Discover
/
Article

Universal insights from few-body land

MAR 01, 2010
The ability to tune atomic interactions has inspired theorists and experimentalists to investigate those properties of few-particle systems that hold universally, regardless of the specific nature of the interparticle force.
Chris H. Greene

Can one extract key properties of atomic nuclei by studying the seemingly unrelated system of a few cold, interacting atoms in a quantum gas? The answer is a resounding yes. The reason for that unexpected connection, which links energies spanning some 18 orders of magnitude, can be traced to universality in few-body physics, the focus of this article. In some cases, studies of systems with just two, three, or four atoms have even helped researchers identify fundamental aspects of a degenerate quantum gas having more than 100 000 particles.

Experimental studies of universality in nuclei are difficult because the nuclear force cannot easily be changed in the laboratory. For cold-atom systems, however, there exists a regime in which a key parameter, the scattering length, can be readily manipulated. (The scattering length a is defined in terms of the low-energy S-wave scattering phase shift δ by a -lim k 0 [tan δ]/k, where k is the wave number.) That regime is characterized by a so-called Fano—Feshbach resonance, also called a Feshbach resonance, at which the scattering length diverges. 1 Near such a resonance, an external field, usually magnetic, can be used to dial in any desired atom-atom interaction or scattering length. The tunable scattering length, which dominates all other length scales, enables an experimenter to undertake detailed investigations of universality.

The universal properties of systems having short-range interactions—be they among cold atoms or nucleons or molecules—connect in turn to the beautiful but mysterious effect discovered by nuclear theorist Vitaly Efimov shortly after he received his PhD in the Soviet Union in 1969. 2 Within the past four years, progress has erupted in exploring the Efimov effect and related phenomena through the manipulation of dilute atomic gases near a Fano-Feshbach resonance.

Early evidence and ideas

A striking example of universality arises for a short-range two-body potential that is just short of binding two particles, in which case the scattering length approaches negative infinity. Efimov’s astonishing and counterintuitive prediction was that the three-body system would bind an infinite number of levels, even though the two-body system binds none. The binding energies of the three-body states n converge geometrically to zero: En = E 0 exp(-2πn/s 0), where s 0 ≈ 1.0062378. For large but finite values of |a|, Efimov calculated the number of bound states to be of order N b = (s 0/π)ln(|a|/r 0), where r 0 is the range of the two-body interaction. Despite early skepticism, virtually all credible studies have ultimately confirmed Efimov’s predictions. 3

Apparently simple systems can be dauntingly complex. For an N body system with only internal interactions, one must solve a Schrödinger equation in at least 3N − 6 dimensions, after eliminating trivial center-of-mass motion and overall rotations. In the mid-1990s the computational technology began to mature for systems of three interacting particles; those involve a partial differential equation of only three dimensions. But add just one more particle to the mix, and the dimensionality jumps from 3 to 6. Given the exponential or faster growth of difficulty with the number of dimensions, the steady growth in dimensionality presents a stringent challenge.

As early as 1976, Ugo Fano discussed promising theoretical avenues that might lead to an understanding of few-particle interactions in a qualitative and potentially quantitative manner (see the article by Fano in Physics Today, September 1976, page 32 .) Those lines of attack had emerged from an adiabatic hyperspherical coordinate representation applied to two-electron dynamics by Joseph Macek. 4 The first step in the hyperspherical approach is to single out a special collective coordinate of the system, namely, the hyperradius R = (Σ i miri 2/M) 1 2 . Here ri is the distance between the center of mass and particle i having mass mi , and M is a convenient normalizing mass. The square of the hyperradius is proportional to the trace of the system’s moment-of-inertia tensor.

Special values of the two-body scattering length a

ai 3b < 0, where the ith Efimov trimer state hits E = 0 and becomes unbound; i = 1, 2, … ∞
ai,k 4b < 0, where the kth four-body state (k = 1, 2) attached to the ith three-body Efimov state lies at E = 0
ai 3b,min > 0, the ith minimum expected in the three-body recombination rate
ai 3b,(2+1)b > 0, where the ith Efimov trimer crosses the energy of the dimer + atom threshold, E = −ħ2 /ma 2
ai,k 4b,dd > 0, where the kth four-body state (k = 1, 2) attached to the ith Efimov trimer crosses the dimer + dimer threshold, E = −2ħ2 /ma 2
ai (3+1)b,dd > 0, where the ith Efimov trimer + atom threshold crosses the dimer + dimer threshold, E = −2ħ2 /ma 2
ai, 1 Nb < 0, where the lowest N-body state built on the ith Efimov trimer crosses E = 0; vertical lines in figure 4

Special values of the two-body scattering length a

ai 3b

< 0, where the ith Efimov trimer state hits E = 0 and becomes unbound; i = 1, 2, … ∞

ai,k 4b

< 0, where the kth four-body state (k = 1, 2) attached to the ith three-body Efimov state lies at E = 0

ai 3b,min

> 0, the ith minimum expected in the three-body recombination rate

ai 3b,(2+1)b

> 0, where the ith Efimov trimer crosses the energy of the dimer + atom threshold, E = −ħ2 /ma 2

ai,k 4b,dd

> 0, where the kth four-body state (k = 1, 2) attached to the ith Efimov trimer crosses the dimer + dimer threshold, E = −2ħ2 /ma 2

ai (3+1)b,dd

> 0, where the ith Efimov trimer + atom threshold crosses the dimer + dimer threshold, E = −2ħ2 /ma 2

ai, 1 Nb

< 0, where the lowest N-body state built on the ith Efimov trimer crosses E = 0; vertical lines in figure 4

PTO.v63.i3.40_1.f4.jpg

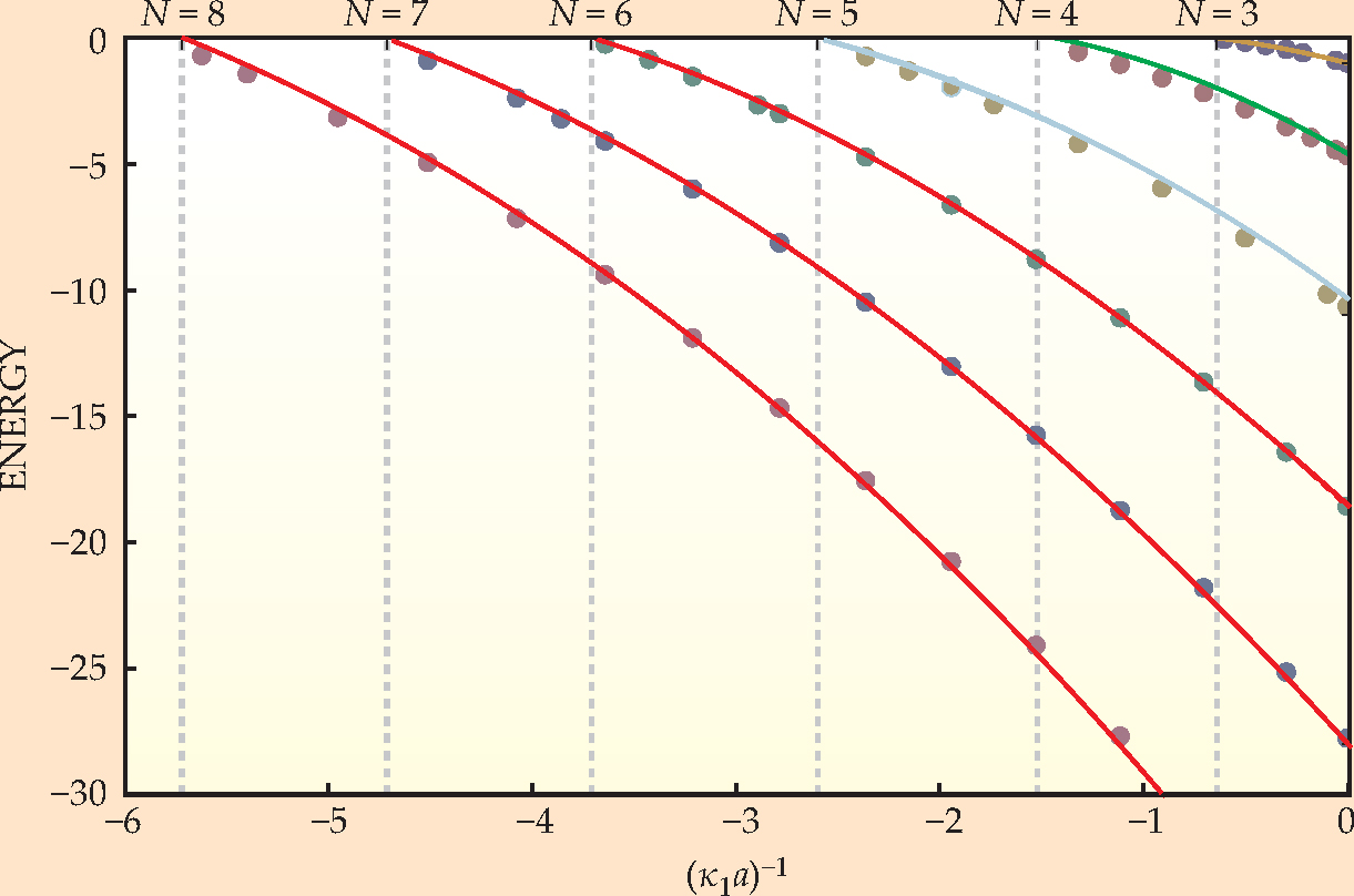
Figure 4. Ground-state energies for clusters of N identical bosons with short-range interactions, in the universality limit (filled circles), as calculated by Javier von Stecher. In this plot, a is the two-body scattering length. In the infinite scattering-length limit, the energy of the lowest Efimov trimer is given in terms of the three-body parameter k 1 according to the formula E = −ħ2 K 1 2/m; here that energy has been normalized to −1. Curves through the calculated points show values of other theoretical models or simple analytical functions. The dashed vertical lines indicate the two-body scattering lengths at which N-body systems become unbound. According to von Stecher and colleagues, the ratios of those scattering lengths are universal, applicable to any system of identical bosons. For example, a five-body recombination resonance should be observed at a scattering length equal to a = 0.24 a 1 3b.

(Adapted from J. von Stecher, 11 .)

View larger

The essence of the method is to treat R as a parameter, solve the fixed-R Schrödinger equation, and regard the eigenvalues UV(R) as adiabatic potential curves in the same spirit as in the familiar Born—Oppenheimer approximation that has produced so many insights in molecular physics. (In the Born—Oppenheimer case, it is the nuclear positions that are the originally fixed coordinates.) When the relevant nonadiabatic coupling matrices are included, the many-particle partial differential equations reduce to a conceptually simpler set of coupled ordinary differential equations in one dimension. Moreover, inspection of the potential curves immediately shows the loci of avoided crossings where adiabaticity fails; those, in turn, indicate the energies and hyperradii at which the system can transition from a channel described by a given potential curve to a channel corresponding to a different curve. (In scattering theory, a channel refers to all of the quantum numbers that identify entrance or exit products from a collision.)

Efimov’s groundbreaking work explored the three-body system with short-range forces in the limit of a large hyperradius. Under those conditions, his dipole-type R −2 potential produced the infinite spectrum of energy levels already mentioned. As the binding energies geometrically converge to zero, the mean hyperradii expand, and by a related exponential factor: R n = R n 1 exp ( π / s 0 ) .

Three’s a crowd

One key link, developed in the interim between Efimov’s early predictions and ultracold-gas experiments conducted within the past few years, connected his effect with the process of three-body recombination, 5 A + A + AA2 + A. That reaction dominates atom losses in most degenerate quantum gases, but, as I will describe later, under some circumstances four-body processes can also contribute significantly. In general, the atom density n in a homogeneous thermal gas cloud is controlled by inelastic collision events through the rate equation dn/dt = −L 2 n 2L 3 n 3L 4 n 4, where t is time, and LN is the appropriately averaged inelastic loss rate associated with collisions of N bodies. In most gases studied nowadays, experimental design minimizes two-body losses. The usual result that the three-body term dominates loss can then be expressed as L 3 > nL 4.

An understanding of the link between three-body recombination and universal physics began to emerge a decade ago from quantitative theory and now seems to be on solid footing. 5 In particular, theoretical studies showed that by tuning the atom-atom scattering length a to an appropriate, large negative value, a 3b i , experimentalists should observe a strong resonance in the three-body recombination rate. (The table on page 40 reviews the notation for all the special scattering-length values considered in this article.) Theoretical work also predicted something of far greater potential interest for quantum-gas experimenters: a series of recombination-rate minima occurring at successive scattering lengths ai 3b,min. At those values, losses in condensates or in cooling stages are minimal. Moreover, the ratio of successive scattering lengths corresponding to the minima is given by the Efimov factor exp(π/s 0) = 22.7.

Figure 1 depicts the current understanding of the resonances and minima in the adiabatic hyperspherical picture. At large negative scattering lengths, the three-body entrance channel shows a barrier at long range (Fano called it a “mock centrifugal barrier”) and, at short range, an attractive well that can trap a three-body shape resonance (that is, a quasi- bound resonance) having the character of an Efimov state. When the scattering length is tuned so that the shape-resonance energy (red line in figure 1(b)) lies close to the collision energy (blue line), which is itself within tens of nanokelvin of zero, tunneling through the barrier is strongly enhanced and recombination can occur efficiently into deeper two-body bound-state channels. On the other hand, when the scattering length is large and positive, as in figure 1(c), no potential barrier exists at asymptotic values of R, nor does the potential include an inner well that could support shape resonances. Instead, there is an avoided crossing of the three-body entrance-channel potential curve with a potential curve (black) whose asymptotic energy E = −ħ2 /ma 2 is that of the highest-energy S-wave two-body bound state. Those features are independent of the details of the particular system of three identical bosons with short-range interactions and hold more generally with some modifications in detail.

PTO.v63.i3.40_1.f1.jpg

Figure 1. Low-energy recombination of bosonic cesium. (a) The numerically calculated recombination rate for Cs + Cs + CsCs 2 + Cs plotted as a function of the Cs-Cs scattering length a measured in Bohr radii. Clearly visible at a negative scattering length is the first Efimov resonance and, at a = a 1 3b,min > 0, the first destructive interference minimum. The qualitatively different phenomena at large positive and negative a follow from the qualitatively different nature of the reaction pathways in those regimes. (b) For negative a, a system with a small positive energy E (blue line) must tunnel over a barrier into the red potential well located at hyperradius R« |a|. When the scattering length admits a quasi-bound resonance beyond the barrier (horizontal red line), the tunneling rate is enhanced and the system can relax efficiently (blue arrow) to the two-body channel represented by the black potential curve. (c) For positive a, two distinct paths allow the system to transition to the two-body state at Ra. In one path (yellow arrows), the system bounces off the red potential barrier and relaxes to the two-body channel while R is increasing. In the second pathway (blue arrows), the system transitions to the two-body channel while R is decreasing, and then the system rebounds off the black potential barrier. If the scattering length is tuned appropriately, the two paths destructively interfere.

(Adapted from 18 .)

View larger

The smoking gun

Before the Efimov effect was observed experimentally, a number of independent and varied theoretical treatments confirmed and extended the predictions discussed above. Those studies certainly added significant confidence in physicists’ growing understanding of universal phenomena at large scattering length. Nevertheless, experimental evidence was lacking until the breakthrough published in 2006 by Rudolf Grimm’s group in Innsbruck, Austria 6 (see Physics Today, April 2006, page 18 .) Since then numerous groups have observed clear-cut manifestations of universal physics through the study of three-body recombination in ultracold homonuclear and heteronuclear gases. 7 - 10

The clearest evidence for universality in a system of three low-energy bosons would be the observation of successive bound or resonant states separated by the Efimov factor exp(-2π/s 0) in energy or by exp(π/s 0) in scattering length. The first experimental evidence by the Innsbruck group in 2006 saw only one universal resonance, and the researchers’ interpretation of the resonance as a reflection of Efimov’s discoveries relied on theoretical treatments. But in 2009 several experiments managed to obtain completely convincing and unambiguous evidence—smoking guns of universal physics.

At least three serious problems hamper experimental studies of the universal regime of three-body interactions. First, in order to see strong evidence of the predicted scaling in energy and scattering length, an experiment must be able to treat a range of scattering lengths over a factor of at least 22.7, and more likely (22.7)2 or even (22.7)3. Second, the temperature must be extremely low—typically k bT ≾ħ2 /ma 2—if delicate resonance and minimum features are to be visible at large-magnitude scattering lengths. Third, three-body recombination rates scale overall as a 4. Thus, as an experimental group varies the scattering length over a factor of 500 or more, the dynamic range of loss rates to which its experiment must be sensitive could easily cover 8–10 orders of magnitude.

Overcoming those difficulties is no small feat, but experiments worldwide rose to the task in 2009. Italian and Israeli teams produced clear evidence of three-body and four-body universality, 8 and most recently, Randall Hulet’s group at Rice University measured atom losses in a dilute gas over a remarkable dynamic range, conclusively demonstrating several aspects of universality. 10 Specifically, as shown in figure 2, in their experiment with bosonic lithium atoms near a Fano—Feshbach resonance, they could clearly identify both the catastrophic high-loss-rate Efimov resonances at large negative a and the degenerate-gas-friendly interference minima at large positive a. Moreover, they covered a sufficient range in a to confirm, to within about 10% uncertainty, the predicted scaling factor of 22.7 between successive features for both positive and negative a.

PTO.v63.i3.40_1.f2.jpg

Figure 2. Universality in a gas of bosonic lithium-7. Shown here is an experimental loss spectrum as a function of the atom-atom scattering length a measured in Bohr radii. The thick, solid black curve is a fit to the analytic three-body recombination theory developed by Eric Braaten and Hans-Werner Hammer; 5 the expected overall a 4 scaling is indicated by the thinner gray curve. Green curves show the theoretically derived energies (in arbitrary units) of the first and second Efimov levels. Visible in the positive-a region to the left are two out of the predicted infinite number of recombination-loss minima. Their scattering lengths, a 1 3b,min at 119 Bohr radii and a 2 3b,min at 2676 Bohr radii, have a ratio of 22.5, which is within experimental error of the predicted universal value of 22.7. At negative scattering lengths, the two evident three-body loss maxima are at a 1 3b = −298 Bohr radii and a 2 3b = −6301 Bohr radii. Their ratio of 21.1 is again consistent with the predicted ratio of 22.7. Also visible is a resonant loss feature attributed to four-body recombination, at a 1 , 1 4 b = 120 Bohr radii. The ratio of that scattering length to the length corresponding to the nearby three-body resonance, a 1 , 1 4 b / a 1 3 b = 0.40 , is in agreement with predictions from universal four-body recombination theory. 13 The remaining scattering lengths indicated in the figure are defined in the table on page 40.

(Adapted from 10 .)

View larger

Two, three, four,… Avogadro?

For two attracting particles in three dimensions, the potential depth must be increased to a certain minimum value in order to barely bind the particles into an S-wave bound state. That is the point at which the two-body scattering length diverges. There exists, though, a very large and negative a for which an Efimov trimer state becomes bound even though no two-body states are bound. The reason such binding is possible is that the attractive forces act on three pairs of atoms rather than just one pair. If a is made less negative than the value at which the Efimov trimer is bound, it eventually lands at a value for which a four-body state becomes bound. Similarly, there exist values of the scattering length at which 5, 6, 7, or more bodies become bound even though no smaller subsystems have sufficiently strong attraction to bind; the maximum number of bodies that can bind, if any, is currently unknown. Two recent investigations have studied the sequence of two-body scattering lengths at which successive N-boson Borromean systems first become bound. (“Borromean” refers to the famous three-ring system that is linked in such a way that rupturing any ring causes all three rings to separate.) One study was by Gabriel Hanna and Doerte Blume at Washington State University, and the other by JILA theorist Javier von Stecher. 11

Within the past year, an unexpected theoretical development has helped to strengthen the evidence that the resonance observed in 2006 by the Innsbruck group indeed has an Efimov character. The story begins with calculations by the University of Washington’s Lucas Platter and the University of Bonn’s Hans-Werner Hammer, who investigated the behavior of four bosonic particles in the universality limit in which the two-body scattering length is large enough to be the dominant length scale in the problem. They extended existing theoretical methods and computed a few energy levels of four identical bosonic particles with short-range interactions. 12 Their evidence encouraged them to conjecture that a pair of four-body bound states might reside below and in some sense attached to each three-body Efimov state.

A subsequent independent thrust by JILA theorists von Stecher, Jose D’Incao, and their collaborators developed methods that enabled them to calculate the hyperspherical potential curves and relevant couplings for such four-body systems. 13 , 14 Their calculations supported and extended the Hammer—Platter conjecture and identified universal properties associated with the values of the two-body scattering lengths at which the conjectured four-body states would first become bound as a is made increasingly negative. The theorists predicted universal ratios between those two scattering lengths, ai, 1 4b and ai,2 4b, and the scattering length ai 3b at which the corresponding Efimov trimer first becomes bound: ai, 1 4b /ai 3b= 0.43 and ai, 2 4b/ai 3b = 0.90. Figure 3 graphically illustrates the meaning of the special scattering lengths just discussed and shows some of the universal properties connecting two-, three-, and four-body states.

PTO.v63.i3.40_1.f3.jpg

Figure 3. Universal relations among systems with two, three, and four bosons. Energy in natural units (m is the particle mass, r 0 is the range of the short-distance potential between a pair of bosons) is plotted against the inverse boson-boson rescaled scattering length (r 0/a)1/5. The binding energies for one or two dimers appear as nearly straight red lines angling toward the lower right-hand side of the figure. At zero on the horizontal axis, the scattering length diverges and there exist an infinite number of bound Efimov trimer states. Near zero the number is large but finite. Three Efimov states are shown as green curves. Between each pair of Efimov trimers (and below the lowest indicated Efimov trimer) are two four-body states that may be associated with the higher trimer. The enlarged inset to the left shows a value of a = a i 3b at which the ith Efimov trimer becomes unbound and emerges as a resonance in the three-body recombination continuum. At slightly less negative values of a are a = a i,1 4b and a = ai ,2 4b, at which the associated four-body states become resonances in the four-body recombination continuum. The enlarged inset to the right shows other interesting regions of positive scattering length, where the three-body and four-body binding energies merge with the dimer + dimer binding energy and thus the three- and four-body states show up as resonances in dimer-dimer scattering. For example, when the scattering length is a = ai (3+1)b,dd, the green and lower red curves intersect, indicating that the dimer + dimer and atom + trimer binding energies are equal; the corresponding exchange reaction should exhibit a zero-energy resonance. Likewise, at a = a i 3 b , ( 2 + 1 ) b , the Efimov trimer binding energy merges with that of the dimer + atom, and the atom-dimer scattering length diverges. Several ratios among the scattering lengths have been predicted to be universal. 13 On the negative a side, theory indicates a i , l 4 b / a i 3 b = 0.43 and a i , 2 4 b / a i 3 b = 0.90 . On the positive side, the predicted universal ratios are ai ,1 4b,dd/ai 3b,(2+1)b = 2.37, ai ,2 4b,dd/ai 3b,(2+1)b = 6.6, and ai 3+1b,dd/ai 3b,(2+1)b = 6.73.

(Courtesy of Jose D’Incao.)

View larger

Reinspection of the original Innsbruck data showed that in addition to the prominent three-body Efimov resonance at a 1 3b = −850 Bohr radii that had justified the 2006 publication, a broad, weaker resonance feature was visible at a scattering length near a = −370 Bohr radii. The agreement of its position with the predicted universal four-body resonance location suggested that this hitherto uninterpreted feature was in fact associated with four-body loss and represented the lower-energy tetramer resonance state. A faint hint even existed in the data that a very small second bump at a = −770 Bohr radii might be associated with the upper-energy tetramer resonance state. 13

The past year has seen quantitative calculations of the four-body recombination loss rate in the universal regime as an application of more general developments in the theory of N-body recombination. 15 Applied to systems of four identical bosons, the calculations, enabled by previously determined hyperspherical potential curves and couplings, present strong evidence that the 2006 Innsbruck experiment had indeed unknowingly observed universal four-body resonances. The four-body nature of those loss features was subsequently verified in a careful experiment published in 2009 by the Innsbruck collaboration, led this time by Francesca Ferlaino. 7 Subsequent experiments in 2009 have provided additional confirmation by revealing several universal four-body features, 8 , 10 one example of which is clearly visible as a 1,1 4b in the Hulet group’s experimental measurement shown in figure 2.

The theoretical and experimental research just described represents the first-ever calculation and observation of an inelastic collision involving four particles that were initially all free; it is a fundamental advance for collision physics. It also confirms theoretical conclusions that the nonuniversal aspects of those four-body systems are fixed using only a single three-body parameter, k 1, that can be viewed as setting the energy of the lowest Efimov state. No additional nonuniversal four-body parameter is needed. And at negative scattering lengths, as figure 4 demonstrates, no further nonuniversal parameter appears needed to describe the energy spectrum of universal pentamers, hexamers, and so on, all the way—presumably—to Avogadro’s number and beyond. Thus the many-body gas should display a tremendously rich variety of phases in the universality range of large negative scattering lengths. The many-body Hamiltonian implied by the theoretical development of the past year is now ripe for further investigation.

Outlook

As a meeting ground for theorists of widely disparate specializations, few-body physics illustrates the value of strengthening interactions among all varieties of physicist. Not many modern research topics have brought together specialists in such varied fields as nuclear, atomic and molecular, condensed-matter, and high-energy physics. But such multi-disciplinary topics are often among the most interesting and lively. Although experiments still reside predominantly in the domain of ultracold atomic gases, theorists from numerous fields, with their different perspectives and methods, are adding insights about universal few-body physics.

Fermionic atoms have been one of the most active areas of study in ultracold quantum gases during the past few years. That attention is partly because of their importance for understanding the BCS—BEC crossover in condensed-matter systems (see the article by Carlos Sá de Melo in Physics Today, October 2008, page 45 .), but it is also because of interest in how fermions change the behavior of few-body systems. For instance, unlike bosons, three identical fermions in the same internal spin state have no Efimov effect. That’s not surprising since the Pauli principle guarantees that they have no S-wave scattering at all. Three equal-mass fermions, all in different spin states, are not subject to Pauli blocking and can exhibit the richness of universal physics. Recent experiments have shown evidence of universality in three-body loss rates in a fermionic lithium gas. 9 Theoretical studies have accounted for some features, but discrepancies warrant further investigation.

Three fermions of equal mass distributed among two different spin states exhibit no Efimov effect in three dimensions. But for that few-body system, Dmitri Petrov (Université Paris-Sud) and collaborators made a vital theoretical contribution. 16 They proved that as the positive scattering length a between the opposite-spin fermions grows larger, the inelastic three-body and four-body collisions become ever more strongly suppressed. Their result has been approximately confirmed in other work, 14 but differences in theoretical details remain to be resolved.

The recent convergence of theoretical and experimental progress in universal few-body systems has sparked considerable excitement. Many crucial questions remain to be understood, of course, notably the connection between universal physics at large positive a and at large negative a. The experiments in 2009 bearing on that question are still not in full agreement with each other.

An even richer test of universality could ensue for heteronuclear trimers like 133Cs-133Cs-6Li, where the scaling factor between successive universal features in a changes from 22.7 to 4.88. 17 Compared with systems with identical atoms, such a heterogeneous system should exhibit many more universal features at both positive and negative a. The recent explosion of interest in few-body systems has been accompanied by an enhancement of experimental and theoretical capabilities. Those advances appear poised to further increase the breadth of insights emerging from studies of a few interacting particles.

I gratefully acknowledge extensive discussions and a continuing collaboration with Jose D’Incao and also appreciate prepublication access to preprints by Randy Hulet’s experimental group and by Javier von Stecher.

References

  1. 1. C. Chin et al., Rev. Mod. Phys., in press, available at http://arxiv.org/abs/0812.1496 .

  2. 2. V. Efimov, Phys. Lett. B 33, 563 (1970)
    V. Efimov, Sov. J. Nucl. Phys. 12, 589 (1971);
    29, 546 (1979).

  3. 3. E. Nielsen et al., Phys. Rep. 347, 373 (2001). https://doi.org/10.1016/S0370-1573(00)00107-1

  4. 4. J. H. Macek, J. Phys. B 1, 831 (1968).
    See also U. Fano, Rep. Prog. Phys. 46, 97 (1983); https://doi.org/10.1088/0034-4885/46/2/001
    C. D. Lin, Phys. Rep. 257, 1 (1995). https://doi.org/10.1016/0370-1573(94)00094-J

  5. 5. E. Nielsen and J. H. Macek, Phys. Rev. Lett. 83, 1566 (1999); https://doi.org/10.1103/PhysRevLett.83.1566
    B. D. Esry, C. H. Greene, J. P. Burke Jr, Phys. Rev. Lett. 83, 1751 (1999); https://doi.org/10.1103/PhysRevLett.83.1751
    E. Braaten H.-W. Hammer, Phys. Rep. 428, 259 (2006). https://doi.org/10.1016/j.physrep.2006.03.001

  6. 6. T. Kraemer et al., Nature 440, 315 (2006). https://doi.org/10.1038/nature04626

  7. 7. F. Ferlaino et al., Phys. Rev. Lett. 101, 023201 (2008); https://doi.org/10.1103/PhysRevLett.101.023201
    F. Ferlaino et al., Phys. Rev. Lett. 102, 140401 (2009); https://doi.org/10.1103/PhysRevLett.102.140401
    S. Knoop et al., Nat. Phys. 5, 227 (2009). https://doi.org/10.1038/nphys1203

  8. 8. M. Zaccanti et al., Nat. Phys. 5, 586 (2009); https://doi.org/10.1038/nphys1334
    G. Barontini et al., Phys. Rev. Lett. 103, 043201 (2009); https://doi.org/10.1103/PhysRevLett.103.043201
    N. Gross et al., Phys. Rev. Lett. 103, 163202 (2009). https://doi.org/10.1103/PhysRevLett.103.163202

  9. 9. T. B. Ottenstein et al., Phys. Rev. Lett. 101, 203202 (2008); https://doi.org/10.1103/PhysRevLett.101.203202
    J. H. Huckans et al., Phys. Rev. Lett. 102, 165302 (2009). https://doi.org/10.1103/PhysRevLett.102.165302

  10. 10. S. E. Pollack, D. Dries, R. G. Hulet, Science 326, 1683 (2009). https://doi.org/10.1126/science.1182840

  11. 11. J. von Stecher, http://arxiv.org/abs/0909.4056
    G. J. Hanna and D. Blume, Phys. Rev. A 74, 063604 (2006). https://doi.org/10.1103/PhysRevA.74.063604

  12. 12. H.-W. Hammer and L. Platter, Eur. Phys. J. A 32, 113 (2007). https://doi.org/10.1140/epja/i2006-10301-8
    See also L. Platter, H.-W. Hammer, U.-G. Meissner, Phys. Rev. A 70, 052101 (2004). https://doi.org/10.1103/PhysRevA.70.052101

  13. 13. J. von Stecher, J. P. D’Incao, C. H. Greene, Nat. Phys. 5, 417 (2009). https://doi.org/10.1038/nphys1253
    See also J. P. D’Incao, J. von Stecher, C. H. Greene, Phys. Rev. Lett. 103, 033004 (2009). https://doi.org/10.1103/PhysRevLett.103.033004

  14. 14. J. P. D’Incao et al., Phys. Rev. A 79, 030501–R (2009);
    see also S. T. Rittenhouse, “Control and Dynamics of Few-Body Systems at Ultracold Temperatures,” PhD thesis, U. Colorado at Boulder (2009) online at http://jila.colorado.edu/pubs/thesis/rittenhouse .

  15. 15. N. P. Mehta et al., Phys. Rev. Lett. 103, 153201 (2009). https://doi.org/10.1103/PhysRevLett.103.153201
    See also Y. Wang B. D. Esry, Phys. Rev. Lett. 102, 133201 (2009). https://doi.org/10.1103/PhysRevLett.102.133201

  16. 16. D. S. Petrov, C. Salomon, G. V. Shlyapnikov, Phys. Rev. Lett. 93, 090404 (2004). https://doi.org/10.1103/PhysRevLett.93.090404

  17. 17. J. P. D’Incao B. D. Esry, Phys. Rev. A 73, 030703–R (2006).

  18. 18. B. D. Esry C. H. Greene, Nature 440, 289 (2006). https://doi.org/10.1038/440289b

More about the Authors

chris Green chris.greene@colorado.edu )University of Colorado, Boulder

Chris H. Greene. chris.greene@colorado.edu)University of Colorado, Boulder, US .

Related content
/
Article
Figuring out how to communicate with the public can be overwhelming. Here’s some advice for getting started.
/
Article
Amid growing investment in planetary-scale climate intervention strategies that alter sunlight reflection, global communities deserve inclusive and accountable oversight of research.
/
Article
Although motivated by the fundamental exploration of the weirdness of the quantum world, the prizewinning experiments have led to a promising branch of quantum computing technology.
/
Article
As conventional lithium-ion battery technology approaches its theoretical limits, researchers are studying alternative architectures with solid electrolytes.
This Content Appeared In
pt-cover_2010_03.jpeg

Volume 63, Number 3

Get PT in your inbox

pt_newsletter_card_blue.png
PT The Week in Physics

A collection of PT's content from the previous week delivered every Monday.

pt_newsletter_card_darkblue.png
PT New Issue Alert

Be notified about the new issue with links to highlights and the full TOC.

pt_newsletter_card_pink.png
PT Webinars & White Papers

The latest webinars, white papers and other informational resources.

By signing up you agree to allow AIP to send you email newsletters. You further agree to our privacy policy and terms of service.