Discover
/
Article

Can Polymeric Carbon-60 Be Magnetic?

DEC 01, 2001
If a recent experiment is confirmed, theorists will be challenged to explain the evidence for weak ferromagnetism in a compound made solely of carbon.

A research team has polymerized carbon-60 at high pressures and temperatures and reported 1 that the product exhibits ferromagnetic properties at surprisingly high temperatures: near 500 K. Naturally, such an announcement elicits skepticism, because the constituent molecules have no magnetic moments and also because there have been premature claims of ferromagnetic behavior in other organic polymers. 2

The experimenters—who hail from Russia, Sweden, Germany, and Brazil—were themselves duly cautious about this serendipitous result, discovered while they were looking for superconductivity. After spending two years ruling out spurious effects from possible impurities, the collaborators decided to publish. “They’ve made a reasonable argument for ferromagnetism,” comments Joe D. Thompson of Los Alamos National Laboratory, “and produced compelling evidence that the material should be studied further.”

Further studies will be motivated by two factors. One is the intrinsic curiosity about what might cause magnetic behavior in a structure made solely of carbon, an atom that has no unpaired electrons.

The second factor is interest in possible applications. Considerable re search is already focused on producing molecule-based magnets, fueled by the ease with which such magnets might be made and the ability to modulate their properties by synthetic chemistry techniques. Some researchers have looked for magnets that have no metallic atoms and that hence might be less dense. However, as team member Tatiana Makarova of the Ioffe Physico-Technical Institute in St. Petersburg, Russia, cautions, “the application of this material is only a dream. The samples are very expensive because we start with a costly commercial fullerene and use nearly the same technology as that for making artificial diamonds.”

Magnetism was seen in a metal-free organic compound about ten years ago, 3 but it had a very low Curie temperature T c (the temperature above which magnetization sharply drops). About the same time, a metal-free, fullerene-based molecule was found to exhibit weak ferromagnetism 4 with T c = 16 K. In that material, C60 molecules are intercalated with strong organic donor molecules and receive electrons from them. The newly reported C60 material has attracted attention because it has a high T c without doping.

Magnetic behavior in fullerenes involves electrons from an unfilled p band. That’s rather new, compared with d- and f-band magnetism seen in conventional transition-metal and rare earth magnets.

The behavior of the newly discovered polymerized C60 is similar to that of the inorganic compound calcium hexaboride, which exhibits weak ferromagnetism and a high Curie temperature. 5 Both materials have surprisingly low concentrations of spins, which must somehow become strongly coupled. Also, both are close to a metal-insulator transition. Perhaps theorists will find a connecting thread.

Formed under pressure

The reported magnet is a polymerized form of C60 that consists of two-dimensional layers of the “buckyballs” in a highly oriented rhombohedral phase, as shown in figure 1. The polymer samples were formed under high pressure (6 GPa) and high temperatures (around 1000 K) by researchers at the Institute of High Pressure Physics in Troitsk, Russia. The sample properties were measured by experimenters from collaborating institutes: the University of Umeå in Sweden (where Makarova is now a visiting researcher); Ilmenau Technical University and Leipzig University, both in Germany; and the University of Campinas in Brazil. Although formed under extreme conditions, the materials are subsequently handled at normal pressures and temperatures.

PTO.v54.i12.18_1.f1.jpg

Figure 1. Rhombohedral carbon-60 consists of planes of soccer-ball shaped molecules arranged with hexagonal edges linked to one another by double bonds (red).

View larger

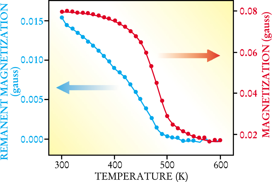
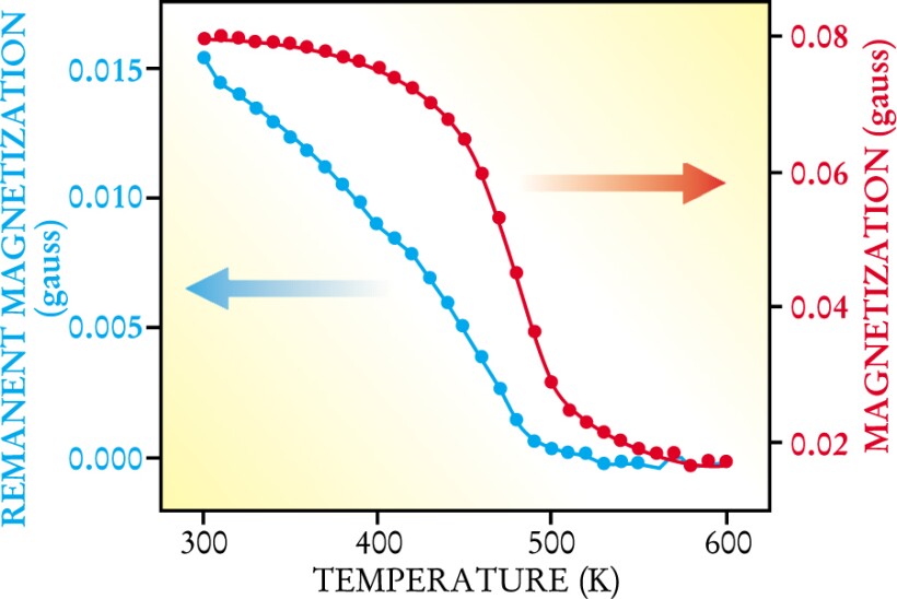
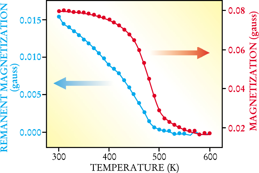
The collaborators also looked at samples of similarly produced onedimensional orthorhombic polymers and two-dimensional tetragonal polymers, but only the rhombohedral C60 manifested ferromagnetic behavior. The temperature dependence of the saturation magnetization, plotted in figure 2, suggests that T c = 500 K. The magnetization has a hysteresis loop, with the remanent magnetization also plotted in figure 2. The rhombohedral C60 polymers are stable and have shown no degradation during the two years they’ve been studied.

PTO.v54.i12.18_1.f2.jpg

Figure 2. Falloff of magnetization for rhombohedral carbon-60 (red), measured at 0.2 tesla, indicates that the Curie temperature is around 500 K. Remanent magnetism (blue) is the magnetism at zero magnetic field determined from hysteresis curves.

(Adapted from ref. 1.)

View larger

All samples have the same T c, Makarova reports. However, the saturation magnetization varied from sample to sample. Throughout preparation, the researchers were extremely careful to avoid impurities, reporting an upper limit of 22 parts per million for the concentration of impurities in their samples. That amount, they estimate, should contribute no more than a few percent of the magnetism they observe. Samples with higher impurity concentrations show smaller saturation magnetism, they say.

Possible mechanisms

The measurements indicate that, on average, only about one in a hundred C60 molecules has an unpaired electron in rhombohedral C60. Any explanation of the magnetic behavior must explain how far-flung spins can become strongly coupled. But the spins may be concentrated in certain domains, and the experimenters report some evidence of a domain structure. In that case, any models of the magnetism must explain why the electrons remain unpaired when carbon atoms with unpaired spins have a strong propensity to form spin-pairing covalent bonds.

Makarova and her colleagues suggest that the material has defects, with one carbon sphere slightly rotated, disrupting the normal bonding between hexagon-hexagon edges of neighboring buckyballs. The resulting bonds might produce a conduction electron that could be the source of itinerant magnetism (so called because the electron is free to travel).

Alternatively, the researchers speculate, the mechanism may stem from self doping caused by destruction of the rhombohedral C60 structure: The magnetic phase appears at temperatures just below the stability limit for the fullerene cages, although Raman and x-ray analyses do not detect any presence of wrecked fullerenes.

If the magnetism does indeed stem from defects in the rhombohedral C60 structure, speculate theorists Marvin Cohen and Steven Louie of the University of California at Berkeley, the effect may not be unique to this material but might show up in other forms of carbon as well.

References

  1. 1. T. L. Makarova, B. Sundqvist, R. Höhne, P. Esquinazi, Y. Kopelevich, P. Scharff, V. A. Davydov, L. S. Kashevarova, A. V. Rakhmanina, Nature 413, 716 (2001) https://doi.org/10.1038/35099527 .

  2. 2. For a cautionary note, see J. S. Miller, Adv. Mater. 4, 435 (1992) https://doi.org/10.1002/adma.19920040614 .

  3. 3. M. Tamura et al., Chem. Phys. Lett. 186, 401 (1991) https://doi.org/10.1016/0009-2614(91)90198-I .

  4. 4. P.-M. Allemand, K. C. Khemani, A. Koch, R. Wudl, K. Holczer, S. Donovan, G. Gruener, J. D. Thompson, Science 253, 301 (1991) https://doi.org/10.1126/science.253.5017.301 .

  5. 5. D. P. Young, D. Hall, M. E. Torelli, Z. Fisk, J. L. Sarrao, J. D. Thompson, H.-R. Ott, S. B. Oseroff, R. G. Goodrich, R. Zysler, Nature 397, 412 (1999) https://doi.org/10.1038/17081 .

Related content
/
Article
The finding that the Saturnian moon may host layers of icy slush instead of a global ocean could change how planetary scientists think about other icy moons as well.
/
Article
/
Article
After a foray into international health and social welfare, she returned to the physical sciences. She is currently at the Moore Foundation.
/
Article
Modeling the shapes of tree branches, neurons, and blood vessels is a thorny problem, but researchers have just discovered that much of the math has already been done.
This Content Appeared In
pt-cover_2001_12.jpeg

Volume 54, Number 12

Get PT in your inbox

pt_newsletter_card_blue.png
PT The Week in Physics

A collection of PT's content from the previous week delivered every Monday.

pt_newsletter_card_darkblue.png
PT New Issue Alert

Be notified about the new issue with links to highlights and the full TOC.

pt_newsletter_card_pink.png
PT Webinars & White Papers

The latest webinars, white papers and other informational resources.

By signing up you agree to allow AIP to send you email newsletters. You further agree to our privacy policy and terms of service.