Ocean pressure sensors characterize a slow-slip earthquake
DOI: 10.1063/PT.3.3219
Off the east coast of New Zealand’s North Island lies the Hikurangi subduction zone, where two tectonic plates slowly converge: The denser Pacific Plate dives, or subducts, beneath the more buoyant Australian Plate. Deep underground, where the plates are warmed by Earth’s mantle, they slide continuously against each other at a rate of 3–6 centimeters per year. Closer to the surface, the motion is more complex: The plates lock together for a year or two and then release their accumulated strain over a period of weeks. The episodes of movement are known as slow-slip events, as distinguished from conventional earthquakes, which last just seconds, are rarer and larger, and occur at even shallower depths.
The basic slow-slip picture emerged about 15 years ago,
1
and the phenomenon has been observed in subduction zones around the world. (See the article by John Vidale and Heidi Houston, Physics Today, January 2012, page 38
Because slow-slip events produce only weak seismic waves—and sometimes none at all—they’re difficult to study with conventional seismometers. And slow-slip regions are often located far offshore, where they can be difficult to probe in situ. Now Laura Wallace (University of Texas at Austin) and her collaborators have shown that slow slip can be detected and characterized using absolute pressure gauges on the seafloor. In an experiment that they dubbed the Hikurangi Ocean-Bottom Investigation of Tremor and Slow Slip—or HOBITSS, in reference to the recent movies filmed in New Zealand—the researchers deployed an array of pressure gauges around the Pacific–Australian plate boundary in May 2014. They recovered the instruments, as shown in figure 1, 13 months later.

Figure 1. Jay Turnbull, a marine technician from the Scripps Institution of Oceanography in San Diego, California, helps to recover one of the instruments that had been monitoring the Hikurangi subduction zone for 13 months.
ANNE SHEEHAN, UNIVERSITY OF COLORADO

The pressure records revealed that when the plates deformed during a slow-slip event in September and October, the overlying ocean pressure changed by several hundred pascals, indicative of a vertical displacement of several centimeters. 2 Surprisingly, the researchers found that the slow slip extended to much shallower depths than was previously thought possible.
High seas
The HOBITSS experiment was Wallace’s first foray into seagoing research. Before that, her work focused on measuring slow slip with GPS, a widely used technique. GPS instruments mounted on stable steel rods drilled into the ground record their day-by-day positions with millimeter precision. Between slow-slip events in the Hikurangi subduction zone, GPS shows the Australian Plate creeping westward, pushed along by the Pacific Plate. During slow slip, the plates decouple, and the Australian Plate lurches to the east.
Because the RF signals between GPS devices and satellites can’t propagate through seawater, GPS measurements are limited to locations on land, which are often far from the slow-slip zone itself. So although GPS can work well for detecting slow-slip events, it often works less well for determining exactly where and by how much the plates have slipped.
Tracking plate movement underwater requires a different method, and several possibilities exist. 3 For example, GPS–acoustic positioning uses sound waves to establish the positions of underwater transponders relative to a ship on the ocean surface; the ship then uses standard GPS to determine its absolute position. The technique has been used to measure the fault slip associated with large earthquakes, but it’s not yet capable of monitoring slow slip: Its accuracy and precision are much poorer than those of land-based GPS. And the ship needs to revisit the transponders for each new measurement, which makes it expensive to conduct observations over long times and large areas.
Pressure gauges have neither of those limitations. Even when cut off from communication with any facility on sea or shore, as they were during HOBITSS, they can save a record of the pressure as a function of time to be analyzed later. And they can detect pressure changes of less than 10 Pa, equivalent to a 1 mm change in water depth. Unlike GPS, pressure gauges can measure only vertical movement, not horizontal, but that’s not a limitation: Between slow-slip events, the Pacific Plate pushes the Australian Plate both downward and westward, and slow slip causes the Australian Plate to recoil both upward and eastward. Measuring the vertical component is sufficient to reconstruct the entire event.
More importantly, though, ocean-bottom pressure measurements depend on several factors—including tides, oceanographic noise, and instrumental drift—that can overwhelm the effects of seafloor deformation. Pressure gauges have been used for more than a decade to measure meter-scale displacements. But teasing out the effects of centimeter-scale slow slip is much more demanding.
The Hikurangi region was an ideal place to meet the challenge. Its slow-slip events recur reliably every couple of years and are detectable from shore, so there was no risk of inadvertently ending the experiment before one had occurred. And because the events are relatively short, lasting weeks rather than months, they can readily be distinguished from the effects of long-term instrumental drift. Tides are also easily accounted for: Though they cause the water depth to oscillate by more than a meter, they’re regular, predictable, and much faster than slow slip.
That leaves oceanographic noise, for which Wallace and company employed a clever new trick. Ocean eddies, the main source of noise most likely to be mistaken for slow slip, are more than 100 km across, several times the size of the whole HOBITSS network, so they’re likely to have nearly the same effect on all the pressure gauges. As figure 2 shows, the researchers placed two of the gauges on the Pacific Plate, where they’d be affected by the eddies but not by slow slip, and the rest on the Australian Plate. By averaging the pressure records of the two Pacific Plate gauges and subtracting the mean from the Australian Plate data, they could—they hoped—get rid of most of the noise.

Figure 2. To measure slow slip off the coast of New Zealand’s North Island, a network of pressure gauges was placed around the Hikurangi Trough, where the Pacific and Australian tectonic plates meet at the seafloor. The sketch below shows the qualitative geometry of the subduction zone. The orange region in the area map indicates the approximate extent of the slow-slip zone; contrary to expectation, it overlaps considerably with the region that hosts conventional earthquakes.

Shallow slip
By the time the researchers recovered their instruments in June of last year, they knew they had been lucky. Land-based GPS measurements showed that not only had a slow-slip event taken place the previous September, but it had been the second-largest ever seen in the 14-year history of monitoring the region. Still, Wallace wasn’t sure that it would be enough. “I was almost afraid to look at the data,” she says. “I was really worried that we weren’t going to see anything.”
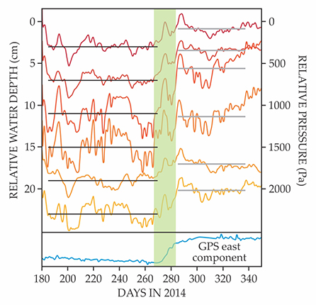
But their noise-reduction innovation had been sufficient. As shown for a subset of the instruments in figure 3, each of the Australian Plate gauges recorded a pressure decrease between 100 Pa and 600 Pa, which corresponds to a vertical rise between 1 cm and 6 cm, during the same period when GPS had detected the slow slip.

Figure 3. Pressure records, corrected for noise and offset vertically for clarity, from 6 of the 13 pressure gauges placed on the Australian Plate. During a slow-slip event (green stripe) detected by GPS instruments on land (blue), each of the gauges registered a decrease in pressure, corresponding to an upward movement of the tectonic plate. Black and gray horizontal lines represent the average pressure for each gauge during the three months before and two months after the slow-slip event. (Adapted from ref.

With 13 usable pressure records spanning hundreds of square kilometers, the researchers could get a reasonably clear picture of the extent of the slow-slip region, shown approximately by the orange area in figure 2. They found that slow slip extended almost all the way to the Hikurangi Trough, where the two plates meet at the seafloor. Thus, the slow-slip zone overlaps considerably with the region that was thought to host only conventional earthquakes—and indeed is known to have hosted large earthquakes in the past.
Such shallow slow slip—within 2 km of the seafloor, and possibly much less—is both puzzling and promising. Propagation of slow slip so close to the seafloor was an unexpected result that scientists now need to explain. On the other hand, 2 km is within the range that’s accessible to current deep-sea drilling technology. (See the article by Susumu Umino, Kenneth Nealson, and Bernard Wood, Physics Today, August 2013, page 36
References
1. M. M. Miller et al., Science 295, 2423 (2002); https://doi.org/10.1126/science.1071193
K. Obara, Science 296, 1679 (2002). https://doi.org/10.1126/science.10703782. L. M. Wallace et al., Science 352, 701 (2016). https://doi.org/10.1126/science.aaf2349
3. R. Bürgmann, D. Chadwell, Annu. Rev. Earth Planet. Sci. 42, 509 (2014); https://doi.org/10.1146/annurev-earth-060313-054953
H. Fujimoto, Monogr. Environ. Earth Planets 2, 23 (2014). https://doi.org/10.5047/meep.2014.00202.0023