Discover
/
Article

Time Measurement at the Millennium

MAR 01, 2001
The latest clocks use a single ion to measure time with an anticipated precision of one part in 1018.

DOI: 10.1063/1.1366066

James C. Bergquist
Steven R. Jefferts
David J. Wineland

In 1714, stimulated by another naval disaster attributed to inaccurate navigation, the British Parliament passed the Longitude Act. This act created a prize of £20 000—an enormous sum at that time—to be given to the inventor of an accurate method for determining longitude. It had long been realized that longitude could be calculated from the positions of the Sun or stars if the time were known accurately. What was needed was an accurate, seaworthy clock. John Harrison met the challenge by developing a rugged mechanical clock, accurate within a few seconds over several months. After years of bureaucratic foot-dragging, he eventually received the prize. 1

Navigation has continued to be one of the principal applications of accurate clocks. Indeed, we already take for granted the GPS (Global Positioning System) whose phenomenal navigational accuracy is based on clocks that keep time within 3 nanoseconds. However, navigation has not always provided the stimulus for better clocks. In some cases, such as the development of the atomic clock, navigation was the beneficiary of advances elsewhere in physics.

For modern-day physicists, the pursuit of better clocks provides a natural means for studying various aspects of nature, including the fundamental constants and the interaction of radiation and matter. Those of us who measure time are mindful of the practical applications, but we are also strongly driven by scientific considerations and the desire to apply clocks to other interesting measurements. Perhaps we will one day find that clocks, whose frequencies depend differently on the basic forces, diverge in time, signaling a fundamental change in how we perceive nature. 2

Although a unit of time can be constructed from other physical constants, time is usually viewed as an arbitrary parameter to describe dynamics. The frequency of any periodic event, such as the mechanical oscillation of a pendulum or the quantum oscillation of an atomic dipole, can be adopted to define the unit of time, the second.

For centuries, the mean solar day served as our unit of time, but Earth’s period of rotation is irregular and slowly increasing. In 1956, the International Astronomical Union and the International Committee on Weights and Measures recommended adopting Ephemeris Time—based on Earth’s orbital motion around the Sun—as a more accurate and stable basis for the definition of time.

Four years later, the two organizations’ recommendation was formally ratified by the General Conference on Weights and Measures.

Until the definition of the second in terms of atomic time in 1967, much of the work of the National Bureau of Standards (NBS, the forerunner of NIST—the National Institute of Standards and Technology) and other standards laboratories was devoted to developing reliable secondary standards, such as lumped-element circuits and quartz crystals, whose resonant frequencies could be calibrated relative to Ephemeris Time (1 s was defined as 1/31 556 925.9747 of the year 1900). 1

Frequencies derived from resonant transitions in atoms or molecules offer important advantages over macroscopic oscillators. Any unperturbed atomic transition is identical from atom to atom, so two clocks based on such a transition should generate the same time. Also, unlike macroscopic devices, atoms do not wear out. And, at least as far as we know, they do not change their properties over time. These features were appreciated by Lord Kelvin, who suggested using transitions in hydrogen as a time-keeping oscillator. However, it wasn’t until the mid-20th century that technology made these ideas possible.

The first atomic clock was developed in 1949 by Harold Lyons of NBS, and was based on the inversion transition in ammonia, which occurs at a frequency of about 24 GHz. In the mid-1950s, Louis Essen and John Parry of Britain’s National Physical Laboratory made a significantly more stable and accurate atomic clock based on the ground-state hyperfine transition in cesium. As NBS and other national laboratories developed cesium standards, pressure mounted for an atom-based definition of time.

This change occurred in 1967 when, by international agreement, the second was defined as the duration of 9 192 631 770 periods of the radiation corresponding to the transition between the two hyperfine levels of the ground state of the 133Cs atom. 1 This definition made atomic time agree with the second based on Ephemeris Time, to the extent that measurement allowed.

Atomic clock recipe

The basic idea of most atomic clocks is straightforward. First, identify a transition between two nondegenerate eigenstates of an atom. Then, create an ensemble of these atoms—in an atomic beam or storage device, for example. Next, illuminate the atoms with radiation from a tunable source that operates near the transition frequency f 0. Sense and control the frequency where the atoms absorb maximally. When maximal absorption is achieved, count the cycles of the oscillator: A certain number of elapsed cycles generates a standard interval of time.

It is not quite as straightforward to put the recipe into practice. To sense the atomic transition, a difference in populations between the states of the selected transition must already exist or be created. Optimal performance is obtained when all the atoms are prepared in one of the states.

Changes to the difference in state populations caused by the tunable “clock” radiation can be probed by a number of schemes. For example, changes in state populations could be detected by absorption of the clock radiation (as was done in the first ammonia clock) or by looking at state-sensitive light scattering. If a number of absorption measurements are performed for a range of frequencies of the clock oscillator, an absorption feature, or resonance curve, can be recorded.

Because the degree of absorption is not very sensitive to small changes in frequency of the oscillator near the center of the resonance curve, the atoms are usually irradiated at two frequencies near the maximum slopes of the curve on opposite sides of its center. If the resonance curve is symmetric and the two frequencies are adjusted so that the absorptions on opposite sides of the resonance are the same, then the arithmetic mean of the two frequencies corresponds to the condition for maximum absorption. In practice, the determination of the frequency corresponding to maximum absorption is limited by noise. With care, we can reduce electronic and other sources of noise so that the measurement precision is limited only by what is known as quantum projection noise. 3

Quantum projection noise can be viewed as arising from the statistical nature of projecting a superposition of two states into one state when a measurement is made. Whenever an atom is prepared in a coherent superposition of two states, any single attempt to measure the state composition will reveal only one of the states, not a mixture. The average of repeated measurements (or over many atoms in an atomic ensemble) will produce the desired point on the resonance curve with a precision that increases as the square root of the number of measurements (or as the square root of the number of atoms in the ensemble; see the adjacent box). This quantum measurement noise limits our ability to steer the average frequency of the oscillator to the center of the atomic resonance.

The fractional frequency uncertainty Δf m/f 0 of our measurement can be expressed as

Δ f m f 0 = C 2 π f 0 T N M = C 2 π f 0 N T τ ,

where C is a constant of order unity; T is the interrogation time (that is, the time during which the clock radiation is applied before each measurement); N is the number of atoms; and M is the total number of measurements. In the last expression, τ is the total measurement time (over many measurements), and we have assumed that the time between interrogations is small compared to T. The stability of the clock is maximized when Δf m/f 0 is minimized. Clearly, it is important to use a high transition frequency, a large number of atoms, and a long interrogation time.

With this prescription in mind, the makers of atomic clocks seek an atomic transition for which Δf m/f 0 can be made small enough that the desired measurement precision is reached in a practical length of time. Equally important is the degree to which the measured frequency matches the unperturbed resonance frequency f 0 of the atom. Accuracy is maximized when the uncertainty Δf a of deviations from the ideal are minimized, or the fractional frequency inaccuracy Δf a/f 0 is minimized. For that reason, stable and accurate atomic clocks use an atom for which the environmental perturbations to the measured transition frequency are small or easily accounted for. Environmental perturbations can include frequency shifts to the clock transition caused by magnetic fields or collisions between the atoms.

Frequency shifts due to the atoms’ motion can also Doppler-broaden and shift the observed absorption feature. Trapping the atoms eliminates the first-order Doppler shift (proportional to velocity) because the mean velocity of a trapped atom is zero. However, care must be taken that the trapping fields do not uncontrollably perturb the atom’s frequency.

Cooling the atoms suppresses both Doppler broadening and the second-order Doppler or time-dilation shift. With the simplest form of laser cooling, Doppler cooling, 4 temperatures around 0.001 K can be reached, which are sufficient to suppress the time-dilation shift to about 1 part in 1018 (see the article by Wineland and Wayne Itano, Physics Today, June 1987, page 34 ). However, deeper cooling is needed to prevent an untrapped sample of atoms from spreading during the application of the radiation (see the article by Claude Cohen-Tannoudji and Bill Phillips, Physics Today, October 1990, page 33 ).

Quantum limits to spectroscopy

A resonance curve for N atoms is generated by sweeping the probing radiation’s frequency f and recording the outcomes of a meter operator Õ. In a frequency standard, the relevant signal is the change of this measurement outcome with change of frequency—that is, Õ〉/∂f. The uncertainty of a frequency determination is therefore given by Δf m = ΔÕ/|(∂Õ/∂f)|, where (ΔÕ) 2 is the variance of repeated measurements of Õ.

In Ramsey spectroscopy 4 with separable (unentangled) atoms, the state Ψ after the first π/2 pulse is as shown below in the upper panel. After the second π/2 pulse, we measure the number of atoms N + in the excited state | + 〉 (that is, Õ ≡ Ñ+). In this case, Δf m/f 0 = 1/(2πf 0 TN 1/2), the standard quantum limit due to projection noise. 3

Now suppose we replace the first Ramsey pulse with an operation that creates the (entangled) state Ψ shown in the lower panel. In this case, after the second (normal) π/2 pulse, we want to measure parity (that is, O ~ P ~ + ; P + = + 1 1 if the number of |+ 〉 atoms is even, and −1 if the number of | + 〉 atoms is odd). For this case, Δfm /f 0 = 1/(2πf 0 TN), the Heisenberg limit. This gain in precision is due to the fact that we have created a state where the energy between the two states of the superposition is N times larger than the separable-state case. In practice, this means the time to reach a certain measurement precision would be reduced by the number N of entangled atoms, an important improvement because clock outputs are typically averaged for weeks or months to reduce measurement uncertainty. Experimenters are now beginning to create such states for spectroscopy.

PTO.v54.i3.37_1.d1.jpg

Cesium clocks

Even without cooling or trapping, the ground-state hyperfine transition in cesium exhibits many of the desired attributes for making an atomic clock. The resonance frequency is high, the perturbations to the hyperfine energy can be made relatively small, and first-order Doppler shifts can be largely eliminated. 4 NIST (and earlier NBS) and the national laboratories of many countries worldwide have constructed a series of cesium clocks, called primary frequency standards. In most instances, each successive standard has provided a more accurate realization of the definition of the second.

Unfortunately, the hyperfine structure of cesium is not a simple two-level system. Each hyperfine level is composed of several magnetic substates whose degeneracies are removed in the presence of an external magnetic field. Most cesium clocks, including the first six primary standards at NBS, are atomic beam devices that use magnets to reject all magnetic substates except for the F = 4, m F = 0 and F = 3, m F = 0 hyperfine states. The transition frequency between these two states (corrected to zero field) is used as the best approximation of the second because it is the least sensitive to the applied magnetic field.

Although magnetically selected atomic-beam clocks are simple and rugged, their accuracy and stability suffer, in part, from inefficient state selection and short interrogation times (limited by the time of flight of the thermal atoms through the apparatus).

Around 1950, Alfred Kastler developed the concept of optical pumping and proposed using it to perform state preparation and detection. Optical pumping has been used in rubidium atomic standards for many years, 4 but became practical for cesium beam standards only with the development of solid-state lasers in the late 1970s. Optical state preparation and detection of the ground-state hyperfine levels can produce thermal beams with larger useable beam flux and correspondingly smaller Δfm /f 0 than the magnetically selected beam clocks. It also avoids the B-field inhomogeneity associated with magnetic state selection.

The first optically pumped cesium standard at NIST, NIST-7, became the US time and frequency standard in 1993. In NIST-7, atoms from a thermal source first pass through a laser beam that optically pumps all atoms into the F = 3 hyperfine level. The atoms next transit a 1-meter-long region in which the clock radiation is applied. Finally, any atoms making the clock transition into the F = 4 level are detected by state-sensitive fluorescence in a second region crossed by another laser beam. The mean interrogation time of the atoms in NIST-7 is about 7 ms, which produces a resonance linewidth of about 70 Hz. This standard, which remains in operation today, attains values of Δf m/f 0 of about 5 × 10−15 for τ ≈ 1 day.

Had atomic cesium clocks reached their stability and accuracy limit by the mid-1990s? Not quite! Already in the mid-1950s, Jerrold Zacharias had suggested a vertical geometry, or atom fountain, as a way to reach higher resolution (see the letter by Robert Naumann and Henry Stroke, Physics Today, May 1996, page 89 ). He reasoned that if the atoms were launched vertically, then the slower atoms emerging from the oven would be decelerated, stopped by gravity, and fall back toward the source. The speed of most of the atoms in the thermal distribution emitted by the source would carry them to the top of the apparatus, where they would simply stick. If the beam tube is a few meters long, the mean transit time for the returning atoms is about 1 s, and the measured width of the hyperfine resonance about 1 Hz. Zacharias built a fountain apparatus, but saw no signal and abandoned the experiment. It was later determined that the faster atoms collide with the slower atoms and scatter them out of the beam.

Laser cooling brought life back to the fountain concept because all the atoms in the beam could be slowed. In the late 1980s, Steven Chu’s group at Stanford University succeeded in using laser-cooled sodium atoms to demonstrate the first fountain clock. 5 In 1991, a group led by André Clairon and Christophe Salomon at the Laboratoire Primaire du Temps et des Fréquences in Paris built the first cesium frequency standard configured as a fountain. 6 Now, many laboratories have built, or are building, cesium fountain clocks—including NIST, which put one into operation in 1998. 7

The NIST cesium fountain, NIST-F1 (see figure 1), uses six laser beams tuned near the D2, F = 4 → F’= 5 cycling transition (λ = 852 nm) to laser-cool an approximately spherical sample of about 107 cesium atoms in optical molasses. The atoms in the F = 3 hyperfine ground state are not cooled in the molasses and are lost from the sample. The remaining ball of cold atoms is then launched vertically at a velocity of about 4 m s−1 by inducing a frequency difference between the vertical beams that causes the cold atom reference frame to move upward. The atoms drift upward through a microwave state preparation cavity whose frequency is adjusted to cause essentially all of the atoms in the F = 4, m F = 0 state to undergo a transition to the F = 3, m F = 0 state. When the atoms exit this cavity they are irradiated by a pulse of light that is tuned to resonance with the D2, F = 4 → F′ = 5 transition. Any F = 4 atoms remaining in the sample are pushed aside by the absorbed photons, leaving only the F = 3, m F = 0 atoms.

PTO.v54.i3.37_1.f1.jpg

Figure 1. A schematic view of a cesium fountain frequency standard. A sample of 107 cesium atoms is first cooled to 1 µK at the intersection of the laser beams (1) and then launched upward at low velocity through the state preparation (2) and clock (4) cavities. The atoms reach apogee (3) and, about 1 s later, fall back through the clock cavity (4). Light scattered by the probe laser is used to measure the number of atoms that changed their hyperfine state as a result of the interaction with the microwaves.

View larger

The ascending ball of atoms next transits a second microwave cavity, where the atoms are irradiated by the clock radiation. As the atoms continue upward, they exit the upper microwave cavity and enter a drift region. Approximately 1 2 s after launch, their motion is arrested by gravity, and they start to fall. The descending atoms reenter the microwave cavity, where they experience a second dose of the clock radiation. This method of excitation—two pulses of radiation separated by a drift region (or simply by time)—is termed the Ramsey method after its inventor, Norman Ramsey 4 Finally, the atoms enter the detection region, where the population of atoms in F = 4 is determined optically (the number of atoms remaining in F = 3 is also measured for normalization). Then, when another ball of atoms is cooled and launched, the clock cycle is repeated.

In NIST-F1, where the noise is dominated by the short-term frequency fluctuations of the microwave source and not by quantum projection noise, Δf m/f 0 reaches about 2 × 10−15 for τ = 1 day. The quantum noise limit for a cesium fountain is below this value. By using a more stable microwave source and a larger number of atoms, the Paris group demonstrated that it was possible to operate at the quantum projection noise limit reaching about 6 × 10−16 for τ = 5.5 hours. 3

With values of Δf a/f 0 approaching 10−15, the cesium fountain standards are currently the world’s most accurate clocks. Their largest source of uncertainty arises from collisions between the cold cesium atoms, which cause a density- (and temperature-) dependent shift of the hyperfine frequency. Unfortunately, then, a compromise must be made between stability and accuracy.

But it is possible to increase both the stability and accuracy at the same time—by increasing the interrogation time and lowering the atomic thermal velocity. These two avenues are difficult to pursue in the presence of gravity, so, with NASA’s support, NIST, along with the Jet Propulsion Laboratory and the University of Colorado, is currently constructing a laser-cooled cesium clock for flight aboard the microgravity environment of the International Space Station. The project, known as PARCS (Primary Atomic Reference Clock in Space) combines the traditional beam geometry with the cold source of the atomic fountain. The European Space Agency has a similar effort, ACES (Atomic Clock Ensemble in Space). In the absence of gravity, it will be possible to make short beam tubes and still achieve long interrogation times by launching slowly moving samples of cold atoms. PARCS is projected to attain Δf a/f 0 of about 5 × 10−17, due in part to a lower collisional shift and extraordinarily long (by terrestrial standards for neutral beams) interrogation times of up to 10 s.

Long interrogation times can also be obtained by atom trapping. 4 Neutral atoms can be trapped by a number of means, including magnetic or optical-dipole forces. These traps rely on trading an atom’s kinetic energy for internal energy. Unfortunately, this exchange of energy typically perturbs the clock transition so that high accuracy is precluded. However, traps for atomic ions act directly on the charge and, thus, cause minimal perturbations to the internal structure. 8 Because trapping times can be extremely long, very high resolutions can be obtained and linewidths less than 0.001 Hz have been observed. (An atomic fountain would have to be a few 100 km tall to achieve the same resolution.) For high accuracies, relatively small numbers of trapped ions are desirable, which partially offsets the advantages of long interrogation times. Nevertheless, trapped-ion clocks based on microwave hyperfine transitions have achieved stabilities and accuracies comparable to those of cesium fountain clocks. 9

Optical frequency standards

Perhaps the most promising route to better clocks is to use optical transitions, simply because clock stability is proportional to frequency f 0. As early as the 1960s, shortly after the demonstration of the first working laser, researchers began to investigate optical atomic and molecular transitions that might be suitable references for clocks. 10 However, an enormous barrier loomed: No practical device was fast enough to count the optical cycles to generate a unit of time.

Recently that stumbling block was all but eliminated with the demonstration—by Theodor Hänsch and his group in Garching, Germany, and by John Hall, Steven Cundiff, and their group in Boulder—that pulsed lasers can span an octave from the infrared to the ultraviolet with a grid of equidistant marker frequencies that are all phase coherent (ref. and Physics Today, June 1999, page 19 ). As depicted in figure 2, the spectrum of the pulse train from a mode-locked femtosecond laser corresponds to a comb of phase-locked frequency components whose spacing is precisely given by the pulse repetition rate f r. Frequency fluctuations of the pulsed laser can be suppressed, for example, by locking one tooth of the comb to the frequency f 0 of a stable laser and locking another tooth to the harmonic 2f 0 of the stable laser. 12 In this case, the frequency position of each tooth in the comb and the spacing between teeth is fixed with a stability and accuracy given by the stabilized laser. If a microwave or radio frequency oscillator is then locked to the pulse repetition rate, its frequency will exhibit the same stability and accuracy as the stabilized reference laser. Moreover, when f r is compared to a cesium standard, the absolute frequency f 0 = nf r of the optical standard can be determined (n is an integer that can be determined from a relatively crude measurement of λ = c/f 0).

PTO.v54.i3.37_1.f2.jpg

Figure 2. The basic concept of the optical frequency divider. If an integer number n of phase-coherent frequencies, equidistantly spaced by f r, can be made to precisely span the frequency interval f 0 → 2f 0, then the frequency f 0 can be directly measured by measuring f r because f 0 = 2f 0f 0 = nf r. Pulsed lasers can now produce a comb of equally spaced spectral components, or teeth, that straddle an octave in the visible region of the spectrum, making possible the conversion of any optical frequency to a countable radio or microwave frequency.

View larger

A powerful technique for approximating a nearly ideal optical atomic reference system has been the coupling of ion-storage devices with laser cooling. 8,10,13 For example, it is now possible to suspend a single ion in an ultrahigh vacuum, reduce its kinetic energy to the zero-point state, and localize its position to submicrometer dimensions. Such conditions provide a significant decoupling of the internal states of the ion from perturbations caused by collisions and second-order Doppler shifts.

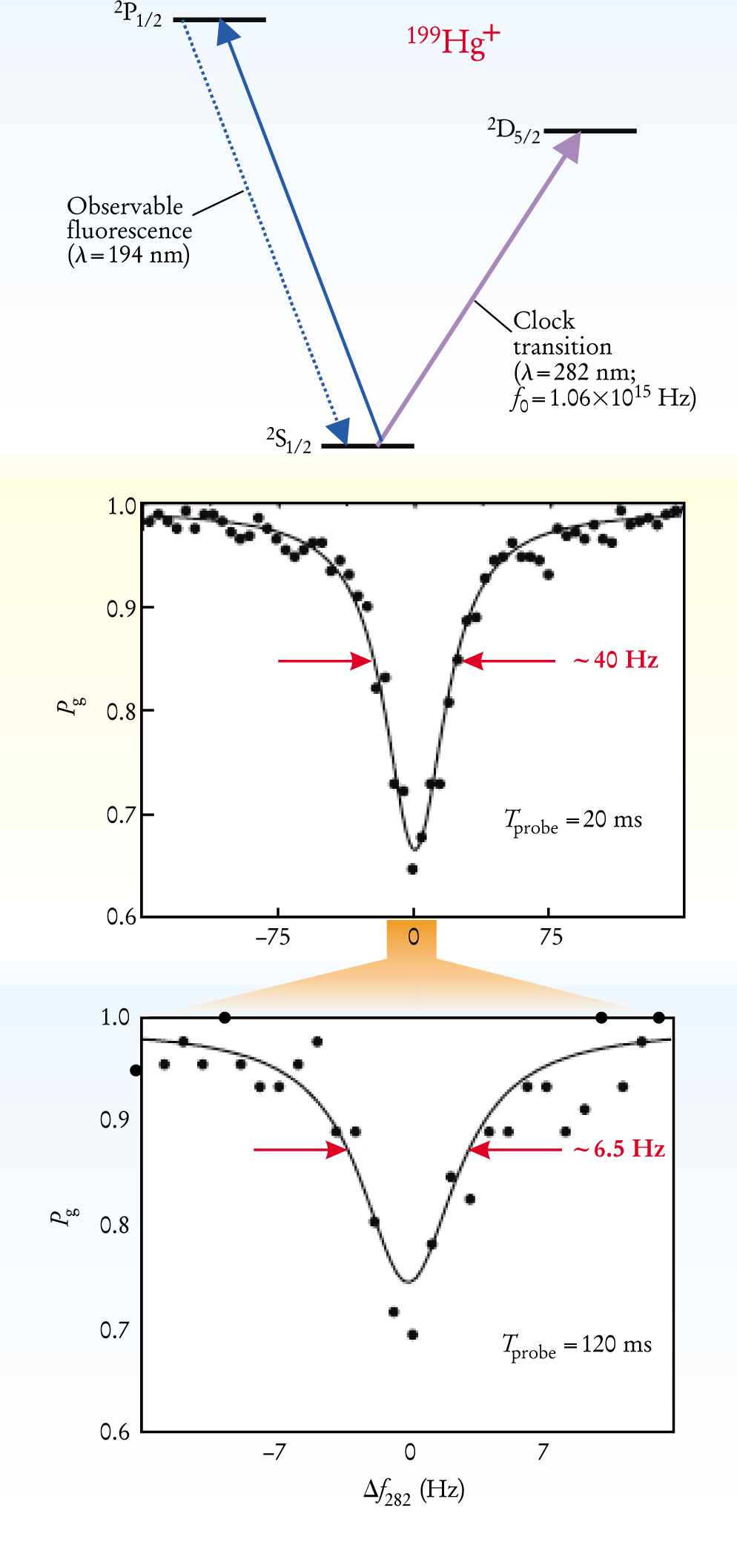
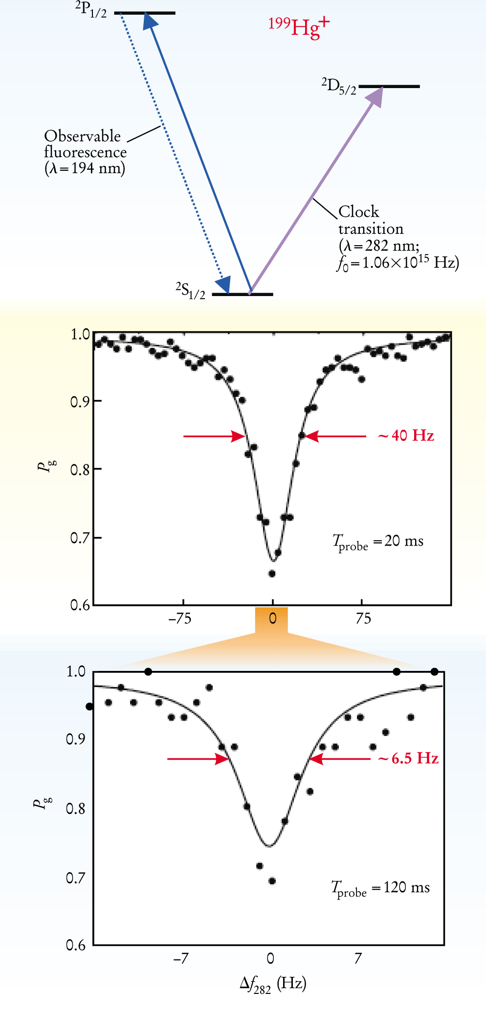
Although a single trapped ion possesses the intrinsic advantages of a nearly isolated quantum system, detecting the absorption of single photons at the clock transition remains a challenge. The quantum projection noise limit can be obtained only if each clock transition is observed. 3,8,13 These transitions are observed by a double-resonance technique, which is very similar to the detection scheme used in the atomic fountains. There, the absorption of a single clock photon is indicated by the presence or absence of scattered light on a strongly allowed transition (usually the laser-cooling transition) that shares a common level with the clock transition, as shown in figure 3. Extremely weak, dipole-forbidden transitions, as well as weakly allowed dipole transitions, have been detected with efficiencies approaching unity. Many of the single-ion systems presently under investigation promise instabilities and inaccuracies approaching 10−18 (refs. ).

PTO.v54.i3.37_1.f3.jpg

Figure 3. Single 199Hg+ ion optical clock. Partial energy-level diagram of 199Hg+ is shown in the upper panel. Cooling, state preparation, and state detection are done on the strongly allowed 2S1/22P1/2 transition at 194 nm. Any clock transition to the 2D5/2 level at 282 nm (the allowed electric-quadrupole transition) is marked by the abrupt cessation of scattered 194-nm fluorescence photons. Absorption spectra of the 2S1/2(F = 0) → 2D5/2(F = 2), Δm F = 0 clock transition are shown in the middle and bottom panels. Δf 282 is the frequency of the 282 nm probe laser detuning and P g is the probability of finding the atom in the ground state subsequent to the application of the clock radiation. In the middle panel, the signal is averaged over 292 sweeps; in the bottom, 46 sweeps are made. The observed linewidths are consistent with the Fourier-transform limit of the interrogation times. The laser oscillator is then steered to coincide with the center of the resonance curve.

(Adapted from ref. 16.)

View larger

A final ingredient needed for the optimal realization of an optical frequency and time standard is a laser whose linewidth is narrower than that of the atomic resonance. This is a stringent requirement. If the width of the atomic resonance is 1 Hz, then the laser linewidth must be less than 1 Hz for the interrogation time. Typically, the frequency of the laser is prestabilized to the resonance of a single longitudinal mode of a high-finesse, stable reference cavity that is well isolated from external perturbances. 14 Many groups have demonstrated subhertz relative stabilization of their laser source to such a reference cavity, but the absolute frequency stability of the stabilized laser can be only as good as the absolute frequency (mechanical) stability of the reference cavity. To ensure that the frequency of a visible laser does not change by more than 1 Hz, the length of a meter-long cavity must not change by more than 1 femtometer, the size of an atomic nucleus!

A number of evacuated, temperature-stabilized and vibrationally isolated reference cavity laser systems have been built over the years specifically to probe narrow atomic resonances. Laser linewidths of a few hundred hertz have been observed by several groups. Although extremely narrow by most standards, these line widths would limit the performance of a clock based on a 1-Hz-wide atomic resonance. At NIST in Boulder, we were recently able to achieve subhertz linewidths, principally by better isolating our cavities. Measurements of the beat frequency between two independent, cavity-stabilized laser systems revealed their linewidths to be below 0.2 Hz at an oscillation frequency of 530 THz (λ = 563 nm) for averaging times up to 20 s. 15

As an example of an optical clock, the harmonic radiation at 282 nm generated by one of these lasers was applied to the electric-quadrupole allowed, S–D clock-transition in 199 Hg +. In work completed last year, we obtained a linewidth of approximately 6.7 Hz, which was the transform limit of the interrogation time. 16 At 120 ms, the interrogation period was 33% longer than the natural lifetime. We used a stabilized, self-referenced, pulsed laser to measure the frequency of the S–D clock transition in 199 Hg + with an uncertainty Δf m/f 0 < 10−14 (ref. ). A single tooth of the pulsed laser (fr~ 1 GHz) was locked to the Hg +-stabilized laser to produce an all-optical time and frequency standard based on a single stored 199 Hg + ion. We expect Δfm /f 0 and Δf a/f 0 to reach at least 10−17 for τ > 104 s. Similar strategies based on narrow optical transitions in other atomic and ionic systems are being pursued at many laboratories worldwide. The clock generation of the future may have arrived with the millennium.

The NIST ion-clock work is supported by the Office of Naval Research.

References

  1. 1. D. Howse, Greenwich Time, Oxford U. Press, Oxford, England (1980).
    J. Jespersen, J. Fitz-Randolph, From Sundials to Atomic Clocks, US Government Printing Office, Washington, DC (1999).

  2. 2. T. Damour, A. M. Polyakov, Nucl. Phys. B 423, 532 (1994) https://doi.org/10.1016/0550-3213(94)90143-0 .
    S. Karshenboim, Can. J. Phys. 78, 639 (2000) https://doi.org/10.1139/p00-045 .

  3. 3. W. M. Itano et al., Phys. Rev. A 47, 3554 (1993) https://doi.org/10.1103/PhysRevA.47.3554 .
    G. Santarelli et al., Phys Rev. Lett. 82, 4619 (1999) https://doi.org/10.1103/PhysRevLett.82.4619 .

  4. 4. W. M. Itano, N. Ramsey, Scientific American 269 (1), 56 (1993) https://doi.org/10.1038/scientificamerican0793-56 .

  5. 5. M. A. Kasevich et al., Phys. Rev. Lett. 63, 612 (1989) https://doi.org/10.1103/PhysRevLett.63.612 .

  6. 6. A. Clairon et al., Europhys. Lett. 16, 165 (1991) https://doi.org/10.1209/0295-5075/16/2/008 .

  7. 7. S. R. Jefferts et al., Metrologia (in press).

  8. 8. H. G. Dehmelt, IEEE Trans. Instrum. Meas. IM-31, 83 (1982) https://doi.org/10.1109/TIM.1982.6312526 .
    D. J. Wineland, Science 226, 395 (1985) https://doi.org/10.1126/science.226.4673.395 .

  9. 9. P. T. H. Fisk, Rep. Prog. Phys. 60, 761 (1997) https://doi.org/10.1088/0034-4885/60/8/001 .
    J. D. Prestage et al. in Frequency Measurement and Control, A. N. Luiten, ed., Springer-Verlag, New York (2000).
    D. J. Berkeland et al., Phys. Rev. Lett. 80, 2089 (1998) https://doi.org/10.1103/PhysRevLett.80.2089 .

  10. 10. See, for example, Proceedings of the 3rd Symposium on Frequency Standards and Metrology, J. Phys. Colloq. 42 (1981). Proceedings of the 5th Symposium on Frequency Standards and Metrology, J. C. Bergquist, ed., World Scientific, Singapore (1996).

  11. 11. J. Reichert et al., Phys. Rev. Lett. 84, 3232 (2000) https://doi.org/10.1103/PhysRevLett.84.3232 .
    D. J. Jones et al., Science 288, 635 (2000) https://doi.org/10.1126/science.288.5466.635 .
    S. A. Diddams et al., Phys. Rev. Lett. 84, 5102 (2000) https://doi.org/10.1103/PhysRevLett.84.5102 .

  12. 12. J. Ye et al. Opt. Lett. 25, 1675 (2000) https://doi.org/10.1364/OL.25.001675 .

  13. 13. A. A. Madej, J. E. Bernard, in Frequency Measurement and Control, A. N. Luiten, ed., Springer-Verlag, New York (2000).

  14. 14. J. L. Hall, M. S. Taubman, Jun Ye, in Handbook of Optics, 2nd edition, vol. 4, Chap. 27, McGraw-Hill, New York (2000), and references therein.

  15. 15. B. C. Young et al., Phys. Rev. Lett. 82, 3799 (1999) https://doi.org/10.1103/PhysRevLett.82.3799 .
    B. C. Young et al., in Laser Spectroscopy, XIV International Conf., Innsbruck, June 1999, R. Blatt, J. Eschner, D. Leibfried, F. Schmidt-Kaler, eds., World Scientific, Singapore (1999), p. 61.

  16. 16. R. J. Rafac et al., Phys. Rev. Lett. 85, 2462 (2000) https://doi.org/10.1103/PhysRevLett.85.2462 .

  17. 17. Th. Udem et al., preprint at http://xxx.lanl.gov/physics/0101029

More about the Authors

James Bergquist, Steven Jefferts, and David Wineland all work in the time and frequency division of the National Institute of Standards and Technology in Boulder, Colorado.

James C. Bergquist. National Institute of Standards and Technology, Boulder, Colorado, US .

Steven R. Jefferts. National Institute of Standards and Technology, Boulder, Colorado, US .

David J. Wineland. National Institute of Standards and Technology, Boulder, Colorado, US .

This Content Appeared In
pt-cover_2001_03.jpeg

Volume 54, Number 3

Related content
/
Article
Technical knowledge and skills are only some of the considerations that managers have when hiring physical scientists. Soft skills, in particular communication, are also high on the list.
/
Article
Professional societies can foster a sense of belonging and offer early-career scientists opportunities to give back to their community.
/
Article
Research exchanges between US and Soviet scientists during the second half of the 20th century may be instructive for navigating today’s debates on scientific collaboration.
/
Article
The Eisenhower administration dismissed the director of the National Bureau of Standards in 1953. Suspecting political interference with the agency’s research, scientists fought back—and won.
/
Article
Alternative undergraduate physics courses expand access to students and address socioeconomic barriers that prevent many of them from entering physics and engineering fields. The courses also help all students develop quantitative skills.
/
Article
Defying the often-perceived incompatibility between the two subjects, some physicists are using poetry to communicate science and to explore the human side of their work.

Get PT in your inbox

Physics Today - The Week in Physics

The Week in Physics" is likely a reference to the regular updates or summaries of new physics research, such as those found in publications like Physics Today from AIP Publishing or on news aggregators like Phys.org.

Physics Today - Table of Contents
Physics Today - Whitepapers & Webinars
By signing up you agree to allow AIP to send you email newsletters. You further agree to our privacy policy and terms of service.