Discover
/
Article

An inexpensive crystal makes a fine quantum time machine

NOV 01, 2019
To understand the intricacies of thermodynamics in the quantum regime, it helps to be able to turn back the clock.

The laws of classical mechanics are time reversible. A movie of a particle, or even a few colliding particles, looks equally realistic when played forward or backward. An ensemble of many particles, on the other hand, is characterized by a parameter, entropy, that always increases with time. As the system progresses toward thermal equilibrium, it loses all memory of its initial nonequilibrium state.

Classical physics ultimately derives from quantum physics, because all real-world classical systems are composed of quantum systems. Classical many-body ensembles thermalize, so quantum ones seemingly must do the same. But the nature of quantum time evolution—described mathematically by a so-called unitary operator—means that quantum information can never be created or destroyed and quantum systems can never lose their memory of their previous states.

To resolve that apparent paradox and gain a deeper understanding of what “thermalization” means in the quantum world, researchers seek to study how information propagates across a nonequilibrium quantum system. To do that, they need methods, whether theoretical or experimental, to link the single-body and many-body scales with enough detail and control to coherently track the evolution of quantum states and enough interacting particles to exhibit meaningful thermodynamics. That’s hard.

Now MIT’s Paola Cappellaro and colleagues are finding that a way forward might lie in a surprisingly simple experimental setup: an inexpensive natural crystal—bought from a jewelry vendor on eBay for $10—and an ordinary NMR machine. 1 , 2 The crystalline material, called fluorapatite, has long been recognized as a useful model of one-dimensional spin chains. 3 Its fluorine atoms, depicted in red in figure 1, are arranged into long, well-separated columns that are interrupted only by rare crystal defects.

Figure 1.

PTO.v72.i11.14_1.f1.jpg

Fluorapatite, a natural material sometimes used as an inexpensive gemstone, is a compound of calcium (blue), phosphorus (yellow), oxygen (green), and fluorine (red). Because the distance between F atoms in the horizontal plane is nearly three times the distance between nearest-neighbor F atoms in the vertical direction, the F atoms thus approximate an ensemble of one-dimensional spin chains. (Adapted from W. Zhang et al., Phys. Rev. A 80, 052323, 2009, doi:10.1103/PhysRevA.80.052323

View larger

Fluorine’s only stable isotope is the spin-½, NMR-active 19F. Using the techniques of solid-state NMR (see the article by Clare Grey and Robert Tycko, Physics Today, September 2009, page 44 ), Cappellaro and colleagues are able not only to manipulate and probe the 19F spins but also to tinker with the effective Hamiltonian that describes how the spins evolve. One of the things they can do, importantly, is create opposite-signed versions of the same Hamiltonian, which effectively propagates the system forward and backward in time.

The ability to rewind time lets the researchers construct an experimental measure, based on a so-called out-of-time-order (OTO) commutator, of how thoroughly their spin system has explored its space of available quantum states. Roughly speaking, a system in thermal equilibrium is equally likely to be found anywhere in that space, and a system out of equilibrium is not. By measuring OTO commutators, Cappellaro and colleagues can see how swiftly and completely their spin chains approach equilibrium—and get a glimpse of the peculiar ways in which quantum systems sometimes fail to thermalize.

Out of order

An OTO commutator is similar to the familiar commutators used in quantum mechanics to quantify the compatibility, or lack thereof, of pairs of observables. For example, a particle’s position x and momentum p aren’t simultaneously measurable; if both are measured, the order of the measurements matters. Mathematically speaking, the operators representing those quantities don’t commute: p x x p is nonzero.

The “out of time order” part comes from considering the two operators at different times—say, x at time 0 and p at time t . The OTO commutator asks, Does measuring x ( 0 ) then p ( t ) give the same results as measuring p ( t ) then x ( 0 ) ? That is, does p ( t ) x ( 0 ) x ( 0 ) p ( t ) equal zero?

From a theoretical perspective, there’s nothing paradoxical about the idea of making a later measurement first and an earlier measurement second. One need only write down a factor of e i H t / in between their two operators, where H is the system’s Hamiltonian, to represent the rewinding of time. (Forward-propagating time, in contrast, is represented by e i H t / .)

Experimentally, it’s also possible, at least in principle, to turn back the clock on any quantum system. A quantum state has a unique backward trajectory in time, just as it has a unique forward trajectory, and an ably chosen combination of measurements can extract information about what that trajectory is. Despite their apparent oddity, OTO commutators can make both mathematical and physical sense.

OTO commutators are especially useful as probes of how information spreads throughout a quantum system—as, for example, an initially localized spin excitation diffuses along a chain of interacting spins. At first, the states of spins at opposite ends of the chain are compatible observables—measuring one has no effect on the other. But as time goes by and each spin’s influence spreads across the system, distant spins become progressively more entangled, and their OTO commutator steadily increases with increasing t .

At least, that’s what’s expected of a system that approaches thermal equilibrium. There are at least two ways in which a quantum system might fail to fully explore its space of available states, even at effectively infinite temperature where energy barriers between states no longer matter. First, there’s many-body localization, a cousin to the long-studied and simpler Anderson localization (see the article by Ad Lagendijk, Bart van Tiggelen, and Diederik Wiersma, Physics Today, August 2009, page 24 ). In a many-body localized system, disorder in the Hamiltonian—for example, a spatially varying magnetic field acting on the particles in a spin chain—traps quantum information in localized regions and prevents distant spins from becoming entangled.

Second, there’s prethermalization, in which a system’s conserved (or quasi-conserved) quantities confine it to only a portion of its state space. In that case, the system quickly approaches a partially thermalized—or prethermal—steady state, which spans as much of the quantum state space as is possible subject to the conserved quantities. Full thermalization happens on a much longer time scale, if it happens at all.

Those exceptions to quantum thermalization can be used to construct extraordinary quantum systems, called time crystals, that enter perfectly periodic orbits in state space rather than chaotically exploring the whole space. (See the article by Norman Yao and Chetan Nayak, Physics Today, September 2018, page 40 .) Researchers want to understand more about how many-body localization and prethermalization work. What effects do they produce, and under what conditions? Does anything interesting happen at the boundary between thermalizing and nonthermalizing systems? Are nonthermalizing systems as rare in the quantum world as they are in the classical world, or are they common?

Into the unknown

Although OTO commutators have been considered theoretically for half a century, the first experimental steps toward using them to study quantum thermalization were taken only in 2017, when two groups independently measured OTO commutators for relatively simple systems. Xinhua Peng, of the University of Science and Technology of China, and her colleagues used NMR measurements on a molecular system containing four spins. 4 And Ana Maria Rey and colleagues at JILA looked at a lattice of trapped ions whose spins rotate collectively. 5 Both groups observed straightforward dynamics that agreed with simulations. Cappellaro and colleagues’ fluorapatite experiments, on long chains of fluorine spins, are the first to study quantum thermalization in a system complicated enough that it’s hard to simulate with high fidelity.

All three groups use similar techniques to turn back the clock on their quantum systems. With a repeating sequence of RF or microwave pulses, they apply a time-dependent perturbation to the system in order to modify the system’s natural Hamiltonian. Carefully chosen pulse sequences can tune Hamiltonian parameters such as the spin–spin interaction strength, turn on or off an effective magnetic field, and even invert the sign of the whole Hamiltonian to make the system effectively propagate backward in time.

Because all the fluorine atoms in fluorapatite reside in identical chemical environments, they all resonate at the same frequency, so NMR can’t address their spins individually. That means that Cappellaro and colleagues can neither prepare nor detect site-specific spin states, and they can’t make different pairs of adjacent spins interact with different strengths. Rather, they’re limited to looking at collective observables such as the total magnetization in some direction. Fortunately, an OTO commutator between two collective observables works just as well for quantifying the system’s exploration of quantum state space as an OTO commutator between the states of distant spins.

An important parameter the researchers can tune is the strength of the interaction between the fluorine spins and the nearby phosphorus spins. The phosphorus spins are randomly oriented, so their net effect is a random, spatially varying magnetic field acting on the F-atom spin chain. The random field is just the kind of disorder to produce many-body localization, as Cappellaro and colleagues observed last year. 1 When they increased the strength of the disorder by applying an RF pulse sequence that enhanced the fluorine–phosphorus coupling, they saw that spin correlations progressively failed to spread along the fluorine chain.

In their latest work, they’ve turned to prethermalization. 2 They turn off the disorder in their effective Hamiltonian, and they replace it with a uniform effective magnetic field of strength g . When g is large enough relative to the fluorine–fluorine spin interaction strength J , the field makes the dominant contribution to the Hamiltonian, and the total energy is approximately proportional to the magnetization in the field direction. Because the magnetization is approximately conserved, the system can no longer efficiently explore the whole state space, which encompasses states with different total magnetization. The quasi-conserved quantity at high g should tip the system into the prethermal regime, as should be evident from OTO commutator measurements.

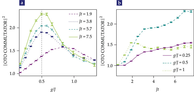
And the hallmark of the prethermal regime is just what they see, as shown in figure 2. The two panels depict the same data plotted in different ways. Each data point corresponds to a single measurement of an OTO commutator for a particular value of the effective field g and the time interval t . The low-field, rapidly thermalizing regime is exemplified by g / J = 0.5 , shown by the vertical dashed line in figure 2a and the blue-green data in figure 2b; the OTO commutator swiftly grows with increasing t . On the other hand, in the high-field, prethermal regime, exemplified by g / J = 1 , the OTO commutator grows for a short time and then stops, signaling that the system has reached a prethermal steady state.

Figure 2.

PTO.v72.i11.14_1.f2.jpg

Prethermalization dynamics emerges in the fluorapatite spin system when the effective magnetic field g is relatively large compared with the spin–spin interaction strength J . (a) When g / J is 0.5 or less, the magnitude of an out-of-time-order (OTO) commutator grows steadily with time t , the hallmark of quantum thermalization. For larger values of g / J , the OTO commutator stops growing when the system reaches a prethermal steady state. (b) Here, the data are plotted as a function of t rather than g . (Adapted from ref. 2.)

View larger

Fluorapatite, therefore, has been shown to be a powerful model quantum many-body system that can be tuned into and out of the prethermalization and many-body localization regimes. Moreover, Cappellaro and colleagues have demonstrated that the OTO commutator can serve as an experimental probe of thermalization dynamics that may be applicable to other physical systems—including, perhaps, ones so complicated that theorists have no idea what to expect.

References

  1. 1. K. X. Wei, C. Ramanathan, P. Cappellaro, Phys. Rev. Lett. 120, 070501 (2018). https://doi.org/10.1103/PhysRevLett.120.070501

  2. 2. K. X. Wei et al., Phys. Rev. Lett. 123, 090605 (2019). https://doi.org/10.1103/PhysRevLett.123.090605

  3. 3. M. Engelsberg, I. J. Lowe, J. L. Carolan, Phys. Rev. B 7, 924 (1973). https://doi.org/10.1103/PhysRevB.7.924

  4. 4. J. Li et al., Phys. Rev. X 7, 031011 (2017). https://doi.org/10.1103/PhysRevX.7.031011

  5. 5. M. Gärttner et al., Nat. Phys. 13, 781 (2017). https://doi.org/10.1038/nphys4119

More about the authors

Johanna L. Miller, jmiller@aip.org

Related content
/
Article
The finding that the Saturnian moon may host layers of icy slush instead of a global ocean could change how planetary scientists think about other icy moons as well.
/
Article
/
Article
After a foray into international health and social welfare, she returned to the physical sciences. She is currently at the Moore Foundation.
/
Article
Modeling the shapes of tree branches, neurons, and blood vessels is a thorny problem, but researchers have just discovered that much of the math has already been done.
This Content Appeared In
pt_cover1119_no_label.jpg

Volume 72, Number 11

Get PT in your inbox

pt_newsletter_card_blue.png
PT The Week in Physics

A collection of PT's content from the previous week delivered every Monday.

pt_newsletter_card_darkblue.png
PT New Issue Alert

Be notified about the new issue with links to highlights and the full TOC.

pt_newsletter_card_pink.png
PT Webinars & White Papers

The latest webinars, white papers and other informational resources.

By signing up you agree to allow AIP to send you email newsletters. You further agree to our privacy policy and terms of service.