Bell Labs Convenes Committee to Investigate Questions of Scientific Misconduct
DOI: 10.1063/1.1506737
For the past two years, the sun has been shining brightly on researchers from Bell Labs, Lucent Technologies, who have come up with a method to endow many organic materials with unexpected and exciting properties. A dark cloud now looms over these researchers because of apparent similarities among figures that they published in different papers, reporting on different experiments. As soon as outside scientists called these similarities to the attention of Bell Labs management, Cherry Murray, senior vice president of physical-sciences research, appointed a special committee to explore whether the figures are evidence of scientific misconduct. The committee, headed by Malcolm Beasley of Stanford University, hopes to complete its inquiry by summer’s end.
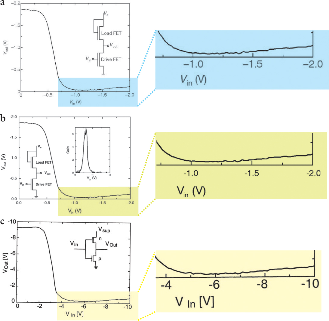
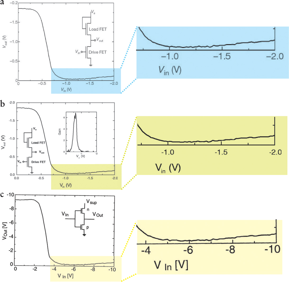
The concern arose when some researchers within Bell Labs told Lydia Sohn of Princeton University that they had noticed a strong resemblance between two papers by three of their Bell Labs colleagues, one appearing in Nature and the other in Science. 1,2 Both papers described field-effect transistors (FETs) made from self-assembled monolayers of organic materials, but the two papers dealt with slightly different materials. One can lay one curve on top of the other and see that the patterns of noise at the low and high voltage ends is the same, down to each supposedly random wiggle, as seen in parts a and b of the figure on page 16. The lead author on both papers, Jan Hendrik Schön, has since claimed he got the figures mixed up and has published a corrected figure. 3
Paul McEuen of Cornell University then found a third figure, from an earlier paper 4 reporting on an FET made with pentacene crystals, whose high voltage tail looks the same as that in the other two papers, as seen in part c of the figure. McEuen and Sohn went on to find two other sets of similar curves from different papers. In all, the suspicions extended to figures from six papers, appearing in Science, Nature, and Applied Physics Letters. Schön is the lead author on all six papers and the only one with his name on each. Since then, questions have been raised about some related Bell Labs papers.
Members of the condensed matter community interviewed for this story were all saddened by these events. They recognize that the evidence, taken at face value, is quite disturbing. However, they are hoping for the most benign possible explanation, which neither invalidates the exciting phenomena that have been reported nor besmirches the reputations of the scientists involved, all of whom have been highly regarded. Some, like Schön have been seen as very promising young researchers, and the most senior-ranking coauthor on many of the papers, Bertram Batlogg (now at ETH Zürich), has a distinguished research record.
Promising devices
Much of the research that is being brought into question uses an FET. Such a device typically consists of a thin crystal that has been coated on top with a thin layer of insulator, usually aluminum oxide. A gate electrode is placed on top of the insulating layer, so that applying a voltage of a given sign to the gate repels charges of the same sign in the crystal, leaving an excess of the opposite charge on the crystal’s surface. A voltage difference applied across the crystal by way of source and drain electrodes then causes current to flow through the charged region.
The FET arrangement essentially allows Schön and colleagues to dope organic materials electronically. They began by studying the semiconducting behavior of organic crystals, measuring mobilities of holes and electrons, and so forth.
5
More dramatically, they reported making superconductors out of such unexpected candidates as pentacene and tetracene (see Physics Today, September 2000, page 16
Such results as superconducting properties of pentacene use the FETs as a tool for doping; other Bell Labs work deals with organic-based FETs as devices in their own right. The three sets of figures originally called into question concern the device characteristics of the FETs.
Even before the recent concern about similar-looking figures, condensed matter researchers had been growing increasingly frustrated and uneasy about the Bell Labs work on organic crystals and thin films because no team had been able to reproduce the results. Arthur Ramirez and his group at Los Alamos National Laboratory now seem to be on the right track: They have used the FET arrangement to dope a C60 crystal grown at Bell Labs and to reduce its resistance to a value consistent with metallicity. They are hoping to be able to make it superconduct.
Of course, the lack of confirming evidence is an entirely different matter from evidence of data tampering. As Beasley commented, members of his committee will have to divide the information they are gathering into strong criticism that is a normal part of the scientific process and claims of scientific misconduct.
Ramirez, who once worked at Bell Labs, points out that, though researchers there have published prolifically on organics over the past two years, they spent several years before that assembling the necessary expertise. Establishing a cohesive group of workers with disparate backgrounds is often key to rapid success, Ramirez says.
Two factors have been especially critical in the Bell Labs work: the purity of the organic crystals and the quality of the oxide layer. For holes and electrons to have high mobilities, organic crystals must be free of defects that can trap the excess charges. Ramirez told us that Bell Labs’ Christian Kloc, who has grown most of the labs’ organic crystals, had been working on growing very pure crystals as far back as 1997.
The aluminum oxide layers for the experiments in question were laid down by Schön at the University of Konstanz in Germany, where Schön did his graduate work. He began applying oxide layers to the Bell Labs crystals in Konstanz while waiting for his US visa, and he later continued to use the same sputtering machine because of his familiarity with it. Those trying to reproduce the Bell Labs achievements have asked how the layers in the Bell Labs samples have been able to withstand the reported high voltages without breakdown. High voltages have been necessary to achieve the doping levels required for superconducting behavior, but not for all the observed phenomena.
The inquiry
Serving with Beasley on the investigatory committee are Herbert Kroemer of the University of California, Santa Barbara; Supriyo Datta of Purdue University; Herwig Kogelnik of Bell Labs; and Donald Monroe of Agere Systems, a spinoff of Lucent. Beasley had a hand in picking his committee. When asked whether it was appropriate to include members from Bell Labs or related institutions, he answered that there are precedents for such members: The benefit of including them is to help other committee members understand the institution under investigation and to lend legitimacy for the researchers from that institution.
As for the scope of the inquiry, Beasley said that is not yet defined. “We have to go with what we find,” he said. Committee members are receiving lots of information, from Bell Labs and from outside. Their inquiry is being guided by the federal policy on research misconduct, though it technically does not apply to work that does not receive federal funding. Many people are anxious to learn the outcome but, says Beasley, his committee will proceed only as fast “as fairness and thoroughness dictate.”
In the meantime, Murray told us, Bell Labs has offered its complete cooperation. It will open its doors and its books to the investigators. She expressed her gratitude that the committee members, whom she described as “blue ribbon panelists,” had agreed on such short notice to serve. They plan to make the committee’s report public.
Murray said the researchers are currently employed, trying to reproduce their results; all are cooperating with the committee. Schön has said he stands behind his work.

Curves Look Identical at the high voltage end in all three panels, taken from different papers, and at the low voltage end for the top two panels. All three give the input-output characteristics of a field-effect transistor, but for different materials: (a) a self-assembled monolayer of undiluted 4,4′-biphenyldithiol, (b) a self-assembled monolayer of the same molecule but diluted with non-conducting molecules, and (c) pentacene.
(Adapted from refs. 1, 2, and 4.)

References
1. J. H. Schön, H. Meng, Z. Bao, Nature 413, 713 (2001).
2. J. H. Schön, H. Meng, Z. Bao, Science 294, 2138 (2001).
3. Correction in Science 296, 1400 (2002).
4. J. H. Schön, S. Berg, Ch. Kloc, B. Batlogg, Science 287, 1022 (2000).
5. See, for example, J. H. Schön et al., Phys. Rev. B 58, 12952 (1998).