Discover
/
Article

Sensitive cantilevers detect the persistent currents in normal-metal rings

DEC 01, 2009
A torque magnetometer can measure the currents with a precision two orders of magnitude greater than is possible with the usual tool of choice, a superconducting quantum interference device.

In 1983 Markus Büttiker, Yoseph Imry, and Rolf Landauer made a bold prediction: Persistent currents, long thought to be the exclusive province of superconductors, should also exist in a normal-metal ring—provided the ring is threaded with a magnetic flux. 1 Controversial at the time, the prediction could hardly have been more counterintuitive. Currents induced in a resistive wire usually decay in less than a picosecond, due to thermal fluctuations and the scattering of electrons with defects, phonons, and each other. The inelastic electron-electron and electron-phonon scattering mechanisms, moreover, alter the quantum states of the electrons and rob them of their phase memory.

If the ring is small enough and cold enough, though—on the order of a micron at temperatures under a kelvin, say—the electrons’ phase coherence length may exceed the ring’s circumference as inelastic scattering becomes increasingly rare. Electrons still scatter elastically from thousands of atomic defects, grain boundaries, and other static impurities during each orbit around the circuit. But those collisions, the theorists realized, do not destroy the phase information contained in the wavefunction; they merely shift its phase, even as they increase the resistance.

The magnetic field threading the ring breaks time-reversal symmetry, so the persistent current can flow in a specific direction, either clockwise or counterclockwise. Measuring that current is a daunting challenge. On the order of a nanoamp according to theory, the current flows only within a closed ring and thus cannot be measured with a conventional ammeter. Only in the induced magnetic moment µ is the current revealed. And the moment from an individual ring is remarkably faint—roughly 100 bohr magnetons, the sensitivity limit of the best magnetic detectors.

Despite the difficulty, separate groups led by Laurent Lévy (then at Bell Labs) and Richard Webb (then at IBM) confirmed the 1983 prediction nearly a decade later using superconducting quantum interference devices. 2 , 3 Lévy’s group enhanced the minuscule magnetic signal of a single copper ring by sensing the response of an array of 10 million of them. Webb’s group measured the SQUID’s response to single, individual rings. But in both experiments the measured currents were larger than expected—in the IBM case, between 30 and 150 times larger (see Physics Today, April 1992, page 17 ). The discrepancies between experiment and theory (and indeed between different experiments, mostly SQUID-based) prompted a still-ongoing effort to fully understand the phenomenon. 4

Jack Harris and colleagues from Yale University and the Free University of Berlin have now developed an alternative measurement scheme, 5 as outlined in figure 1. Theirs is based on a micro-mechanical approach: In essence, the team deposited aluminum rings on a cantilever whose vibration frequency can be precisely monitored. In the presence of an applied magnetic field B, each ring’s current produces on the cantilever a torque τ = µ × B, recorded as a shift in the cantilever’s resonance frequency of vibration. From that frequency shift, they could deduce the persistent current.

PTO.v62.i12.17_1.f1.jpg

Figure 1. Cantilever torque magnetometry. A single nonsuperconducting ring, or an array of them, is deposited at the tip of a flexible cantilever. (a) When a magnetic field B is applied at some angle θ, the field’s perpendicular component threads each ring, which induces a persistent current. The field’s parallel component exerts a torque on the rings’ magnetic moments and shifts the cantilever’s resonant vibration frequency. (b,c) The frequency shift is periodic à la the Aharonov-Bohm effect and can be used to infer the magnitude of the persistent current. In these data, Jack Harris and coworkers measure the signal from an array of 1680 0.6-µm-diameter aluminum rings, held at 365 mK and swept through magnetic fields well above the critical value that ensures the metal remains resistive. The typical current in each ring is the total measured current divided by the square root of the number of rings.

(Adapted from ref. 5.)

View larger

The allure of the technique, says Büttiker, lies in its sensitivity—more than two orders of magnitude greater than SQUID-based approaches. “This method may become to persistent currents what the telescope was to astronomy.”

Aharonov–Bohm

Because phase coherence and quantum interference are behind its existence, a metal ring’s persistent current can exhibit an Aharonov-Bohm effect. For a magnetic flux ø threading the ring, the electron wavefunction acquires a phase proportional to øe/h around the circumference of the ring, where e is the electron’s charge and h is Planck’s constant. The electron wavefunction must be single-valued going around the ring, so the phase added by the magnetic flux is compensated for by the electron’s motion to make the total phase an integer multiple of 2π. That motion, which corresponds to the persistent current, is consequently periodic in the applied magnetic field with a period given by the addition of one flux quantum h/e through the ring.

The beauty of those Aharonov-Bohm oscillations is that they provide a clear signature so that the persistent current stands out from stray electromagnetic signals induced by magnetic impurities such as iron. Unfortunately, in addition to their low signal-to-noise ratios, SQUIDs perform best in low magnetic fields, a regime that gives researchers few oscillations to measure and complicates the subtraction of background signals unrelated to persistent current.

Still, SQUID-based research has steadily narrowed the gap between theory and experiment in the past decade. Earlier this year Kathryn Moler and her Stanford University colleagues ameliorated those problems by modifying a SQUID to scan across 33 individual gold rings, one at a time. That approach helped distinguish spurious signals and led to measurements of the current’s amplitude in close agreement with theory, although the rings’ small magnetic moments still required hours of statistical averaging. 6

The micromechanical approach extends the measurements to high magnetic fields, where the signal is easier to detect. The extension also makes it possible to probe the behavior of superconductors well above the magnetic field that turns them normal. The researchers observed as many as 450 oscillations in Al rings over a 5.5-T range. (Figure 1(c) shows just a fraction of the data.) The aperiodic component of the current arises from the fact that the applied field doesn’t just thread the ring; it also penetrates the metal, which leads to different phase shifts for electron paths that enclose different areas. The phase randomization, Harris argues, alters the effective disorder potential felt by electrons in the ring.

The flexibility of the approach is also an advantage. The Yale group measured persistent currents induced in a single ring and arrays of them over a much broader range of temperatures and magnetic fields than had been previously possible. “I have to say,” he admits, “when we started this project, I didn’t understand the theory well enough to know what to look for in most of those quantities. So the problem was not so much the case of finding the needle in the haystack as cataloging the entire haystack and then combing through it to see if it made sense.” Inspiration for the technique came from Harris’s earlier graduate work in the late 1990s designing cantilevers to sense the tiny forces created by two-dimensional electron gases.

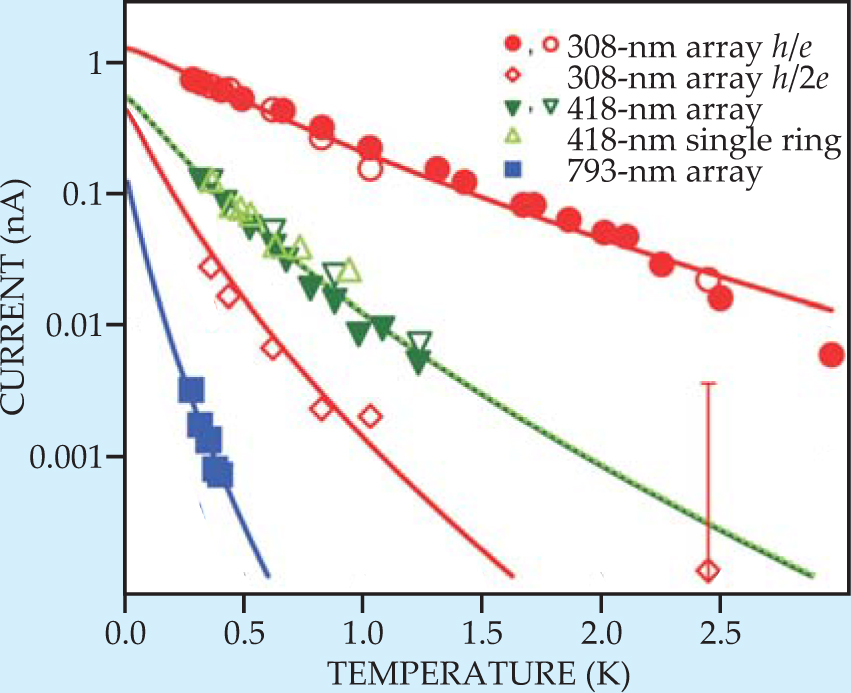
The new results, 5 shown in figure 2, illustrate a nearly perfect agreement with a model of noninteracting electrons, a model that requires just one fitting parameter—the electron diffusion constant of Al. The direction of the persistent current in each ring depends on details of its defects and the number of electrons and thus varies randomly from ring to ring. The total signal measured from an array of rings scales as the square root of the number of rings, reflecting the randomness.

PTO.v62.i12.17_1.f2.jpg

Figure 2. Temperature dependence of the persistent current—or, more precisely, the root-mean-square value of the h/e and first-harmonic h/2e Fourier components of that current. The data include variations in five different parameters—the size and number of rings in the array, the magnetic-field strength and orientation (open and solid data points were taken with angle θ equal to 45° and 6°, respectively), and temperature. Each plot precisely follows the trend (solid line) expected from a noninteracting electron model. (Note that the harmonic h/2e signal here is unrelated to coherent backscattering, which has the same periodicity.)

(Adapted from ref. 5.)

View larger

Interacting electrons

It’s perhaps no surprise that the current’s properties depend just on temperature and resistivity of the metal in a regime where the independent-electron approximation reigns. But the Yale group’s quantitative account offers a proof of principle for the technique and sets the stage for work at low magnetic fields, where richer physics lies. There, as Imry puts it, “electron—electron interactions turn on and all hell breaks loose.”

The interactions and screening effects are manifest in a component of the current whose period is half the magnetic flux quantum, or h/2e. The component’s origin lies in a two-particle version of coherent backscattering. To every zigzagged path an electron might take as it circles the ring there corresponds a precise, time-reversed path through the same scattering centers. Those equivalent pairs of trajectories reinforce each other constructively, which adds the factor of two to the phase shift. Because the effect is a delicate interference involving a sum over relatively few coherent terms, it’s easily upset by any significant magnetic field in the metal.

Lévy’s group detected the h/2e signal in its early 1990 study on copper, 2 though with a magnitude at least five times the theoretical value and a sign that indicated attractive electron interactions. That’s a surprise for a metal not found to superconduct even at temperatures as low as 10 µK. Last year Imry and collaborators proposed an intriguing explanation: 7 Copper would be a superconductor, they argue, were it not for the influence of tiny part-per-million (or less) levels of magnetic impurities. The impurities break electron pairs and suppress the phase transition but hardly affect the persistent current, which is determined on a larger energy scale.

Once the torque magnetometer is optimized for low fields, Harris plans to address that idea experimentally. He also wants to explore circuits more complicated than the simple metal ring. One can envision, for example, engineering a ring coupled to a quantum dot or grain of superconducting material; that configuration would set normal and persistent currents in competition with each other.

References

  1. 1. M. Büttiker, Y. Imry, and R. Landauer, Phys. Lett. A 96, 365 (1983).

  2. 2. L. P. Lévy, G. Dolan, J. Dunsmuir, and H. Bouchiat, Phys. Rev. Lett. 64, 2074 (1990).

  3. 3. V. Chandrasekhar, R. A. Webb, M. J. Brady, M. B. Ketchen, W. J. Gallagher, and A. Kleinsasser, Phys. Rev. Lett. 67, 3578 (1991). https://doi.org/10.1103/PhysRevLett.67.3578

  4. 4. For a review of the literature, see E. Akkermans, G. Montambaux, Mesoscopic Physics of Electrons and Photons, Cambridge U. Press, New York (2007).https://doi.org/10.1017/CBO9780511618833

  5. 5. A. C. Bleszynski-Jayich, W. E. Shanks, B. Peaudecerf, E. Ginossar, F. von Oppen, L. Glazman, and J. G. E. Harris, Science 326, 272 (2009). https://doi.org/10.1126/science.1178139

  6. 6. H. Bluhm, N. C. Koshnick, J. A. Bert, M. E. Huber, and K. A. Moler, Phys. Rev. Lett. 102, 136802 (2009). https://doi.org/10.1103/PhysRevLett.102.136802

  7. 7. H. Bary-Soroker, O. Entin-Wohlman, and Y. Imry, Phys. Rev. Lett. 101, 057001 (2008). https://doi.org/10.1103/PhysRevLett.101.057001

Related content
/
Article
The finding that the Saturnian moon may host layers of icy slush instead of a global ocean could change how planetary scientists think about other icy moons as well.
/
Article
/
Article
After a foray into international health and social welfare, she returned to the physical sciences. She is currently at the Moore Foundation.
/
Article
Modeling the shapes of tree branches, neurons, and blood vessels is a thorny problem, but researchers have just discovered that much of the math has already been done.
This Content Appeared In
pt-cover_2009_12.jpeg

Volume 62, Number 12

Get PT in your inbox

pt_newsletter_card_blue.png
PT The Week in Physics

A collection of PT's content from the previous week delivered every Monday.

pt_newsletter_card_darkblue.png
PT New Issue Alert

Be notified about the new issue with links to highlights and the full TOC.

pt_newsletter_card_pink.png
PT Webinars & White Papers

The latest webinars, white papers and other informational resources.

By signing up you agree to allow AIP to send you email newsletters. You further agree to our privacy policy and terms of service.