Fluorescent molecules offer another route to efficient organic LEDs
DOI: 10.1063/PT.3.1871
The promise of organic LEDs comes in part from their flexibility, both figurative and literal. Organic chemical space is vast, and molecules can be designed to emit in any part of the visible spectrum. The colors can be combined to give good quality white light, or they can be used on their own in electronic displays that are thin, lightweight, and even transparent and pliable.
But not every organic molecule makes for a good OLED. The electrically generated excitations have random spins, so excited-state molecules are about three times as likely to end up in a spin triplet state, from which phosphorescence is quantum mechanically forbidden and thus unobservably slow, as in a spin singlet state that readily fluoresces. Quantum efficiency is thus capped at an impractically low 25%.
In 1998 Marc Baldo, Mark Thompson, Stephen Forrest, and colleagues at Princeton University and the University of Southern California demonstrated a way to boost that quantum efficiency to near 100%. Their innovation was to use organic molecules that incorporate atoms of platinum or iridium, whose strong spin–orbit couplings facilitate phosphorescence from the triplet state.
1
Phosphorescent OLED displays have since found their way into mobile phones, digital cameras, and, more recently, televisions. (See Physics Today, November 2008, page 26
But Pt and Ir are expensive, and phosphorescent OLEDs have other disadvantages. The best blue OLEDs created so far are less stable than their red and green cousins, which limits the lifetime of OLED displays. And phosphorescent OLEDs convert singlet excitations into less energetic triplets before converting them into light, to the detriment of the energy efficiency.
Now Chihaya Adachi and colleagues at Kyushu University in Japan have designed another class of high-efficiency OLED molecules with the potential to solve all those problems. 2 In their new materials, as shown in figure 1, triplet molecules are promoted after a time into the readily fluorescing singlet state by thermal energy, in a process known as thermally activated delayed fluorescence (TADF)—Adachi and company also call it “hyperfluorescence.” The TADF OLEDs can be made to emit in a range of colors and are poised to rival phosphorescent devices in efficiency.

Figure 1. In an organic LED, electrically excited molecules are either spin singlets or spin triplets, depending on the combined spin of the electrons in the highest occupied and lowest unoccupied molecular orbitals (HOMO and LUMO). Fluorescence (emission from the singlet state) is efficient, but singlets account for just 25% of all excitations. Phosphorescence (emission from the triplet state) is quantum mechanically forbidden, but it can be observable in molecules containing platinum or iridium. Molecules designed to have a small enough energy difference ΔE can undergo thermally activated delayed fluorescence (TADF).

Fluorescence by design
Getting TADF to work took some clever molecular engineering, guided by quantum mechanics. In most fluorescent molecules TADF is negligible, because the energy difference ΔE between the triplet and singlet excited states is too big: 0.5–1.0 eV, more than an order of magnitude greater than the thermal energy per particle at room temperature. That energy difference is a result of the exchange interaction between the electron in the lowest unoccupied molecular orbital (LUMO, so named because it would be unoccupied were the molecule in its ground state) and the lone electron remaining in the highest occupied molecular orbital (HOMO). A quantum phenomenon with no classical analogue, the exchange interaction depends on the exchange symmetry of the spatial wavefunction of the LUMO and HOMO electrons: In the singlet state, the spatial two-electron wavefunction is symmetric (because the spin wavefunction is antisymmetric); in the triplet state, it’s antisymmetric.
The magnitude of the exchange interaction is a function of the orbital overlap between the HOMO and LUMO. Typically in fluorescent molecules, both orbitals spread over the entire molecule, so there is large orbital overlap and large ΔE. Adachi and colleagues sought to minimize ΔE by forcing each orbital to reside on a different part of the molecule.
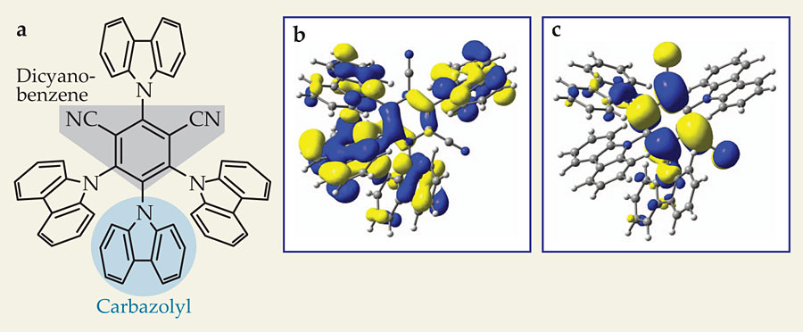
The molecules they settled on are called carbazolyl dicyanobenzenes (CDCBs), one of which is shown in figure 2a. If that molecule were planar, its electronic orbitals would indeed spread across the whole molecule—much as they do, for example, in graphene. But the outer carbazolyl groups are too big to fit in the plane; their bulkiness causes them to twist by about 60°. Calculations show that the HOMO is mostly restricted to the carbazolyl groups (figure 2b) and the LUMO to the central dicyanobenzene ring (figure 2c). As a result, ΔE is reduced to less than 100 meV.

Figure 2. In carbazolyl dicyanobenzenes (a), the outer carbazolyl groups are too big and bulky to lie in the plane. As a result, the highest occupied molecular orbital (b) and lowest unoccupied molecular orbital (c) are localized on different parts of the molecule. The limited overlap between the two orbitals is the key to efficient thermally activated delayed fluorescence. (Adapted from ref.

Under UV illumination, the molecule shown in figure 2 has a fluorescence peak in the green; it’s the second test tube from the left in figure 3. The researchers created a family of CDCBs, shown in the other test tubes, by changing the number and positions of the carbazolyl groups and by adding larger organic structures around the edges of the molecule. Many similar molecules remain to be explored.

Figure 3. Fluorescence of six carbazolyl dicyanobenzenes under UV illumination. (Adapted from ref.

The fluorescence consisted of two distinct components: One, with a lifetime of a few nanoseconds, was consistent with prompt fluorescence from molecules that originated in the singlet state; the other, with a lifetime of several microseconds, was slow enough to be TADF. To make sure they were seeing TADF, the researchers looked at the temperature dependence. At colder temperatures, the microsecond component grew slower and dimmer, just as expected for a thermally activated process.
To make their prototype OLEDs, Adachi and colleagues embedded each CDCB in an organic host film, then sandwiched the film between two electrodes. Their green OLED, made with the molecule in figure 2, performed well, with a quantum efficiency between 64% and 96%. (Because only a fraction of the photons emitted inside an OLED make it out of the device, the researchers had to estimate the quantum efficiency from the observed output efficiency, which was 19%.) The orange and blue OLED efficiencies lagged behind the green, but they were still more efficient than conventional fluorescent OLEDs, whose quantum efficiencies cannot exceed 25%.
Achieving consistent efficiency across the visible spectrum is still a challenge. So, too, is tailoring the fluorescence wavelengths to the exact shades of red, green, and blue that are needed for displays. Perhaps most important is ensuring that the new OLEDs are stable enough to be commercially viable. But if those obstacles can be overcome, the possibilities opened up by TADF OLEDs have many experts excited. Says Baldo, “This is without doubt the most interesting and important result in OLEDs of the last several years.”
References
1. M. A. Baldo et al., Nature 395, 151 (1998). https://doi.org/10.1038/25954
2. H. Uoyama et al., Nature 492, 234 (2012).https://doi.org/10.1038/nature11687