Discover
/
Article

Ultraperipheral nuclear collisions

OCT 01, 2017
When nuclei at particle accelerators just miss each other, the short-range strong force is mitigated and photon interactions come to the fore.

DOI: 10.1063/PT.3.3727

PTO.v70.i10.40_1.d4.jpg
Spencer Klein
PTO.v70.i10.40_1.d5.jpg
Joakim Nystrand

Bigger microscopes reveal finer detail. For physicists studying subatomic structure, the microscopes are accelerators, whose increasing size enables them to launch ever more energetic particles at each other. Accelerators generally fall into one of two classes. The first class accelerates hadrons (mesons or baryons, particles made from quarks). Usually protons or heavy nuclei are directed at each other, but occasionally experiments are run with secondary beams of pions or other particles. Those projectiles probe their targets by means of the strong force, and they are excellent for some purposes—for example, studying perturbative quantum chromodynamics (QCD) in reactions with high momentum transfers. But the coupling that controls the strong force is large, and gluons, the carriers of the strong force, couple to each other. So hadron reactions at colliders are almost invariably messy. For that reason, physicists also build electron accelerators or use muon beams to interrogate their targets electromagnetically via the exchange of real or virtual photons.

Photons couple weakly to charged particles and not at all to themselves, so they are ideal probes for precision measurements. They are particularly useful to study the internal structure of protons and heavier nuclei. In the 1950s and 1960s, elastic scattering measurements at electron accelerators helped physicists determine the size and shape of protons and nuclei. By the late 1960s, more-energetic electron accelerators probed protons through deep inelastic scattering and found that they had an internal structure consisting of quarks and gluons, known collectively as partons. Parton distributions give the number of partons carrying a specified fraction of the total proton momentum. That fraction, the Bjorken x value, is named after SLAC physicist James Bjorken, a pioneer of the parton model. In the 1990s researchers at the HERA electron–proton collider at the German Electron Synchrotron explored the structure of protons in great detail. Among their accomplishments was measurement of the density of quarks and gluons carrying as little as 5 × 10−5 of the total proton momentum.

Their precision notwithstanding, the measurements at HERA left many unanswered questions. For example, HERA physicists observed that the density of gluons increases rapidly as the Bjorken x decreases. That behavior cannot continue indefinitely. Eventually, the gluons will overlap and combine; thus gluon saturation moderates the growth of the gluon density at low enough Bjorken x. Unfortunately, we do not know what x values are required to observe that saturation.

Also, HERA never accelerated ions heavier than protons. Heavy nuclei have much higher quark and gluon densities than protons, so they are attractive places to search for saturation and new phenomena such as the color glass condensate, an extreme form of very dense gluonic matter hypothesized to exist in heavy nuclei. 1

Unfortunately, HERA may be the end of the line. More powerful machines have been proposed, including one called the LHeC, which involves adding an electron beam to CERN’s Large Hadron Collider (LHC; see Physics Today, May 2017, page 29 ). But they are all at early stages of development.

Fortunately, it turns out that particle physicists can study high-energy, photon-mediated interactions at hadron colliders. Instead of examining events in which the hadrons collide, they study those in which the hadrons miss each other—ultraperipheral collisions, or UPCs. 2 , 3 The UPCs are useful because electromagnetism is a long-range force, so electromagnetic interactions occur even at relatively large ion–ion separations. They were discussed in a March 1994 Physics Today article by Carlos Bertulani and Gerhard Baur (page 22 ), but back then physicists had compiled only limited experimental data on UPCs. The flow of data improved dramatically once the LHC and Relativistic Heavy Ion Collider (RHIC) at Brookhaven National Laboratory came on line, and many topics have now been studied by means of UPCs. Here, we present a sampling.

Basics of ultraperipheral collisions

Charged particles that move carry electric fields that point radially outward and magnetic fields that surround the ion trajectory. As figure 1 shows, when those particles are moving at relativistic speeds, their electric and magnetic fields are confined to disks having an angular width of 1 / γ , where γ is the usual relativistic Lorentz contraction factor. The two fields are nearly perpendicular.

Figure 1.

PTO.v70.i10.40_1.f1.jpg

Relativistic nuclei just miss each other in ultraperipheral collisions. For each particle, the electric (E) and magnetic (B) fields are Lorentz contracted into disks centered at the nucleus.

View larger

In the 1920s Enrico Fermi showed that the relativistic-particle fields can be treated as a flux of virtual, but nearly real photons. 4 A decade later Carl von Weizsäcker and Evan James Williams separately and independently reached the same conclusion. 5 In this context, “virtual” means that the photons do not exist indefinitely. They have a finite effective mass m and a lifetime τ = / m c 2 , as determined by the uncertainty principle ( is Plank’s constant divided by 2π and c is the speed of light). “Nearly real” means that their mass is low and their lifetime long; for almost all purposes, one can treat the photons as real. When two relativistic ions encounter each other with an impact parameter b , the photons they interact with have a broad energy spectrum that cuts off at an energy γ c / b ; the cut-off energy is that of a photon with wavelength b / γ .

The photon flux scales as the square of the nuclear charge, so heavy ions have a considerable flux advantage over protons. One particularly attractive feature of heavy-ion reactions is that the ions can exchange two or more photons in a single collision. In that case, an observer can use the interaction with one of the photons to select a subset of events—for example, encounters with a small impact parameter—and then study how that selection affects the other photon interactions.

Although some results had been obtained with fixed-target experiments, empirical studies of UPCs producing particles heavier than electrons began in earnest with the STAR detector at RHIC, which collides, for example, protons and gold nuclei at center-of-mass collision energies of 500 GeV and 200 GeV per nucleon, respectively. For gold-on-gold collisions, the ions produce photons with energies of up to 600 GeV in the target rest frame and 24 GeV in the photon–nucleon center-of-mass frame.

More recently, the LHC has taken up the mantle. It accelerates protons and lead ions and achieves a center-of-mass energy of up to 13 TeV for the protons and 5 TeV per nucleon for the heavy ion. For lead-on-lead collisions, the photon energy in the photon–nucleon center-of-mass frame can reach about 3 TeV, an order of magnitude above the maximum energy studied at HERA.

The studies at the LHC benefit from a quartet of sophisticated detectors: ALICE, ATLAS, CMS, and LHCb. Although designed for different purposes, they have all studied UPCs. Figure 2 shows the ALICE detector and one of the UPC events it observed.

Figure 2.

PTO.v70.i10.40_1.f2.jpg

The ALICE detector at the Large Hadron Collider can track and identify charged particles and measure the energy of photons and other neutral particles. (a) The interior of the detector. (b) In this ultraperipheral collision (UPC) observed by ALICE, the green lines are the tracks of two muons created during the decay of a J/ψ meson. The simplicity of the event is the clue that ALICE had spotted a UPC. (Images courtesy of the ALICE collaboration.)

View larger

The proton’s gluon distribution

A photon that encounters a hadronic target can interact with it in two ways. It can couple electromagnetically to the charged particles in the target, or it can fluctuate to a virtual hadronic state that interacts through the strong force. 6 In fact, the hadronic fluctuations account for the dominant contribution to the total photonuclear cross section, the particle physicist’s measure of reaction probability. Most of the time, the hadronic states are mesons, bound quark–antiquark pairs, but more complex configurations are possible.

Some photon-induced interactions resemble hadronic processes in which the target breaks up and tens to hundreds of new particles are created. Others, “diffractive interactions,” leave the target intact and produce a single vector meson—that is, a spin-1 meson in which the spins of the quark and antiquark point in the same direction. In diffractive interactions, a virtual quark–antiquark pair scatters off the target and emerges as a real vector meson. This is exclusive vector meson photoproduction; “exclusive” means that the interaction produces no particles other than the vector meson.

Exclusive vector meson photoproduction has attracted much interest, both at HERA and at facilities studying heavy-ion UPCs. For low photon energies, the interaction of the virtual quark–antiquark pair with the target nucleus may be viewed as proceeding via the exchange of other mesons. Often the collective effect of the exchanged mesons is called reggeon exchange, after Tullio Regge.

The cross section for meson exchange decreases with increasing photon energy, but the meson photoproduction cross section actually bottoms out at about 30 GeV and then starts to increase. The rise is ascribed to the exchange of so-called pomerons, named after Isaak Pomeranchuk. In the simplest model, a pomeron corresponds to the exchange of two gluons. In general, pomerons are needed because vector meson photoproduction does not involve the exchange of color, the QCD analogue of electric charge, but individual strong-force-carrying gluons do have color. Thus a pomeron must be composed of gluons (and possibly quarks) carefully arranged to be colorless.

In QCD, the strength with which quarks and gluons couple to gluons depends on a constant αs which generally is not small and is not even a constant. A large value of αs, and the consequent large gluon–gluon coupling, means that the internal structure of the pomeron cannot be adequately described in terms of two gluons. However, the value of αs depends on the energy of the interaction, with a higher energy scale corresponding to a lower value of αs. In the photoproduction reaction, the mass M V of the vector meson (V) determines the scale, so perturbative QCD should work for heavy vector mesons like the J/ψ.

In the two-gluon model the forward scattering cross section σ is 7 σ [ x · g ( x , μ 2 ) ] 2 , where g ( x , μ 2 ) is the gluon density at a given Bjorken x and scale μ . That the cross section is proportional to the square of the gluon distribution makes vector meson photoproduction a sensitive probe of the gluon content in protons and nuclei.

To make the connection, at least for proton targets, requires just a couple of simple observations. First is that at low Bjorken x, the gluon distribution can be described by a power law—that is, x · g x λ , and so σ x 2 λ . Second is the kinematic relation x = ( M V c 2 / W γ p ) 2 , where W γ p is the photon–proton center-of-mass energy. Combining the two observations yields σ W γ p 4 λ .

Leading-order QCD predicts that the cross section for vector meson photoproduction with a proton target should increase as a power law and that the exponent can be readily interpreted in terms of the proton’s gluon distribution.

Figure 3 shows the energy dependence of the cross section for the reaction γ + p J / ψ + p , as determined by measurements taken at HERA and from UPCs at the LHC. 8 The Bjorken x values for the data range from about 2 × 10−5 to roughly 10−2. The cross section does indeed follow a power law with exponent 4 λ = 0.7, a value much greater than that obtained for light vector mesons.

Figure 3.

PTO.v70.i10.40_1.f3.jpg

The cross section σ , essentially a reaction probability, for the process γ + p J / ψ + p has a power-law dependence on the photon–proton center-of-mass energy. The red shapes represent data taken by the ALICE detector at the LHC, and the straight line (with blue error band) represents a fit to the ALICE data. Other data come from detectors at the German Electron Synchrotron. The cross section is measured in the particle physicists’ unit of nanobarns. (Adapted from ref. 8.)

View larger

Nice as the results are, they come with some caveats. Exclusive vector meson production, with its colorless exchange of at least two gluons, is a less direct probe than processes involving only a single parton. Moreover, equation 2 is just the leading-order expression. Theorists have attempted to calculate the next-to-leading order, 9 though they have not reached a consensus on how to do that. Because of those issues, data on exclusive vector meson production have, so far, not been used in the parameterizations of the parton distribution functions.

Photoproduction with heavy-ion targets

Heavy nuclei are composed of many protons and neutrons bound together, and it is only natural to ask how nucleons are altered by their proximity to other nucleons. In the 1970s and 1980s, studies with electron and muon beams showed that the parton distributions of bound nucleons differ from those of their unbound brethren. At Bjorken x values of less than about 0.01, the density of quarks and gluons is reduced below what would be expected in a combination of unmodified nucleons. The reduction, often known as the EMC (European Muon collaboration) effect, 10 may be due to overlap between gluons in different nucleons. Because we have no accelerators that collide leptons (meaning, in the context of this article, electrons, muons, and their antiparticles) with heavy ions, we have no heavy-ion data at Bjorken x values below about 0.001. The gluon saturation described earlier would likely be far more visible in heavy ions than in protons, because of the higher parton density in the heavy ions. It would manifest itself in a further drop in gluon density with decreasing Bjorken x.

Given the cross section for the reaction γ + p V + p , one can naively estimate the cross section for γ + A V + A , vector meson photoproduction when a photon interacts with a nucleus A of mass A . Simply add the amplitudes for the pomeron to interact with each individual target nucleon. When the pomeron does not transfer too much momentum to the nucleus, the phases of the amplitudes are all the same, and the cross section scales as A 2 . Note, however, that a quark–antiquark pair may interact more than once when going through the target, but the result would still be a single vector meson. For that reason, for heavy nuclei the cross section may increase more slowly than A 2 —particularly, as it turns out, for processes that lead to lighter vector mesons. 11

Together with the large photon fluxes accompanying high-energy UPCs, the near A 2 scaling leads to huge production cross sections. Indeed, at the LHC, photoproduction cross sections for the lightest vector meson, the ρ0, are comparable to hadronic-interaction cross sections. 12

Those large cross sections have enabled experimental groups at RHIC and the LHC to collect large data samples. The STAR collaboration at RHIC has collected about 300 000 pion pairs per year generated from UPCs of gold on gold; 13 a portion of those are the products of ρ0 photoproduction. Figure 4 shows some of the results the STAR team generated from its data, “diffraction patterns” each with two evident dips in the cross section for the production of ρ0 mesons. Such diffraction patterns, obtained with light mesons, determine the distribution of nucleons within the target nucleus. In particular, in contrast to elastic electron scattering, photoproduction is sensitive to neutrons and protons.

Figure 4.

PTO.v70.i10.40_1.f4.jpg

Dips in differential cross section reminiscent of diffraction minima are indicated by arrows in these preliminary data obtained by the STAR collaboration. The variable −t on the x-axis is the magnitude of the four-momentum-squared transferred to the target; it is roughly equal to the square of the conventional transverse momentum transferred. The red and black data points (with error bands) correspond to two different experimental conditions. A third dip may exist near −t = 0.08 (GeV/c)2, but poor statistics preclude a definitive statement. From patterns such as shown here, researchers learn about how nucleons are distributed within a nucleus. (Adapted from ref. 13, S. R. Klein for the STAR collaboration.)

View larger

For heavy vector meson production, the cross section should depend on the nuclear gluon distribution and reflect the suppression due to the EMC effect. The ALICE collaboration has measured exclusive J/ψ and ψ(2S) photoproduction in UPCs of lead on lead. The results are consistent with models predicting that, near a Bjorken x value of 0.001, the gluon distribution in a lead nucleus is reduced by about 30% compared with a superposition of the gluon distributions in the constituent nucleons.

Two-photon physics

In classical physics, light does not interact with light. That is also true to leading order in quantum electrodynamics (QED), which does not have a direct coupling between two photons. But in higher-order processes, virtual charged particles provide the means for two photons to interact.

Photons colliding with each other have been studied at CERN’s Large Electron–Positron Collider, but there are advantages to studying two-photon physics at a hadron collider—for example, the higher energies it can provide. The cross section for electron–positron pair production is about 30 000 times higher for photon–photon encounters than for hadronic interactions, so pairs are copiously produced. Note, though, that because the fields near heavy ions are so high, lowest-order perturbation theory may not be adequate for heavy-ion collisions and “two photons” might no longer be strictly correct. Indeed, the impressive fields associated with UPCs at hadron colliders permit unique tests of strong-field QED.

The STAR, ALICE, and ATLAS experiments have all studied two-photon production of electron–positron and muon– antimuon pairs in UPCs of heavy ions. The invariant mass of the dilepton pairs they detected ranges from 0.1 GeV to 100 GeV. Over that wide range, far more extensive than what was sampled at the Large Electron–Positron Collider, the cross section changes by more than seven orders of magnitude. The experimental measurements are in excellent agreement with lowest-order QED calculations and thus set important limits on the contributions from higher-order processes. In other work, researchers in the CMS and ATLAS collaborations at the LHC explored the production of W+W pairs via photon–photon interactions. The data are so far in good agreement with the standard model and set the best limits so far on any anomalous coupling between two photons and a W+W pair.

In one particularly interesting electron–positron production process known as bound–free pair production (BFPP), the electron binds to a nucleus and produces a single-electron atom. 3 The antimatter version of BFPP was the mechanism behind the first detection 14 of antihydrogen, at the Low Energy Antiproton Ring accelerator at CERN in 1995. An antiproton sent through a thin target picked up a positron via a BFPP reaction and emerged as a neutral antihydrogen atom. Later, antihydrogen was detected at Fermilab. 15 In that experiment, antiprotons sent through a gas-jet target picked up the positron.

The BFPP mechanism also has consequences for accelerator design. In a BFPP interaction involving a nucleus of charge Z, the binding of the electron reduces charge-to-mass ratio by 1/Z but hardly changes the momentum. So the single-electron atom is bent less by the accelerator’s dipole magnets than the bare nucleus is, and it is lost from the beam. At the LHC, the cross section for BFPP is about 30 times the total hadronic cross section; BFPP is the leading beam-loss mechanism there and at other heavy-ion colliders and is the primary limit on the beam lifetime.

At RHIC and at the LHC, BFPP yields two single-electron atom beams—one in each direction. The beams observed at RHIC did not have significant consequences, but the LHC told a different story. At the lead–lead design interaction rate, 280 000 single-electron lead atoms are generated there each second, and each carries 520 TeV of energy. The resulting hadronic showers deposit about 23 W of power into a superconducting dipole magnet. That’s a significant heat load; in a test at slightly above the design luminosity, LHC physicists saw the BFPP beam actually quench an LHC dipole magnet. 16 Although partial workarounds can be implemented, UPCs will continue to impose luminosity limits on the LHC and on future high-energy heavy-ion colliders.

Experiments in which light scatters off light could provide evidence for new particles. The scattering amplitude sums contributions from all electrically charged particles, so a deviation from predictions based on the known particles could hint at a contribution from exotic particles. The cross section for light-by-light scattering is very small, but the ATLAS collaboration has recently reported a first observation in lead-on-lead UPCs 17 (see the image on pages 40–41). The ATLAS measurement agrees with the expectation from the standard model, albeit with large uncertainties.

Interference in UPCs

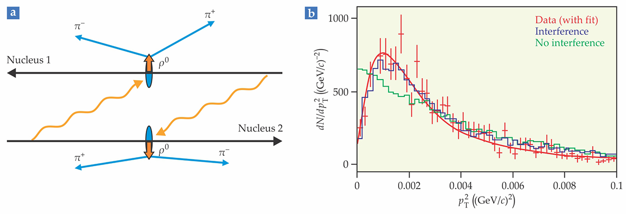
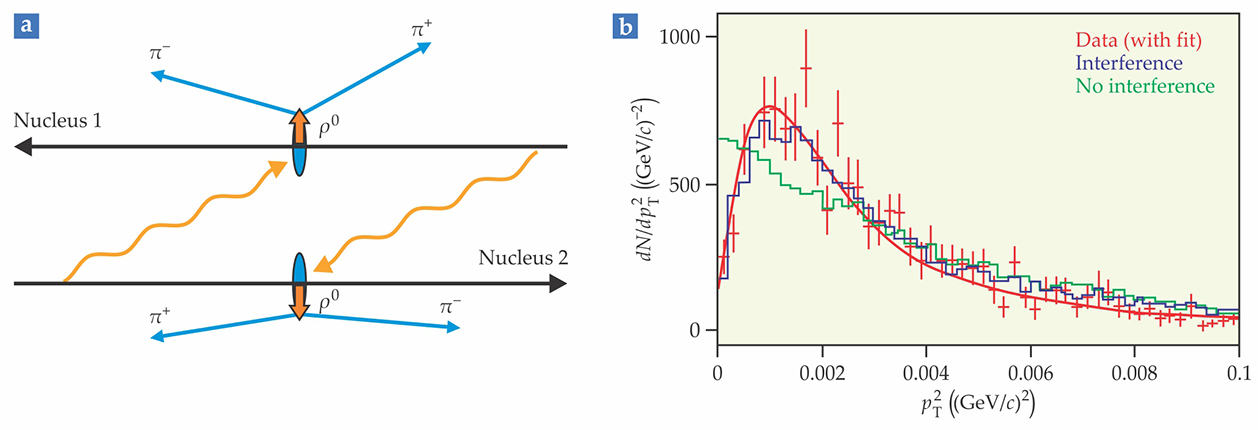
We noted earlier that the electromagnetic fields associated with UPCs are very strong, so a single ion pair can exchange multiple photons in a single encounter. The photons are emitted independently, though they share a common impact parameter. They also share a polarization: Photons are polarized along the electric field vector, so all photons striking a target ion are linearly polarized in the same direction, along the line joining the ions and perpendicular to the beam (see figure 1).

Moreover, in the initial state of a UPC with two identical nuclei, nothing distinguishes one nucleus from the other. Thanks to that initial-state symmetry, the transverse polarization of photons has an observable effect, even for photoproduction of a single vector meson: As figure 5 shows, the two nuclei form a two-source interferometer. Nucleus 1 could emit a photon that interacts with nucleus 2 and emerges as a vector meson (a ρ0 meson in the figure), or nucleus 2 could emit a photon that interacts with nucleus 1 to produce an identical vector meson. The two possibilities lead to indistinguishable final states, so the quantum mechanical amplitudes must be summed with a phase factor to account for the propagation from nucleus 1 to nucleus 2. One technical point: Since the two possibilities are related by a parity change and vector mesons have negative intrinsic parity, the interference is destructive. Thus the cross section scales as σ | A 1 A 2 exp [ ( i p T · b ) / ] | 2 . Here A 1 and A 2 are the amplitudes for the two possibilities described above, p T is the vector meson transverse momentum, and the impact parameter vector b has magnitude b and is parallel to the photon polarization. The exponential term is the propagation phase factor. The amplitudes A 1 and A 2 are, in part, determined by the longitudinal momentum of the final-state vector meson. They are equal when, as in figure 5a, the vector mesons have no longitudinal momentum in the center-of-mass frame of reference. In that case, the cross section is suppressed when p T < / b . More precisely, the derivative d σ / d p T 2 is proportional to p T at low p T . Absent interference, the derivative would tend to a constant. Figure 5b shows that the derivative (expressed in terms of number count) does indeed drop at small p T .

Figure 5.

PTO.v70.i10.40_1.f5.jpg

Quantum interference has been observed in ultraperipheral collisions. (a) When two nuclei meet in a UPC, each one can pass a photon to its partner to generate a ρ0 meson. Both possibilities contribute to the vector meson photoproduction amplitude—that is, the two possibilities interfere. (b) The STAR collaboration observed that interference.18 In the plot shown here, N represents the number of ρ0 mesons and p T is the meson’s transverse momentum. Data are presented in red along with simulations in which interference is (blue) and is not (green) taken into account. The simulations diverge at low p T , where the data confirm the effects of interference.

View larger

The interference reveals a particularly interesting feature when one considers the space and time scales involved. The two interfering possibilities involve ρ0 production at two target nuclei separated by 20–40 fm. A ρ0 has a lifetime of about 5 × 10−24 s, so the maximum distance it can travel before decaying into pions is about 1.5 fm, much less than the separation between the production sources.

PTO.v70.i10.40_1.f6.jpg

Light–light scattering as imaged by the ATLAS detector at the Large Hadron Collider. (Courtesy of the ATLAS collaboration.)

View larger

The photons leading to the ρ0 production at the two sites do not share any past history, so there is no way for the two sites to communicate with each other. How, then, can processes occurring at those sites interfere? The interference must come later, which means that the wavefunction for the ρ0 must retain amplitudes for all possible decays long after the meson itself has decayed into a particular final state. In short, the interference observed in UPCs demonstrates that particle decay does not cause a wavefunction to collapse. 11 Instead, the collapse must occur later, very possibly when the final-state particles interact with the detector.

Looking ahead

In the next few years, scientists at RHIC and the LHC should be able to investigate a new collection of final states produced in UPCs; those include jets (aligned showers of hadronic particles) and so-called open charm states produced when a photon fluctuates to a quark–antiquark pair that then forms a pair of mesons containing charm quarks. Although the studies will be harder experimentally, they are much cleaner theoretically and thus directly probe the parton content of the targets. LHC experiments will also further explore two-photon physics. With particle detectors placed close to the beamline to measure protons scattered at small angles, observation of two-photon production of the Higgs boson should be possible. An expanded set of searches for new physics is also likely. In the longer term, UPCs will be a key part of the physics program at any new higher-energy hadron collider, such as CERN’s proposed future circular collider.

Except for the LHeC, no other proposed machine will access the energies of UPCs. A proposed US electron–ion collider will make precision measurements of parton distributions but will only reach down to moderate Bjorken x values.

The paradigm of experimental particle physics is often described as “smash particles into each other and see what comes out.” But as UPC studies show, the smash isn’t necessary; a great deal of high-energy physics can be extracted when particles interact like turbocharged ships passing in the night, exchanging information briefly before continuing along their oppositely directed paths.

References

  1. 1. F. Gelis et al., Annu. Rev. Nucl. Part. Sci. 60, 463 (2010). https://doi.org/10.1146/annurev.nucl.010909.083629

  2. 2. C. A. Bertulani, G. Baur, Phys. Rep. 163, 299 (1988). https://doi.org/10.1016/0370-1573(88)90142-1

  3. 3. C. A. Bertulani, S. R. Klein, J. Nystrand, Annu. Rev. Nucl. Part. Sci. 55, 271 (2005); https://doi.org/10.1146/annurev.nucl.55.090704.151526
    A. J. Baltz et al., Phys. Rep. 458, 1 (2008). https://doi.org/10.1016/j.physrep.2007.12.001

  4. 4. E. Fermi, Z. Phys. 29, 315 (1924). https://doi.org/10.1007/BF03184853

  5. 5. C. F. von Weizsäcker, Z. Phys. 88, 612 (1934); https://doi.org/10.1007/BF01333110
    E. J. Williams, K. Dan. Vidensk. Selsk. Mat. Fys. Medd. XIII(4), 1 (1935).

  6. 6. J. J. Sakurai, Ann. Phys. (N.Y.) 11, 1 (1960); https://doi.org/10.1016/0003-4916(60)90126-3
    T. H. Bauer et al., Rev. Mod. Phys. 50, 261 (1978). https://doi.org/10.1103/RevModPhys.50.261

  7. 7. M. G. Ryskin, Z. Phys. C 57, 89 (1993). https://doi.org/10.1007/BF01555742

  8. 8. B. Abelev et al. (ALICE collaboration), Phys. Rev. Lett. 113, 232504 (2014). https://doi.org/10.1103/PhysRevLett.113.232504

  9. 9. S. P. Jones et al., J. Phys. G 43, 035002 (2016). https://doi.org/10.1088/0954-3899/43/3/035002

  10. 10. J. J. Aubert et al. (European Muon collaboration), Phys. Lett. B 123, 275 (1983). https://doi.org/10.1016/0370-2693(83)90437-9

  11. 11. S. R. Klein, J. Nystrand, Phys. Rev. C 60, 014903 (1999); https://doi.org/10.1103/PhysRevC.60.014903
    S. R. Klein, J. Nystrand, Phys. Rev. Lett. 84, 2330 (2000); https://doi.org/10.1103/PhysRevLett.84.2330
    S. R. Klein, J. Nystrand, Phys. Lett. A 308, 323 (2003). https://doi.org/10.1016/S0375-9601(03)00076-8

  12. 12. E. Abbas et al. (ALICE collaboration), Eur. Phys. J. C 73, 2617 (2013); https://doi.org/10.1140/epjc/s10052-013-2617-1
    J. Adam et al. (ALICE collaboration), Phys. Lett. B 751, 358 (2015); https://doi.org/10.1016/j.physletb.2015.10.040
    J. Adam et al. (ALICE collaboration), J. High Energy Phys. 2015(9), 095 (2015). https://doi.org/10.1007/JHEP09(2015)095

  13. 13. C. Adler et al. (STAR collaboration), Phys. Rev. Lett. 89, 272302 (2002); https://doi.org/10.1103/PhysRevLett.89.272302
    S. R. Klein for the STAR collaboration, https://arxiv.org/abs/1606.02754 .

  14. 14. G. Baur et al., Phys. Lett. B 368, 251 (1996). https://doi.org/10.1016/0370-2693(96)00005-6

  15. 15. G. Blandford et al., Phys. Rev. Lett. 80, 3037 (1998). https://doi.org/10.1103/PhysRevLett.80.3037

  16. 16. J. Jowett et al., “Bound-free pair production in LHC Pb–Pb operation at 6.37 Z TeV per beam,” paper presented at the 7th International Particle Accelerator Conference, 8–13 May 2016, doi:https://doi.org/10.18429/JACoW-IPAC2016-TUPMW028 .

  17. 17. M. Aaboud et al. (ATLAS collaboration), Nat. Phys. 13, 852 (2017). https://doi.org/10.1038/nphys4208

  18. 18. B. I. Abelev et al. (STAR collaboration), Phys. Rev. Lett. 102, 112301 (2009). https://doi.org/10.1103/PhysRevLett.102.112301

More about the Authors

Spencer Klein is a senior scientist in the nuclear science division of Lawrence Berkeley National Laboratory in Berkeley, California. Joakim Nystrand is a professor in the department of physics and technology at the University of Bergen in Norway.

This Content Appeared In
pt-cover_2017_10.jpeg

Volume 70, Number 10

Related content
/
Article
Technical knowledge and skills are only some of the considerations that managers have when hiring physical scientists. Soft skills, in particular communication, are also high on the list.
/
Article
Professional societies can foster a sense of belonging and offer early-career scientists opportunities to give back to their community.
/
Article
Research exchanges between US and Soviet scientists during the second half of the 20th century may be instructive for navigating today’s debates on scientific collaboration.
/
Article
The Eisenhower administration dismissed the director of the National Bureau of Standards in 1953. Suspecting political interference with the agency’s research, scientists fought back—and won.
/
Article
Alternative undergraduate physics courses expand access to students and address socioeconomic barriers that prevent many of them from entering physics and engineering fields. The courses also help all students develop quantitative skills.
/
Article
Defying the often-perceived incompatibility between the two subjects, some physicists are using poetry to communicate science and to explore the human side of their work.

Get PT in your inbox

Physics Today - The Week in Physics

The Week in Physics" is likely a reference to the regular updates or summaries of new physics research, such as those found in publications like Physics Today from AIP Publishing or on news aggregators like Phys.org.

Physics Today - Table of Contents
Physics Today - Whitepapers & Webinars
By signing up you agree to allow AIP to send you email newsletters. You further agree to our privacy policy and terms of service.