wales in Australia), and others, a fairly consistent body of experimental data concerning the behavior of the 0.7 structure has emerged.

The 0.7 structure appears even in the cleanest of samples. Although the actual position can vary between 0.6 and 0.8, the feature appears insensitive to the details of the point contact and is never seen below 0.5 (2e 2/h), indicating that the feature is intrinsic and does not arise from impurities or imperfections in the point contact.

The 0.7 structure behaves differently from the conductance plateaus. As the temperature is lowered, the plateaus become sharper but the shoulder at 0.7 disappears, rising to merge with the first conductance step (see figure 1). The conductance in the vicinity of the 0.7 structure also decreases as the bias across the point contact increases.

Key insights into the nature of the 0.7 structure have emerged from its behavior when a magnetic field is applied. As the strength of the field is increased, the 0.7 structure evolves smoothly to become the conductance plateau that appears at 0.5 (2e 2/h) due to the Zeeman splitting of the conductance modes through the point contact. This connection between the 0.7 structure at zero magnetic field and spin polarization effects in higher magnetic field demonstrated the importance of spin in the feature.

Taken together, the experiments indicate that the feature is not a ground-state property of quantum point contacts. Furthermore, the behavior is inconsistent with a noninteracting-electron picture, suggesting instead an unexpectedly prominent role for many-body interactions.

Existing models

For most attempts to understand the origin of the 0.7 structure, the starting point has been the role of spin. Pepper’s group 1,3 and other researchers 6 have linked the 0.7 structure to spontaneous spin polarization. This proposal has met with skepticism from many theorists, however, because of a long-standing theorem by Elliot Lieb (Princeton University) and Daniel Mattis (University of Utah) that proves a static spin polarization can’t exist in a one-dimensional conductor. Proponents counter that the point contact has both a nonzero width and a finite length, so there can be fluctuations that are not allowed in an infinite 1D system.

Kristensen, Bruus, and colleagues have shown that the emergence of the 0.7 feature as the temperature is increased has a thermally activated form, and they interpret the energy scale as being set by an anomalous conducting mode through the point contact. 4 Bruus and coworkers have proposed a phenomenological model, incorporating spin correlations and dynamic partial polarization, that accounts for this activated behavior and many other aspects of the data. 7

But a complete understanding is still missing, says University of Minnesota theorist Leonid Glazman: “To my taste, there’s no good theory of this structure.”

A Kondo-like origin?

As proposed by Jun Kondo in 1963 to explain an anomalous resistance increase in some metals as the temperature is lowered, the Kondo effect involves the coupling of a localized spin—in metals, a magnetic impurity—to the surrounding delocalized electrons. The result is a screening of the localized spin through the formation of spin-singlet correlations with the surrounding electrons. In metals at low temperatures, this coupling increases the resistance by essentially increasing the effective size of the scatterer.

Thirty-five years later, the Kondo effect was observed in a different system: quantum dots (see Physics Today, January 1998, page 17 ). There, an unpaired electron on the dot plays the role of the localized spin, and it couples to the electrons in the adjoining reservoirs. The coherence arising from the Kondo effect’s nonlocal coupling is revealed in increased conductance through the dot at low temperature: The coherence leads to increased tunneling on and off the dot.

Given the experimentally established role of a spin in the 0.7 structure, Marcus and company argue, 2 Kondo-like correlations in point contacts are a natural candidate for the origin of the low-conductance behavior—a possibility that Poul Lindelof (Copenhagen) has also suggested. 8 Such correlations would lead to an increased conductance through the point contact at lower temperatures, explaining why the 0.7 structure disappears into the first conductance step.

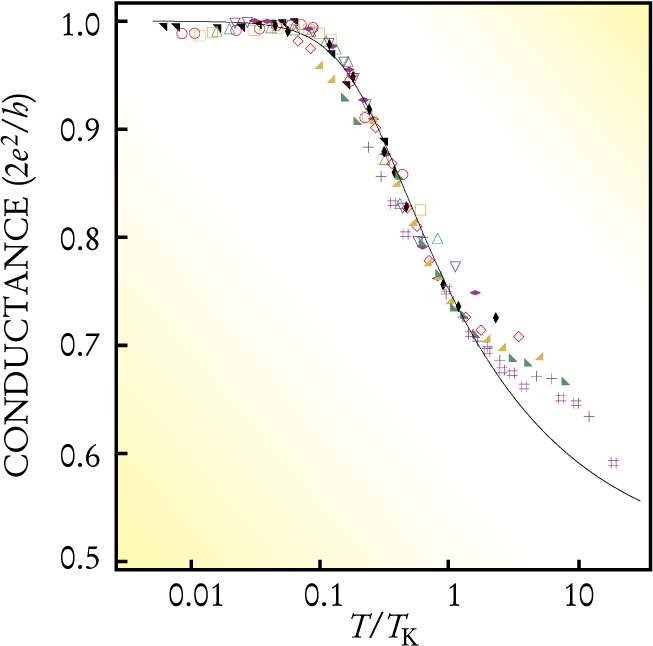
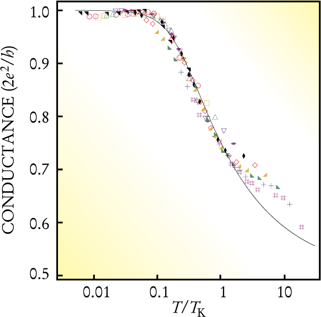
Taking a detailed look at the quantum point contact data, the Harvard team notes that the behavior resembles the Kondo behavior of quantum dots in four ways. Both systems show a conductance peak at zero applied bias at low temperatures. The temperature dependence of the conductance in quantum dots falls neatly onto a single curve when the data are scaled by a gate-voltage-dependent parameter identified as the Kondo temperature; the point contact data can be similarly scaled (see figure 2), although the empirical functional form has an offset. The scaling factor corresponds to the width of the zero-bias peak for both systems. And both systems also show a splitting of the zero-bias peak in a magnetic field by an amount equal to twice the Zeeman energy.

PTO.v55.i5.21_1.f2.jpg

Temperature-dependent conductances through a quantum point contact for different values of the gate voltage (symbols) all fall onto the same curve when scaled by a single parameter T k that depends exponentially on the gate voltage. The solid line is an empirical form assuming Kondo-like behavior.

(Adapted from ref. 2.)

View larger

Yet important differences between the point contact and quantum dot systems have produced some reservations about this conjecture. For starters, quantum dots with an unpaired electron have a well-defined localized spin, as required for the Kondo effect. In a point contact, however, there’s no obvious place for a localized state. But since the behavior is seen for gate voltages close to where the constriction opens up, explains Wingreen, the low density of electrons in the vicinity of the point contact could effectively produce one net spin. This emergence of a localized spin is supported by theoretical models. 6

The difference between the temperature dependences of the dot and point contact raises another concern. The dot’s behavior is well described by a 1961 model proposed by Philip Anderson (Princeton) that considers a single localized spin state. One prediction of that model is that at high temperatures, the conductance drops to values that are small compared to 2e 2/h. But in the point contact system, the conductance remains near 0.7 (2e 2/h) over a broad temperature range. Indeed, the Harvard team finds their scaled conductance data are well described with a high-temperature asymptote of 0.5 (2e 2/h). “If the Anderson model is applicable, one would not expect the conductance to exhibit Kondo behavior with a high-temperature asymptote of 0.5 (2e 2/h) or higher,” says Glazman. “It remains a puzzle.”

Many theorists and experimenters are already working on solving that puzzle. The debate over the nature of the 0.7 structure is not settled, though. Pepper argues that the tendency of the 0.7 structure to approach 0.5 in samples with low carrier density supports a picture of spontaneous spin polarization. “Many people have looked at this problem and Kondo has been considered,” he says, “but it is not in agreement with the totality of the experimental results.” In the view of MIT’s Leonid Levitov, however, “a Kondo explanation agrees fairly well with observations and is plausible with theory.” Bruus concurs: “The data indicate it’s Kondo physics, but a different kind of Kondo than we’re used to—it’s more dynamical, with the spin not localized in the same manner.” Still, a detailed model that fully accounts for the Kondo-like behavior—or any other origin—has yet to be formulated.

References

  1. 1. K. J. Thomas, J. T. Nicholls, M. Y. Simmons, M. Pepper, D. R. Mace, D. A. Ritchie, Phys. Rev. Lett. 77, 135 (1996). https://doi.org/10.1103/PhysRevLett.77.135

  2. 2. S. M. Cronenwett, H. J. Lynch, D. Goldhaber-Gordon, L. P. Kouwenhoven, C. M. Marcus, K. Hirose, N. S. Win-green, V. Umansky,Phys. Rev. Lett. (in press); http://arXiv.org/abs/cond-mat/0201577 .

  3. 3. See, for example, N. J. Appleyard et al., Phys. Rev. B 62, 16275 (2000). https://doi.org/10.1103/PhysRevB.62.R16275

  4. 4. A. Kristensen et al., Phys. Rev. B 62, 10950 (2000). https://doi.org/10.1103/PhysRevB.62.10950

  5. 5. D. J. Reilly et al., Phys. Rev. B 63, 121311 (2001). https://doi.org/10.1103/PhysRevB.63.121311

  6. 6. See, for example, C.-K. Wang, K.-F. Berggren, Phys. Rev. B 57, 4552 (1998). https://doi.org/10.1103/PhysRevB.57.4552

  7. 7. H. Bruus, V. Cheianov, K. Flensberg, Physica E (Amsterdam) 10, 97 (2001). https://doi.org/10.1016/S1386-9477(01)00061-3

  8. 8. P. Lindelof, Proc. SPIE 4415, 77 (2001). https://doi.org/10.1117/12.425474

More about the authors

Richard J. Fitzgerald, rfitzger@aip.org

Related content
/
Article
The finding that the Saturnian moon may host layers of icy slush instead of a global ocean could change how planetary scientists think about other icy moons as well.
/
Article
/
Article
After a foray into international health and social welfare, she returned to the physical sciences. She is currently at the Moore Foundation.
/
Article
Modeling the shapes of tree branches, neurons, and blood vessels is a thorny problem, but researchers have just discovered that much of the math has already been done.
This Content Appeared In
pt-cover_2002_05.jpeg

Volume 55, Number 5

Get PT in your inbox

pt_newsletter_card_blue.png
PT The Week in Physics

A collection of PT's content from the previous week delivered every Monday.

pt_newsletter_card_darkblue.png
PT New Issue Alert

Be notified about the new issue with links to highlights and the full TOC.

pt_newsletter_card_pink.png
PT Webinars & White Papers

The latest webinars, white papers and other informational resources.

By signing up you agree to allow AIP to send you email newsletters. You further agree to our privacy policy and terms of service.