Discover
/
Article

The Search for a Permanent Electric Dipole Moment

JUN 01, 2003
Small-scale experiments sensitive to tiny effects could offer profound insights into what lies beyond the standard model of elementary particles.

DOI: 10.1063/1.1595052

Norval Fortson
Patrick Sandars
Stephen Barr

Half a century ago, Edward Purcell and Norman Ramsey initiated a search for an electric dipole moment (EDM) of the neutron and obtained what was considered at the time a remarkably precise result, consistent with zero. 1 Thus began a long line of ever more sensitive EDM experiments on neutrons, atoms, and molecules. Although no EDM has yet been found, the limits set have had decisive influences on elementary particle theories. Now, experiments under way or being planned may at last find an EDM and, in any event, are expected to have a far-reaching impact on theoretical particle physics.

EDM experiments assume such a key role because an EDM of a fundamental particle implies that time reversal symmetry T is violated. In nearly all current theories, violation of T implies a violation of CP symmetry, a combination of charge conjugation C and parity P (that is, inversion through the origin). Indeed, CP violation was discovered around 40 years ago in the decay of the K0 meson. 2 Most of the theories suggested to explain that violation, though, were eventually ruled out because they predicted relatively large EDMs that were excluded by experiment. Today, the accepted explanation for the K0 meson CP violation is contained within the standard model of particle physics, a theory that leads to EDMs too small to be seen in any current or contemplated experiments. By contrast, in supersymmetry (SUSY), currently the most favored theory of new physics beyond the standard model, the natural size of EDMs is large enough to be seen by experiments now under way. Thus, elusive as EDMs have been, interest in them continues unabated.

The concept of an EDM is familiar to all students of classical electromagnetism, and so it may seem remarkable that a particle can have an intrinsic EDM only if T (and P) are violated. Recall that a charge q displaced from a charge −q by a distance r creates an EDM dq r. A particle’s EDM would necessarily lie along its spin axis, because all components perpendicular to that axis would average to zero; the alignment of spin and EDM is what leads to violations of T and P. As pictured in figure 1, reversing time would reverse the spin direction but leave the EDM direction unchanged, which gives a particle with the opposite direction of EDM relative to spin. Thus, if time reversal were a good symmetry, particles with spin would be doubly degenerate according to whether the EDM is aligned parallel or antiparallel to the spin. Nature provides no such degeneracy for elementary particles or atoms, so the existence of an EDM in such simple systems would be a violation of T. (More complicated systems, such as polar molecules, can and do have such degenerate pairs of states; for a thorough discussion of the subtleties, see reference .)

PTO.v56.i6.33_1.f1.jpg

Figure 1. Fundamental symmetries are violated if an elementary particle or atom has an electric dipole moment (EDM). (a) A spinning particle with an EDM. Inversion through the origin, or parity P, turns the particle shown here into the one depicted in (b). The particle’s spin is unchanged but the sign of the EDM is reversed. Time reversal Ttransforms the original particle into the one shown in (c). That operation reverses the spin and leaves the EDM unchanged. A rotation Rof 180° shows that the particles illustrated in (b) and (c) are identical. Thus, both Pand Tcan be thought of as changing a particle with an EDM parallel to the spin direction into one whose EDM direction is antiparallel.

View larger

Figure 1 also depicts inversion through the origin and shows how an intrinsic EDM violates P. Physicists have known since 1956 that P is violated in the weak interactions; it is the T violation associated with EDMs that makes the experimental hunt interesting.

A far-reaching symmetry

To appreciate fully why EDMs are important, one must understand the significance of CP violation. It is a thread that runs through much of contemporary particle physics (see the article by Helen Quinn in Physics Today, February 2003, page 30 ; see also Physics Today, May 2001, page 17 ).

As a mathematical preliminary, we note that T- and CP -violating interactions can be expressed in terms of phases of complex numbers. Consider, for example, the time-dependent Schrödinger equation:

i ħ Ψ t = ( ħ 2 2 m ) 2 Ψ x 2 + V ψ ,

with V dependent on the position and spin of the particle but, for simplicity, independent of time. If V is real, then T is a good symmetry. That is, given a solution Ψ(t), the time-reversed state Ψ*(−t) is also a solution, as one can readily check by complex conjugating the Schrödinger equation and taking t → −t. Conversely, if V is complex, then T is violated. In that case, one may write V = |V| e iφ= |V| (cos φ + i sin φ) and use the phase angle φ to specify the degree of T violation.

Similarly, complex-number phases in quantum field theories imply violations of T and CP symmetries. For example, one (and only one) such phase δ, parameterizing the interaction of quarks with W bosons, appears in the weak-interaction sector of the standard model. All CP violation known thus far, such as K0 decay, occurs through quark interactions involving that phase. Without any reason for δ to be small, one might expect sin δ to be of order unity: Indeed, experiments show that it is. However, leading-order quark–W interactions contributing to an EDM come in pairs for which the phase cancels, so that EDMs are negligible in the standard model.

The strong (quantum chromodynamics or QCD) sector of the standard model also includes a phase angle leading to possible CP violation. In contrast with quark–W interactions, interactions governed by θ QCD should contribute to EDMs. From the severe limits on the neutron EDM, however, theorists in the mid-1970s already had inferred that θ QCD must be very small, and current experimental limits require θ QCD < 10−10. That the strong interactions so precisely conserve CP is called the strong CP problem. It has plausible solutions, such as the “spontaneous breaking” of CP symmetry or the existence of a new fundamental particle called an axion. 4

Beyond the standard model: Supersymmetry

If the standard model were the whole story, the failure thus far to see an EDM would not be receiving so much attention. For several reasons, though, particle theorists do not believe the standard model is a complete theory. 5 The standard model does not solve the hierarchy problem–why the masses of the known particles are so much smaller than the fundamental Planck mass (1019 GeV/c 2) or the grand-unification mass (1016 GeV/c 2)–and it neither incorporates gravity nor accounts for the particle-antiparticle asymmetry in the universe. Most plausible extensions of the standard model predict new sources of CP violation that lead to EDMs as big as or bigger than the upper limits already established by experiment. The reason is simple: The extensions introduce new particles and forces that are characterized by many additional parameters, some of them complex.

The prevailing view among particle theorists is that the best-motivated extension of the standard model is SUSY, a symmetry that relates bosons and fermions. 5 In the first place, SUSY neatly solves at least part of the hierarchy problem by protecting masses from the quantum corrections that, in standard-model calculations, make them large: In the standard model, one must exquisitely fine tune parameters in order to control masses. SUSY, though, does not explain how the mass hierarchy arises in the first place. Second, SUSY is an ingredient in superstring theory, believed to be a consistent theory of quantum gravity. And third, the coupling parameters of the electromagnetic, weak, and strong interactions approach the same grand-unified limit to within a few percent when extrapolated to high energy in the supersymmetric standard model (SSM), but not in the standard model absent SUSY. Also, as with other extensions of the standard model, SUSY adds new sources of CP violation that can help explain the universe’s particle-antiparticle asymmetry. For these and other phenomenological and theoretical reasons, it is widely anticipated that supersymmetry will be discovered with the next generation of particle accelerators.

Experimental limits on EDMs, however, present a serious challenge to SUSY. The trouble stems from the fact that SUSY doubles the number of particles. Every known particle has a superpartner more massive than current accelerators can reach. So, for example, the photon’s superpartner is the photino and the electron’s is the selectron. Spin-zero bosons like the selectron can engage in CP -violating interactions with electrons and quarks. And those interactions, unlike the quark–W interactions of the standard model, can contribute to EDMs. In general SUSY theories, particle doubling introduces about 100 new parameters, with dozens of CP -violating phases associated with the breaking of SUSY near the electroweak energy scale of 100 GeV.

A simple version of the SSM has two new phases associated to CP -violating, EDM-generating interactions. One would naturally expect those phases, sometimes called φA and φB, to be substantial, as is the phase angle δ in the standard model. The great puzzle–called the SUSY CP problem–is why SUSY phases do not lead to EDMs considerably larger than present limits exclude. We return to this puzzle at the end of the article.

Theorists have expended considerable effort calculating the sizes of EDMs–for the electron, the neutron, and various atomic nuclei–in SUSY and other theories with spin-zero bosons. 3 , 6–8 Figure 2a shows a simple Feynman diagram that would be part of a typical calculation. The physics behind the graph is that a fermionic quark or electron is not a single, placid entity but one that continually splits apart and comes back together again, creating and reabsorbing bosons. As a result, the fermion, instead of being viewed as a point charge, can be seen as more like a cloud of charge. When T is violated, the process forming the cloud generates a net displacement of charge along the spin axis–in other words, an EDM. The larger the mass M of the boson, the smaller the size of the cloud and the smaller the EDM. Calculations show 3 the EDM scales as 1/M 2. In the standard model, a quark creates and reabsorbs W bosons, as shown in figure 2b. In that case, splitting apart and coming back together generate equal and opposite CP violation and no net EDM.

PTO.v56.i6.33_1.f2.jpg

Figure 2. Emission and absorption of virtual bosons in super-symmetry (SUSY) and the standard model, along with photon (E) interactions, mean that a fermion (f) such as a quark or an electron can be thought of as a charged cloud rather than a point charge. (a) In SUSY and other theories with scalar bosons, the complex-number phases associated with emission and reabsorption need not be the same if, for example, the fermion changes handedness (indicated by the subscripts L and R). As a result, the fermionic charge cloud can be asymmetric and have an electric dipole. (b) In the standard model, the emission and reabsorption of a virtual W boson are just time-reversals of each other. As a result, the complex-number phases of the two processes necessarily cancel, and there is no net EDM.

View larger

Electrons and nuclei in atoms and molecules

The simplest method, in principle, for detecting an EDM is to apply an electric field and look for the energy shift −d · E. That works for a neutral particle, but fails for a charged particle, which is accelerated in the electric field. Instead, one might attempt to detect the EDM of a charged particle inside an atom by applying an electric field to the atom. However, Purcell and Ramsey pointed out long ago that when a point charged particle is in equilibrium under electric forces, the electric field at the particle vanishes, and so too does the dipole interaction energy.

Consider, for example, an atom placed in a uniform electric field. The atom’s electrons are displaced in such a way as to create a field that cancels the external field at the nucleus; otherwise, the nucleus would be accelerated, which doesn’t happen in a neutral atom. The complete shielding would appear to rule out detecting the EDM of electrons or nuclei bound in atoms.

But the atomic nucleus is not a point particle, and the electric field of the electrons is not uniform over the nuclear volume. As a consequence, first noted by Leonard Schiff, the point-particle cancellation argument can be evaded if the nuclear charge and dipole-moment density distributions are different. In particular, the average force on a nucleus can be zero without the EDM interaction also vanishing. The resultant EDM interaction is conventionally written in terms of a calculable quantity called the Schiff moment of the nucleus. 3,7

Nonetheless, electronic shielding does reduce the EDM of the atom relative to the original EDM of the nucleus by a factor of approximately Z 2 (nuclear size)2/(atomic size)2, where Z is the atomic number. For high-Z atoms, the reduction factor is of order 10−3 to 10−4. Still, experiments today are precise enough that the lack of complete shielding can be exploited in mercury (Z = 80) and other atoms.

Of course, the mechanism described by Schiff does not work for electrons, which are point particles. They can, however, be highly relativistic near the nucleus in high-Z atoms, and, as Edwin Salpeter pointed out many years ago, the EDM shielding theorem does not hold relativistically One reason is that the magnetic force on an electron inside an atom can, remarkably, balance much of the force of an electric field. More remarkable is a feature that one of us (Sandars) discovered 9 in 1965: The EDM of the atom is related to the EDM of the electron by a factor of order Z 3α2, where α is the fine-structure constant ≈ 1/137. The striking consequence is that, for heavy atoms, the atomic EDM can be appreciably larger than the electron EDM. There is amplification rather than shielding! Detailed relativistic atomic calculations have shown an amplification of 100 for cesium and 600 for thallium.

The sensitivity of experiments on free atoms is limited by the strength of the electric field that experimenters can apply. It occurred to one of us (Sandars) in 1967 that the electric field in a polar molecule is several orders of magnitude higher than an externally applied laboratory field. 10 Calculations indicate that the effective field at the Tl nucleus in the polar molecule thallium fluoride is 200 times higher than at the nucleus in the Tl atom. Likewise, the field is much higher on the electrons in the polar free radical ytterbium fluoride or certain excited states of lead monoxide than on the electrons in the corresponding isolated heavy atoms.

Neutron experiments

Neutron electric dipole moment (EDM) experiments have improved dramatically since they began in the 1950s. In recent decades, they have been carried out at ultracold neutron reactor facilities in St. Petersburg, Russia, and Grenoble, France. The latest version, depicted in the figure, was carried out at Grenoble’s Institut Laue–Langevin. 15 It established an upper limit on the magnitude of the neutron EDM of d(n) < 6.3 × 10−26 e cm, almost six orders of magnitude better than the original 1950s limit, which was so impressive at the time.

In the ILL experiment, ultracold neutrons (UCN) with speeds less than 6 m/s passed through a thin magnetized iron foil that transmitted only those neutrons whose spins pointed along a magnetic axis defined by the indicated north (N) and south (S) poles. The neutrons then entered a 20-L containment cell in which there was a uniform magnetic field B and a large electric field E with a magnitude of about 15 000 V/cm. It took about 20 seconds to fill the cell; then the entrance door was closed. The slow neutrons of the ILL experiment readily bounced off the cell’s inner walls and were confined there for about two minutes. After that period, the door to the cell was reopened, allowing the neutrons to fall onto the magnetized foil. In this phase of the experiment, the foil served as a spin direction analyzer: The number of neutrons transmitted through it told whether the spins had been disoriented by magnetic resonance with an oscillating field inside the cell. If the neutron had a measurable EDM, the resonance frequency would have shifted with the reversal of the electric field.

PTO.v56.i6.33_1.d1.jpg

The ILL experiment included mercury atoms in the cell. Because the EDM of those atoms is much less than any neutron EDM that the experiment could measure, the mercury acted as a magnetometer. So, for example, if leakage currents were to cause stray magnetic fields, those fields would be signaled by the spin precession of mercury.

A radically new idea 3 under development at Los Alamos National Laboratory by Steve Lamoreaux and colleagues is to produce and store neutrons in a superfluid helium-4 bath that contains a small concentration of polarized helium-3. The polarized 3 He serves as a neutron polarizer and spin precession analyzer, as well as a magnetometer. In principle, this new experiment could improve the neutron EDM sensitivity by a factor of 100.

Theme of EDM experiments

All experiments are based on observations of how an external electric field E affects the spin of an elementary particle, atom, or molecule having an EDM. Because the EDM must lie along the spin, the interaction energy −d · E depends on the spin direction. In almost all EDM experiments, there is also an external magnetic field B parallel to E. In those experiments, the magnetic dipole moment µ of the electric current loop created by the spin interacts with the magnetic field to give an additional energy −µ · B. In the simplest case, the particle under study has spin 1/2 and just two spin states, spin parallel or antiparallel to the fields. The energy difference between those states is

h v = 2 µ B ± 2 d E ,

where h is Planck’s constant, v is the spin resonance frequency, and the ambiguous sign is determined by whether d and µ are parallel or antiparallel to each other. An applied magnetic field oscillating at the resonance frequency can induce a magnetic resonance transition between the two spin states.

Usually, EDM experimenters measure v. They extract the tiny effect of any EDM by switching the polarity on the plates generating the electric field, thus reversing the sign of E relative to B in equation (2). Subtracting the measured resonance frequencies cancels out the magnetic term.

The resonance frequency in equation (2) has a readily visualized classical interpretation: As shown in figure 3, it is the frequency at which the spin precesses about the field axis due to the torque on the dipoles µ and d. The figure indicates that the longer the time τ during which the spin remains undisturbed in the electric field, the larger is the angle through which the spin precesses due to an EDM. Larger precession angles yield more sensitive experiments. Increasing field strength increases the precession frequency and so gives improved sensitivity. The design goal of EDM experiments is to lengthen τ, increase E, and increase the number of atomic particles, all to improve statistical accuracy. Specific EDM experiments use different methods to optimize the design parameters, line up the spins of the particles, and sense the spin direction.

PTO.v56.i6.33_1.f3.jpg

Figure 3. A spinning particle with an electric or magnetic dipole moment experiences a torque when subjected to parallel external electric E and magnetic B fields. The particle precesses about the common field axis, much as a spinning top precesses about a vertical axis due to the torque of gravity.

View larger

Any EDM would be so tiny that, in almost all experiments, the electric term in equation (2) would be smaller than the magnetic term, even for external magnetic fields 1010 times weaker than Earth’s magnetic field. Thus, among the most troublesome possible errors are any changes in B that occur when E is reversed. For example, the high voltage between the electric plates causes some electric “leakage” current to flow along any surface connecting those plates. When the sign of voltage is reversed, the direction of the leakage currents reverses, as does the direction of the magnetic field produced by them. That magnetic-field reversal is one important source of systematic error. Great effort, therefore, goes into reducing the leakage current as much as possible.

Design of EDM experiments

Over the past 50 years, and especially after the discovery of CP violation in 1964, increasingly sensitive EDM experiments have been carried out on neutrons, atoms, and molecules. Each of these systems offers its own special test of CP violation, and likewise its own special challenge to the experimentalist. Heavy elements have been used because of the enhancement with high Z. The most recent EDM experiments on the neutron, the 199 Hg atom, and the 205Tl atom probe CP violation in possible new physics with the highest precision to date.

The neutron, Hg, and Tl experiments are discussed in boxes 1 through 3, along with new experiments, in the planning stages or already under way, that aim for advances in sensitivity by several orders of magnitude. The experiments use different techniques for lining up the spins and measuring the spin resonance frequency in a large electric field, and for keeping the spins in the electric field a long time for high sensitivity. They do share at least one thing in common, though: Each experimental apparatus is enclosed by several layers of high-permeability magnetic shielding to guard against unwanted magnetic fields.

As discussed earlier, another very promising approach to measuring nuclear or electronic EDMs is to take advantage of the large internal electric fields in polar molecules. Early work initially at the University of Oxford and subsequently at Harvard and Yale Universities centered on TlF, a closed-shell molecule that enhances the effect of interactions associated with the Tl nuclear spin. More recently, the first experiment with a paramagnetic molecule, YbF, was undertaken by Edward Hinds and coworkers at the University of Sussex. 11 Their experiment was sensitive to the electron EDM.

One problem with paramagnetic molecules (known in chemistry as free radicals) is that their reactivity makes them difficult to concentrate at high density. That problem may be solved in a new experiment now being tested at Yale by David DeMille and colleagues. 12 The stable (closed shell) ground state of PbO can be selectively excited by laser light into a metastable, spin-oriented paramagnetic state. An external field of just a few volts per centimeter can completely align the internal electric fields of the excited states and probe those states for an EDM. The ground state PbO vapor, because it is not particularly reactive, can be contained in a cell at high density.

Certain nuclei of radium and other atoms may have large enhancements of EDM effects, 13 and various groups are evaluating the prospects of experimentally exploiting those enhancements. Other new EDM experiments that have been proposed include experiments on laser cooled and trapped atoms, 3 electrons in solids, 14 and beams consisting of muons or charged nuclei. 3

Mercury and Xenon experiments

Electric dipole moment (EDM) experiments on ground-state mercury and xenon atoms began in the 1980s at the University of Washington–Seattle. 3 The Hg and Xe atoms have closed electronic shells and no net electronic spin. The 199 Hg and 129Xe isotopes, though, do have a nuclear spin (I = 1/2 in each case), and so, due to T-violating interactions of quarks, they could have an EDM parallel to the nuclear spin.

One of the authors (Fortson), along with colleagues at the University of Washington, has been carrying out a precise search 16 for an EDM of 199 Hg. Their most recently completed experiment, illustrated in the figure, set an upper limit on the magnitude of the atomic EDM of d(199 Hg) < 2.1 × 10−28 e cm.

In that experiment, laser at the 254-nm wavelength of the Hg absorption line was beamed through two adjacent 3-cm3 cells filled with Hg vapor. In the pumping phase of the experiment, the light was circularly polarized. When it was absorbed by the atoms, it transferred its angular momentum to the atomic nuclei. As a consequence, all the 199 Hg spins aligned in the direction of the light propagation. In the analysis phase, the laser light was plane polarized and reduced in intensity. As the nuclear spins precessed about the external magnetic field B, they modulated the polarization of the light at the precession frequency.

PTO.v56.i6.33_1.d2.jpg

For about two minutes, the spin precession frequencies were compared in the two cells, which had the same magnetic field but equal and opposite applied electric fields E of magnitude 10 000 V/cm. If the Hg had an EDM, the precession frequency would shift with opposite sign in the two cells. Thus, the magnitude of the EDM would be given by the difference between the two frequency shifts; all magnetic field shifts common to the two cells would cancel out. The Seattle experiment was sensitive enough to measure frequency shifts as small as 1 nHz, the equivalent of a single rotation in 30 years.

A refinement of the Hg experiment, now under way in Seattle, adds two more cells to make a stack of four. The improved configuration has a middle pair of Hg cells with opposing electric fields for measuring an EDM as before, sandwiched between an outer pair having no applied electric fields. The outer cells serve as magnetometers that are sensitive to magnetic field gradients due to leakage currents, shield magnetization, and other factors that could mimic an EDM signal in the middle pair of cells.

Xenon has disadvantages and advantages relative to Hg. Its lower atomic number Z means that the magnitude of any EDM in Xe should be reduced relative to that of Hg. On the plus side, Xe has a longer spin relaxation time and can be used at a greater density than Hg.

The best EDM limit thus far on the spin-1/2 isotope 129Xe has been set using a 129Xe maser referenced against a helium-3 maser in the same cell. 3 Princeton University’s Michael Romalis is testing a new idea. 17 Liquid 129Xe can be spin polarized and liquefied in bulk quantities, and the spin precession can be detected by a superconducting quantum interference device (SQUID) magnetometer. The dielectric strength of liquid Xe permits much stronger electric fields than are possible in current cell experiments with atoms, and the low temperatures reduce leakage currents along the cell walls.

Thallium and Cesium experiments

Atoms with an unfilled electronic shell can have net electronic spin and can reveal the existence of an intrinsic electric dipole moment of the electron. Hans Dehmelt of the University of Washington-Seattle initiated EDM experiments with rubidium and cesium vapor cells. In 1964, one of the authors (Sandars) teamed up with Edgar Lipworth to carry out the first beam experiment with Cs. They required only existing apparatus for their study. Shortly thereafter, charge conjugation-parity violation in K0 decay and the amplification properties of heavy atoms were discovered, which led to a series of more precise experiments at the University of Oxford. During the past 15 years, measurements have been carried out at Amherst College in Massachusetts using Cs vapor cells and at the University of California, Berkeley, using a beam of thallium atoms. 3 The Tl experiment, 18 illustrated in the figure, sets the most sensitive upper limit on the magnitude of the electron EDM: d(e) < 1.6 × 10−27 e cm.

PTO.v56.i6.33_1.d3.jpg

Thallium atoms, with their unbalanced electron spins, react strongly with cell walls. So, confined Tl atoms would not remain undisturbed for a long time in an applied electric field E. As illustrated in the figure, the Berkeley group avoided that problem by directing Tl atomic beams through elongated electric plates. Polarized laser light at the 378-nm wavelength of the Tl absorption line oriented the electron spin of each Tl atom before it entered the electric field. After the Tl passed through the field, a second polarized laser determined whether the spin directions had been flipped by magnetic resonance using the Ramsey method of separated radio-frequency fields. A Tl EDM would cause a shift in the resonance frequency with reversal of the electric field.

Ovens facing each other at the bottom and top ends of the apparatus produced collinear Tl beams traveling upward and downward. Each beam experienced a “motional” magnetic field v × E/c 2, but the opposite sign of v in the up and down beams helped the experimenters to get around that potentially serious problem. There were two pairs of Tl beams plus an equal number of collinear sodium beams–eight beams in all! The Na served as a magnetometer and, together with having beams in oppositely directed electric fields, allowed the experimenters to account for spurious magnetic fields.

Implications of recent results

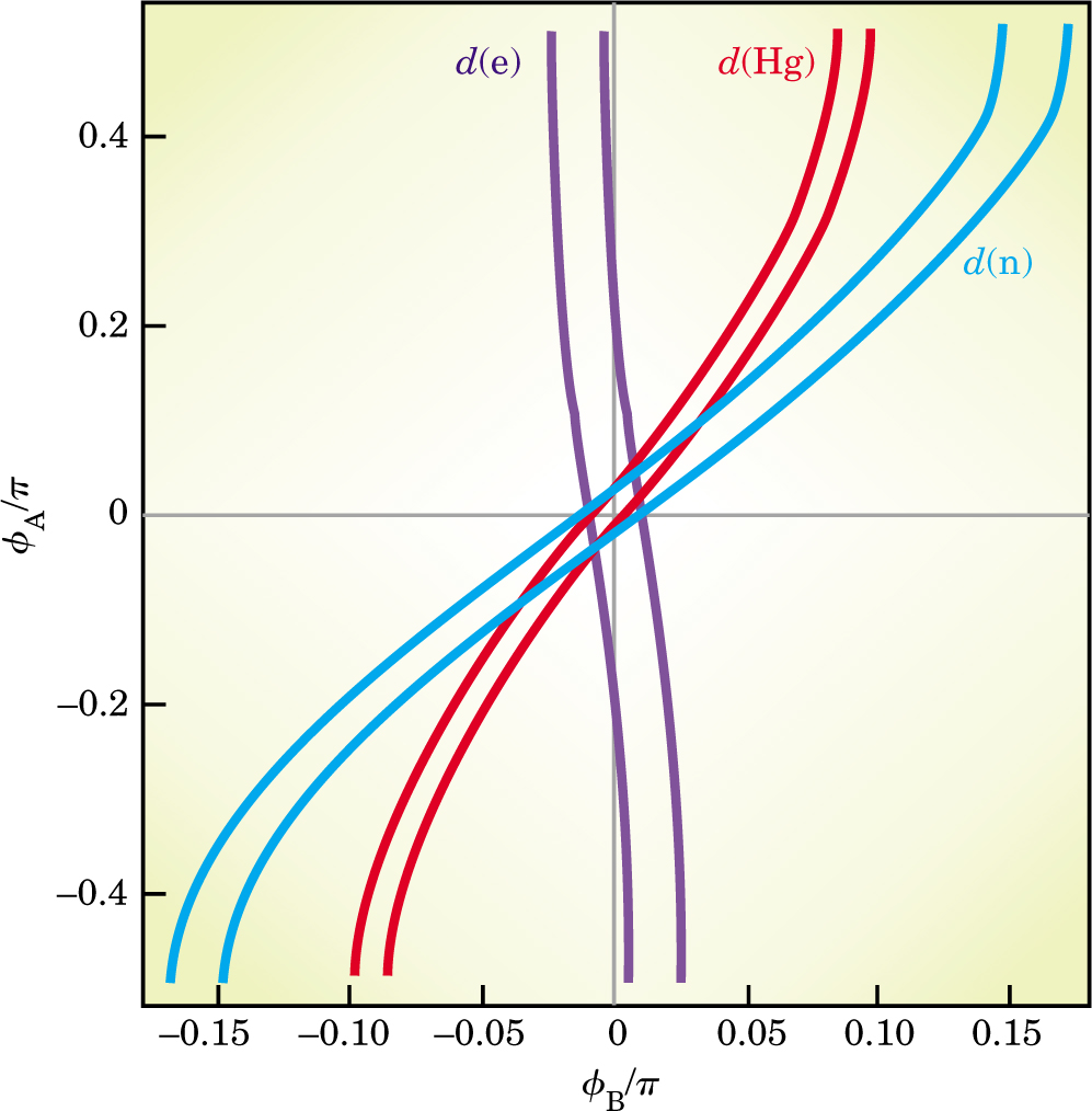
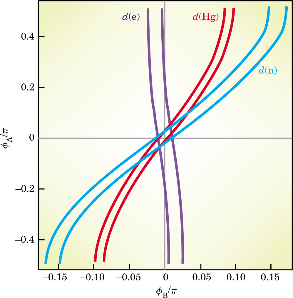
The experiments described in boxes 13 constrain theories of the physics that lies beyond the standard model. Figure 4 shows the limits imposed on the phases φA and φB associated with CP violation in the minimal SSM. 8 EDM experiments put extremely tight constraints on the phase angles of the minimal SSM: Indeed, for a lightest superpartner mass M = 500 GeV, the phase angles seem unnaturally small, about 10−1 radians. Experiments place similarly uncomfortable constraints on phase angles appearing in other theories of new physics.

PTO.v56.i6.33_1.f4.jpg

Figure 4. The phase angles that lead to CP (charge conjugation–parity) violations in minimal supersymmetric extensions of the standard model are severely constrained by electric dipole moment experiments on neutrons, mercury-199 atoms, and electrons. The angles φA and φB allowed by different experiments overlap only in a small region about zero, assuming a minimum superpartner mass of 500 GeV.

(See ref. 8; updated figure courtesy of Maxim Pospelov, University of Victoria, Canada.)

View larger

Phase angles might be small for several reasons. Fortuitous cancellation is one possibility. However, such cancellations would have to occur for three different EDMs (neutron, 199 Hg, and electron) that depend in different ways on the phase angles. In the case of the minimal SSM, figure 4 reveals that not one but two phase angles would have to be fortuitously small. A second possibility is that the phases are not small, but that superpartners are surprisingly heavy and reduce EDMs by 1/M 2. Third, CP violation might not be present in the SUSY-breaking sector or, if it is present, it might cause φA and φB to arise only as higher-order effects. The first two of those explanations would require additional fine tuning if the neutron, 199 Hg, and electron EDMs were found to be much below present limits.

What will we learn from current and future EDM experiments? It depends, of course, on what is seen or not seen. Not seeing a neutron, nuclear, or electron EDM down to much improved limits could mean that SUSY breaking is mediated by an interaction that is CP conserving. Alternatively, it could mean that SUSY is simply wrong. And if an EDM is found? An electron EDM would be proof of physics beyond the standard model. An electron EDM and a neutron or nuclear EDM, depending on the relative sizes of the EDMs, could be interpreted as a signal of SUSY, and could tell us much about how SUSY is broken. A neutron or nuclear EDM and no electron EDM down to a certain level would imply the EDM had a QCD origin, perhaps from θ QCD . A QCD phase near the present limit might suggest that CP is a spontaneously broken symmetry of nature.

One can imagine other outcomes, but whatever emerges, the search for EDMs should have profound implications for our understanding of the fundamental symmetries of nature. The most exciting prospect, of course, is that an EDM will at last be found. That discovery might well provide a glimpse of what physics lies beyond the standard model.

References

  1. 1. E. M. Purcell, N. F. Ramsey, Phys. Rev. 78, 807 (1950) https://doi.org/10.1103/PhysRev.78.807
    J. H. Smith, E. M. Purcell, N. F. Ramsey, Phys. Rev. 108, 120 (1957) https://doi.org/10.1103/PhysRev.108.120 .

  2. 2. J. Christenson, J. Cronin, V. Fitch, R. Turlay, Phys. Rev. Lett. 13, 138 (1964) https://doi.org/10.1103/PhysRevLett.13.138 .

  3. 3. I. B. Khriplovich, S. K. Lamoreaux, CP Violation Without Strangeness: Electric Dipole Moments of Particles, Atoms, and Molecules, Springer-Verlag, New York (1997)
    P. G. H. Sandars, Contemp. Phys. 42, 97 (2001) https://doi.org/10.1080/00107510010027781 .

  4. 4. R. Peccei, in CP Violation, C. Jarlskog, ed., World Scientific, Teaneck, N.J. (1989), p. 503.

  5. 5. G. L. Kane, Perspectives on Supersymmetry, World Scientific, Singapore (1998), p. xv
    J. H. Schwartz, N. Seiberg, Rev. Mod. Phys. 71, S112 (1999) https://doi.org/10.1103/RevModPhys.71.S112 .

  6. 6. S. M. Barr, Int. J. Mod. Phys. A 8, 209 (1993) https://doi.org/10.1142/S0217751X93000096 .

  7. 7. V. V. Flambaum, I. B. Khriplovich, O. P. Sushkov, Phys. Lett. 162B, 213 (1985)
    V. M. Khatsymovsky, I. B. Khriplovich, A. S. Yelkhovsky, Ann. Phys. 186, 1 (1988) https://doi.org/10.1016/S0003-4916(88)80015-0
    V. V. Flambaum, J. S. M. Ginges, Phys. Rev. A 65, 032113 (2002) https://doi.org/10.1103/PhysRevA.65.032113 .

  8. 8. T. Falk, K. A. Olive, M. Pospelov, R. Roiban, Nucl. Phys. B 560, 3 (1999) https://doi.org/10.1016/S0550-3213(99)00471-X
    M. Pospelov, A. Ritz, Phys. Rev. Lett. 83, 2526 (1999) https://doi.org/10.1103/PhysRevLett.83.2526 .

  9. 9. P. G. H. Sandars, Phys. Lett. 14, 194 (1965) https://doi.org/10.1016/0031-9163(65)90583-4
    Phys. Lett. 22, 290 (1966) https://doi.org/10.1016/0031-9163(66)90618-4 .

  10. 10. P. G. H. Sandars, Phys. Rev. Lett. 19, 1396 (1967) https://doi.org/10.1103/PhysRevLett.19.1396 .

  11. 11. J. J. Hudson, B. E. Sauer, M. R. Tarbutt, E. A. Hinds, Phys. Rev. Lett. 89, 023003 (2002) https://doi.org/10.1103/PhysRevLett.89.023003 .

  12. 12. D. DeMille et al., Phys. Rev. A 61, 052507 (2000) https://doi.org/10.1103/PhysRevA.61.052507 .

  13. 13. V. A. Dzuba, V. V. Flambaum, J. S. M. Ginges, M. G. Kozlov, Phys. Rev. A 66, 012111 (2002) https://doi.org/10.1103/PhysRevA.66.012111 .

  14. 14. S. K. Lamoreaux, Phys. Rev. A. 66, 022109 (2002) https://doi.org/10.1103/PhysRevA.66.022109 .

  15. 15. K. F. Smith et al., Phys. Lett. B 234, 191 (1990) https://doi.org/10.1016/0370-2693(90)92027-G
    P. G. Harris, et al., Phys. Rev. Lett. 82, 904 (1999) https://doi.org/10.1103/PhysRevLett.82.904 .
    I. S. Alterov et al., Phys. At. Nucl. 59, 1152 (1996).

  16. 16. M. V. Romalis, W. C. Griffith, J. P. Jacobs, E. N. Fortson, Phys. Rev. Lett. 86, 2505 (2001) https://doi.org/10.1103/PhysRevLett.86.2505
    J. P. Jacobs, W. M. Klipstein, S. K. Lamoreaux, B. R. Heckel, E. N. Fortson, Phys. Rev. A 52, 3521 (1995) https://doi.org/10.1103/PhysRevA.52.3521 .

  17. 17. M. V. Romalis, M. P. Ledbetter, Phys. Rev. Lett. 87, 067601 (2001) https://doi.org/10.1103/PhysRevLett.87.067601 .

  18. 18. B. C. Regan, E. D. Commins, C. J. Schmidt, D. DeMille, Phys. Rev. Lett. 88, 071805 (2002) https://doi.org/10.1103/PhysRevLett.88.071805 .

More about the Authors

Norval Fortson (fortson@phys.washington.edu ) is a professor of physics at the University of Washington–Seattle. Patrick Sandars is a professor of physics at the University of Oxford in England. Steve Barr is a professor of physics at the Bartol Research Institute of the University of Delaware in Newark.

Norval Fortson. 1(fortson@phys.washington.edu) University of Washington-Seattle, US .

Patrick Sandars. 2 University of Oxford, England .

Stephen Barr. 3 Bartol Research Institute, University of Delaware, Newark, US .

This Content Appeared In
pt-cover_2003_06.jpeg

Volume 56, Number 6

Related content
/
Article
Professional societies can foster a sense of belonging and offer early-career scientists opportunities to give back to their community.
/
Article
Research exchanges between US and Soviet scientists during the second half of the 20th century may be instructive for navigating today’s debates on scientific collaboration.
/
Article
The Eisenhower administration dismissed the director of the National Bureau of Standards in 1953. Suspecting political interference with the agency’s research, scientists fought back—and won.
/
Article
Alternative undergraduate physics courses expand access to students and address socioeconomic barriers that prevent many of them from entering physics and engineering fields. The courses also help all students develop quantitative skills.
/
Article
Defying the often-perceived incompatibility between the two subjects, some physicists are using poetry to communicate science and to explore the human side of their work.
/
Article
Positron emission tomography’s ability to image the body’s biochemistry, not just its anatomy, makes it a powerful tool for detecting diseases.

Get PT in your inbox

Physics Today - The Week in Physics

The Week in Physics" is likely a reference to the regular updates or summaries of new physics research, such as those found in publications like Physics Today from AIP Publishing or on news aggregators like Phys.org.

Physics Today - Table of Contents
Physics Today - Whitepapers & Webinars
By signing up you agree to allow AIP to send you email newsletters. You further agree to our privacy policy and terms of service.