Large Extra Dimensions: A New Arena for Particle Physics
DOI: 10.1063/1.1461326
The standard model of particle physics is a very successful theory, spectacularly consistent with a vast range of experimental results. Nonetheless, most particle theorists believe that it is not a fundamental theory. They are confident that experiments in this decade—particularly at the Large Hadron Collider and the Tevatron—will discover some dramatic extension that sheds light on the origin of the many parameters that nowadays have to be put into the standard model “by hand.” But the incorporation of gravity into an all-encompassing theory has generally been regarded as a more distant goal.
Since 1974, the guiding principle for building extensions of the standard model has been the so-called desert hypothesis. 2 Its premise is that there is no new physics between the energy scales of electroweak unification (103 GeV or 1 TeV) and the vicinity of the Planck mass M Pl (1019 GeV). That implies an enormous “desert,” 16 orders of magnitude wide, where one would expect to encounter nothing new. M Pl is the mass at which a particle’s Compton wavelength becomes equal to its Schwarzschild radius—a realm where one can’t do without a quantum theory of gravity. (In this article we make no distinction between units of mass and energy.)
The leading contender for the elaboration of the desert picture has been the supersymmetric extension of the standard model,
3
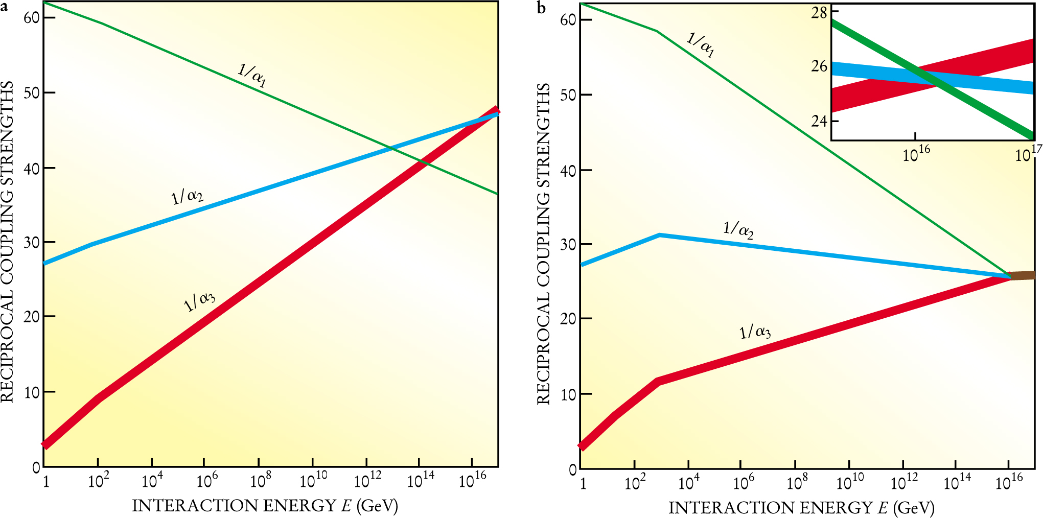
first proposed in 1981. Supersymmetry posits a symmetry between integral and half-integral spins that implies the existence of as-yet-undiscovered boson partners for all the known fermions, and vice versa. The primary reason for the theory’s popularity has been the observation that the supersymmetric prescription for extrapolating the measured strengths of the strong, electromagnetic, and weak coupling “constants” succeeds in making them converge on a common unified value at an energy not very far below the Planck scale.
4
(See figure 1; see also the article by Dimopoulos, Stuart Raby, and Frank Wilczek in Physics Today, October 1991, page 25

Figure 1. The three coupling “constants“ of the standard model of particle theory are, in fact, “running” functions of the energy E at which particles interact. Plotted here are the reciprocals of the running coupling constants for the electroweak interactions (α 1 and α 2) and the strong interaction (α 3), theoretically extrapolated to energies far above our experimental knowledge. The two electroweak couplings refer, respectively, to U(1) and SU(2), the two internal-symmetry groups of the theory. In the minimal standard model (a) the three couplings fail to converge. But the supersymmetric extension of the standard model (b) does succeed in uniting the extrapolated couplings to within a few percent (see insert) at about 1016 GeV. The kinks near 103 GeV, crucial to that convergence, reflect the predicted appearance of supersymmetic particles at those energies.

The supersymmetric standard model remained essentially uncontested until 1998, when we proposed a new framework with a diametrically opposite viewpoint. 5 Our premise was that there is no desert at all, and that the TeV energy of electroweak symmetry breaking—which a new generation of accelerators will be scouring within a few years—is the only fundamental energy scale in nature.
The desert framework
Gravity is exceedingly weak. The gravitational attraction between two electrons is 42 orders of magnitude weaker than their electric repulsion. The modern name for this long-standing puzzle is the “hierarchy problem.” One way to quantify it is to quote the intrinsic strength of gravity or the weak nuclear force as the inverse square of a characteristic energy. For gravity, that characteristic energy is M Pl. In natural units (ℏ = c = 1) Newton’s gravitational constant G is simply 1/M 2 Pl. For the electroweak interactions, the characteristic energy scale M ew , where the mechanism that breaks the symmetry between the electromagnetic and weak interactions should manifest itself, is on the order of a TeV. The vast territory between these scales is the energy desert.
The desert framework has had considerable qualitative success. It explains the weakness of gravity by pointing to the energy separation between the Planck scale and the scale of ordinary particle physics. Other small parameters besides G can also be attributed to energy separations. For instance, the very small neutrino masses are thought to arise from the large separation between the mass scale M R of heavy, noninteracting right-handed neutrinos and the electroweak scale. The observed neutrino anomalies are, in fact, well accounted for by an M R near the 1016-GeV energy at which supersymmetry unifies the energy-dependent coupling strengths. The enormity of this “unification scale,” where one might find new particles that would mediate proton decay, is also invoked to explain the stability of the proton, whose mass is less than 1 GeV.
The supersymmetric extension of the standard model, which was originally proposed to stabilize the electroweak scale, unifies the three coupling strengths to within a few percent at the unification scale. This quantitative triumph strongly hints at a supersymmetric unification of the fundamental forces near the Planck energy. Therefore, although the very vastness of the desert is a puzzle, it does provide an ample arena in energy space for physics beyond the standard model.
The new bulk framework
What catalyzed our 1998 proposal of the new framework was an attempt to nullify the hierarchy problem by postulating that there is just one fundamental scale in nature, the TeV electroweak energy scale, where, we speculated, the electroweak, strong, and gravitational forces would, in fact, become unified long before the 1016-GeV unification scale predicted by supersymmetry. But then why should gravity be so much weaker than the other forces at everyday energies?
Because our conjecture no longer leaves sufficient energy space to separate gravity from the rest, one possibility is to introduce new dimensions to accomplish the separation of gravity in position space instead. We speculate that, in addition to the three infinite spatial dimensions we know about, there are n new spatial dimensions of finite extent R. The space spanned by the new dimensions is called “the bulk.” We assume that the particles of the standard model—quarks, leptons, and gauge bosons—all live in our familiar realm of three spatial dimensions, which forms a hypersurface, or “3-brane” within the bulk. The propagation of electroweak and strong forces is then confined to our 3-brane.
But gravity is different. Gravitons propagate in the full (3 + n)-dimensional space (see figure 2). This last ingredient of our picture addresses the hierarchy problem: At distances less than R, gravity spreads in all the 3 + n spatial dimensions, and therefore the gravitational force falls like r −(2 + n) with increasing separation r. Thus gravity’s strength, relative to the electric force, is rapidly diluted with increasing separation—and just as rapidly augmented with increasing proximity. Of course, when r exceeds R, the gravitational force reverts to its normal r −2 falloff, there being no longer any extra-dimensional space in which to spread out.

Figure 2. The three spatial dimensions in which we live are perhaps just a membrane (a 3-brane) embedded in a higher-dimensional bulk. The three Feynman graphs on the 3-brane represent the confinement of the three standard-model forces and their particles (for example, quarks, gluons, electrons, photons, neutrinos, and Z0 bosons) to our familiar three-dimensional subspace. Only the graviton (Gr), the quantum of gravity, is free to radiate into the bulk.

From superstring theory, we are used to extra dimensions not much larger than the 10−33-cm Planck length. (For any energy scale E, the corresponding length scale is ℏc/E.) But the extra dimensions we propose are much larger—perhaps even macroscopic. Matching the Newtonian and higher-dimensional expressions for the gravitational force at r ≈ R, we get
If there were only one extra dimension (n = 1), its size R would have to be of order 1010 km to account for the weakness of gravity. An extra dimension that large would long ago have made itself obvious in the dynamics of the Solar System. But two equal extra dimensions would be on the order of a millimeter in length. That happens to be close to the limit of the Cavendish-type experiments that have checked Newtonian gravity at short range.
As the number of the new dimensions increases, their size gets smaller. For six equal extra dimensions, the size is only about 10 fermi. Most exciting is the n = 2 case of two submillimeter-sized dimensions, which is the subject of active search by several tabletop Cavendish experiments. (See Physics Today, September 2000, page 22
If there are such “large” extra dimensions in nature, why haven’t we already encountered them in situations other than the very difficult Cavendish-type experiments? Superstring theory offers an explanation. In that theory, the standard-model fields, which do not include gravity, would be localized to a three-dimensional membrane in the theory’s higher-dimensional space. Therefore, they cannot directly probe the large new volume in the extra dimensions. Joseph Polchinski’s 1995 discovery of D-branes (short for Dirichlet-branes) in superstring theory 6 made it possible to embed our framework in that theory. Open strings, corresponding to photons, electrons, and all the other fundamental particles of the standard model, have their free ends stuck on the D-brane. But the spin-2 graviton, which corresponds to a closed loop of string, can propagate in all the dimensions. This freedom accords well with the general-relativistic view that gravity is a manifestation of the geometry of spacetime.
The initial reaction to our proposal was disbelief. Surely, it was said, changing the laws of nature at the macroscopic millimeter scale was impossible. But we were able to show that, even for n = 2, our framework is consistent with all existing laboratory, astrophysical, and cosmological observations. Only gravity is changed at macroscopic submillimeter distances, where our knowledge, gleaned from Cavendish-type experiments, has been remarkably poor. The strongest constraints come from astrophysics—namely, the requirement that stars not lose too much energy by emitting gravitons into the bulk.
We offer an abundance of exciting predictions for the big accelerators of the near future. They include the production of black holes in particle collisions and the experimental investigation of quantum gravity and string theory. These are all consequences of having strong gravity at a TeV. Furthermore, the presence and properties of the extra dimensions will be investigated by looking for any loss of energy from our 3-brane into the bulk. And, of course, tabletop experiments will continue to look for submillimeter deviations from Newtonian gravitation.
Physics inside the bulk
The traditional explanation for small parameters has been large energy separation. We now want to find analogous mechanisms in our bulk framework. The idea is to mimic in position space what the desert framework accomplishes in energy space. We already have an example at hand: Gravity appears so weak to us because we live at a single point in the space spanned by the extra dimension, while the graviton wavefunction spreads throughout the bulk and has very little overlap with us. But the idea is much more general. For instance, if the unseen heavy right-handed neutrinos live in the bulk, their tiny overlap with the familiar left-handed neutrinos on our brane would explain tiny masses on the order of M 2 ew/M Pl. The desert framework yields essentially the same expression. In either framework, neutrinos are light for the same reason that gravity is weak.
So far, we have placed ourselves at a very special position in the bulk. We regard ourselves as living on the only 3-brane that exists in the bulk. But ever since Copernicus—and Aristarchos of Samos before him—we have been learning that we do not occupy a special place in the universe. The Earth is not the center of the Solar System, which is not the center of the Galaxy, which is not the center of the universe, which has no center!
All this suggests that our brane is not alone, and that there are many other branes (or parallel universes) sharing the bulk with us (see figure 3(a)). The physics on those other branes—the particles that inhabit them, and their forces and symmetries—may be different from ours. Nevertheless, their presence would influence physics on our brane. That’s because branes are sources for bulk fields, much as charges are sources for the electric field. The values of these bulk fields at the location of our brane may determine the parameters of our standard model—for example, the electron mass, the Cabbibo angle, and the electroweak-mixing angle. Conversely, these parameters probe the location of those other branes in the bulk.

Figure 3. Inconspicuous neighboring 3-branes may be separated from us by only a fraction of a millimeter, or even much smaller distances, across the higher-dimensional bulk. They may be (a) completely separate 3-branes with their own fundamental parameters quite different from our own. Or (b) they may simply be distant folds of our own 3-brane, with the same physics, but able to influence us across shortcuts through the bulk.

This interplay between branes suggests a new mechanism for understanding many of nature’s small parameters. We normally attribute a small number to the presence of an approximate or broken symmetry which, if it were exact, would ensure that the number vanishes. For example, the electron is light because of an approximate chiral symmetry; if the symmetry were exact, the electron would be massless. We can go one step further and ask, Why is the symmetry breaking small? If chiral symmetry breaking originates on a distant brane, then it is naturally small on our brane because the magnitude of the messenger fields transmitting the symmetry breaking across the bulk diminishes with distance. It’s the same reason why distant stars looks dim. The essential physics underlying this mechanism, which we call “shining,” is locality. Because interactions happen at a point, what happens far away influences us only weakly.
It might even be that 3-brane regions separated from us by short distances across the bulk are not really separate branes with fundamental parameters different from ours. They could conceivably be separate folds of our own 3-brane (see figure
Theoretical issues
To make the new picture as compelling as the standard framework of low-energy supersymmetry, one must address a number of important theoretical issues. Three pressing questions spring to mind: What stabilizes the size of the extra dimensions? If quantum gravity really gets strong near a TeV, why don’t virtual black holes give rise to nearly instantaneous proton decay? And finally, what does our framework do to the predicted supersymmetric unification of the electroweak and strong coupling strengths near M Pl?
So far in this discussion, the framework of large new dimensions has only rephrased the hierarchy problem in geometrical terms. The question, Why is gravity weak? is simply replaced by a new question, Why are the extra dimensions so much bigger than the Planck length? The question of what curls up or “compactifies” extra dimensions is one that any theory with extra dimensions, small or large, must address. An interesting benefit of trying to stabilize the size of large extra dimensions is that, precisely because the dimensions are large, we can neglect any of the unknown effects of quantum gravity at Planck-length distances. We can therefore search for purely classical stabilization physics.
A number of mechanisms have been proposed. One applies to theories with two extra dimensions, with massless scalar fields living in the bulk. As in our discussion of shining, 3-branes can act as sources for these fields. A familiar analogy is that of the electrostatic potential set up by a uniform, infinite line charge. That potential in three dimensions is exactly the same as that of a point charge in two dimensions; it falls off logarithmically with increasing distance. Similarly, a 3-brane embedded in two extra dimensions will create a logarithmic profile for bulk scalar fields, so that the total energy stored in the extra dimensions acquires a logarithmic dependence on their sizes. Attractive and repulsive contributions to the potential balance each other so that the radius of each extra dimension is naturally stabilized at an exponentially large size. Thus we have a proper solution to the hierarchy problem, quite analogous to the favored mechanism for generating the energy scale of supersymmetry breaking from the logarithmic growth of the fundamental force couplings in the energy desert.
A major difficulty with any extension of the standard model at the TeV scale is that new particles and interactions at that energy scale might mediate rapid proton decay. But we know that, in fact, the proton’s lifetime exceeds 1032 years. This difficulty afflicts the most general supersymmetric extension of the standard model, and one has to impose a new symmetry on the theory for the sole purpose of removing this pitfall.
The problem appears even more severe if the scale of quantum gravity is lowered to TeV energies. That’s because virtual black holes destroy all quantum numbers not associated with a long-range field. The photon’s coupling to electric charge guarantees charge conservation. But we know of no photon-analog coupled to baryon number. So the proton, it seems, should decay with gravitational strength. That would be disastrous if the fundamental strength of gravity is set by the TeV scale.
There is a conventional remedy. Just as in the supersymmetric extension of the standard model, one could stabilize the proton by invoking new symmetries. But there are more elegant, intrinsically higher-dimensional mechanisms for suppressing proton decay. One such mechanism begins with the observation that proton decay requires new interactions between quarks and leptons. But suppose that the quark and lepton fields are localized at slightly different positions in the extra dimensions. Then any local coupling between them would be highly suppressed by the small overlap of their wavefunctions. Therefore a small virtual black hole could not simultaneously swallow both quarks and leptons. So it could not catalyze proton decay.
A different mechanism for stabilizing the proton is to associate baryon number with a gauge-boson field in the bulk. Proton decay violates the conservation of baryon number. This new gauge boson, just like the graviton, would couple to the proton with a strength inversely proportional to M Pl. But the force between two protons from the exchange of this putative new boson turns out to be a million times stronger than gravity, so these gauge bosons, unlike the graviton, must acquire mass. The simplest solution is to break baryon number on a distant brane. That would give the new gauge boson a macroscopic Compton wavelength in the submillimeter range. It predicts dramatic outcomes for the tabletop experiments that are now probing gravity at short macroscopic distances—for example, repulsive forces a million times stronger than Newtonian gravity.
Preserving unification
The unification of fundamental coupling strengths in the supersymmetric extension of the standard model is a striking quantitative triumph of the desert paradigm. Many of the desert’s qualitative successes can be reproduced with physics inside the large extra dimensions we propose. But can we preserve the unification of the couplings?
At first glance, that would seem impossible in the bulk framework. The unification prediction depends on the variation of interaction strengths with energy predicted by conventional four-dimensional (4D) quantum field theory extrapolated to 1016 GeV. If the quantum gravity scale is at a TeV, that field-theory description should break down. Nevertheless, one can exploit intrinsically higher-dimensional physics to try and reproduce the unification of the couplings.
Two different mechanisms have been proposed. The first, proposed at CERN by Keith Dienes, Emilian Dudas, and Tony Gherghetta, 7 postulates that, in addition to the very large dimensions in which gravity alone can propagate, there are 10−17-cm sized dimensions (corresponding to 1 TeV) in which the standard-model fields can also propagate. Just as the presence of the large extra dimensions accelerates the strengthening of the gravitational interaction at short distances, so do these new dimensions accelerate the evolution of the standard-model interactions and make the couplings unify very quickly—just above the TeV energy where the extra dimensions open up.
The second idea once again uses the logarithmic shining of massless fields living in two extra dimensions. If the strength of the standard-model couplings is set by scalar fields living in the bulk, the couplings can acquire a logarithmic dependence on the size of the extra dimensions. But because this size is what sets the hierarchy between the Planck scale and the TeV scale, its logarithmic dependence can mimic the logarithmic running of couplings with energy in conventional 4D field theories. In D-brane string models with sufficient supersymmetry in the extra dimensions, this “mirage” running of the couplings due to the variation of bulk fields is, in fact, guaranteed to reproduce the 4D field-theory result. The rationale for unification is no longer the restoration of a gauge symmetry at short distances—as in the desert framework—but rather the restoration of a geometric symmetry in the bulk at large distances from our 3-brane.
Although these ideas are interesting, they are admittedly not as robust as the unification prediction in supersymmetry. In the accelerated-unification scenario of Dienes and company, the couplings run so quickly that corrections to their evolution may become important as they approach the unification point, making it difficult to predict successfully at the same few-percent level enjoyed by the supersymmetric standard model. The mirage-unification scenario requires a concrete string-theoretic realization of the standard model, which does not yet exist. Nevertheless, these ideas show that coupling unification can probably be preserved with large dimensions and TeV-scale quantum gravity. But we will need a complete theory to address the question properly.
Inflationary cosmology
Inflation, the momentary epoch of exponential cosmic expansion just after the Big Bang, is the most successful paradigm we have for the large-scale structure of the universe. It supposes that, during inflation, a scalar field—the so-called inflaton field—was subjected to a large damping force, like a pendulum in honey. As a result, the inflaton field remained far from equilibrium in a state of large potential energy. The Einstein field equations tell us that this state of affairs would have caused exponential growth. To allow the cosmos to grow to its postinflation size, the inflaton field must have persisted in its over-damped state long enough to permit at least 60 e-foldings.
For the damping force to dominate the dynamics for such a comparatively long time, the potential energy of the inflaton must be a very flat function of its field strength. Adequate flatness would be hard to accomplish in conventional 4D physics without fine-tuning of parameters. That’s because the origin of the large damping is gravity itself; the coefficient of friction is proportional to the Hubble parameter H during inflation. The inflaton acquires a mass of order H because there is no symmetry in the 4D theory that forbids it. (H is a reciprocal time, which in natural units is equivalent to a mass or energy.) Such a mass would spoil the flatness of the potential curve. To avoid it in 4D spacetime, one must probably resort to implausible fine tuning.
Large extra dimensions offer us a formidable new tool: Locality in the extra dimensions lets us avoid fine tuning. Consider, for example, “brane inflation,” 8 which can result from the interaction of our brane with another brane in the bulk. In that case, the inflaton ϕ is a scalar field that parameterizes the distance r between the two branes; ϕ is proportional to r. As long as r is much bigger than the string length, the interbrane potential is governed by the low-energy bulk physics: the exchange of gravitons and other massless bulk fields between the branes. Stringy effects are negligible.
The potential V is given by the generalization of Newtonian potential law to a total of m spatial dimensions,
Another approach to inflation in the context of large extra dimensions exploits a natural candidate for the inflaton field: the radion. This is the putative field that describes the size of the new dimensions. In the beginning, all new dimensions start out with a natural initial size, of order 10−17 cm, the fundamental TeV scale. That is to say, they are quite small. In this egalitarian initial condition, gravity is about as strong as the other forces. So quantum fluctuations can be large enough to seed gravitational structure formation in the evolving universe. Inflation happens during this initial epoch of strong gravity. Subsequently, the size of the extra dimensions relaxes to its present large value.
Warped geometries
So far, we have assumed that the space in the extra dimensions is approximately flat, and we neglected any spacetime curvature induced by the 3-branes. Both of these approximations can be made consistent. If the vacuum energy of the bulk—and hence its cosmological constant—is small, the geometry of the bulk will be nearly flat. Furthermore, the effect of the 3-branes on the n-dimensional bulk is analogous to that of a point mass in n-dimensional space. For n greater than 2, the potential around a point-mass falls as 1/r n-2, and so the space is very nearly flat around the brane. For n = 2, it turns out that the bulk space around the 3-brane is exactly flat, locally having the geometry of a cone with the brane located at its tip. Therefore, for the case of two or more large extra dimensions we have been discussing, the approximate picture of a brane embedded in a flat space is good.
The case of just one extra dimension would be qualitatively different, because the potential in one dimension does not fall off with distance. Therefore, a brane can significantly affect the geometry of a one-dimensional bulk. In 1999, Lisa Randall and Raman Sundrum proposed a very interesting theory along these lines. 9 They considered a 3-brane (which they call the “Planck-brane”) embedded in a five-dimensional spacetime with a negative cosmological constant—a so-called anti-de-Sitter space—characterized by a curvature length L. The background geometry is warped. That is to say, physics at a proper distance y away from the Planck-brane is redshifted by an exponential “warp factor” e−y/L . As a result, most of the bulk volume is concentrated near the Planck-brane; so that’s where the graviton likes to live. Thus, without any need to compactify the single extra dimension, we get the gravity of ordinary 4D spacetime on the Planck-brane.
By construction, this model looks just like Newtonian gravity at energies much lower than the Planck scale, and so it offers the tabletop experimenters no testable predictions. But Randall and Sundrum also considered a variation of this proposal that addresses the hierarchy problem. They introduce a second brane, the “TeV-brane,” where the standard-model fields reside. The TeV-brane is supposed to live some distance away from the Planck-brane, so that the exponential redshift factor in the background geometry generates the hierarchy between the weak and Planck scales. In this scheme, collider experiments in the next decade could produce a “tower” of TeV spin-2 resonances manifesting the five-dimensional gravitons in the warped geometry.
So what’s new?
The main tools of the desert framework have been gauge symmetries and the renormalization group. The bulk framework proposes a wealth of additional tools. They follow from the requirement of locality in the extra dimensions. We expect the parameters of the standard model to emerge from brane configurations that set up bulk fields, much as electric charges set up electric fields. The dynamical evolution of the early universe is mirrored in the motion of branes within the bulk, or perhaps in the evolution of the shape and size of the bulk itself.
Why weren’t these mechanisms introduced decades ago? After all, extra dimensions and string theory are, by now, decades old. Indeed there were earlier proposals involving extra dimensions larger than the 10−33-cm Planck length. Extra dimensions near the TeV scale, about 10−17 cm, were proposed by Nick Manton in 1979, and also by Ignatios Antoniadis in 1990. But these authors kept gravity near the Planck scale. 10 In 1996, Petr Horava and Edward Witten 11 pointed out that a single extra dimension of 10−28 cm would neatly join gravity to the supersymmetric unification of the other forces, all at 10−30 cm. At about the same time, Joseph Lykken attempted to lower the string scale to the vicinity of 10−17 cm, the TeV scale, without invoking large extra dimensions. 12
The new mechanisms we describe in this article rest on locality and classical physics in the bulk. The synthesis of two crucial ingredients makes these mechanisms possible: large extra dimensions and 3-branes—or, more generally, three-dimensional topological defects.
The older approaches to string theory presume the size of the extra dimensions to be the same as the string lengths, about 10−33 cm. So if one tried to penetrate inside such a Planck-scale dimension with a probe particle, the probe would grow into a string that would barely fit in the new dimension. Physics would become stringy and electrostatic analogies would fail.
The 3-branes embody locality in the bulk—the second crucial ingredient in our approach: Distant objects, separated in the bulk, interact weakly. Making use of bulk locality requires localizing objects like 3-branes in the bulk. In the older versions of string theory there are no branes; the wavefunction of each particle is spread throughout the bulk as a momentum eigenstate. That blurs the consequences of bulk locality. By contrast, particles living on 3-branes are position eigenstates in the bulk, which makes bulk locality manifest.
Which framework—supersymmetry or large extra dimensions—is more likely to be realized in nature? Clearly, the unification of the standard-model coupling is more natural in supersymmetry and, for that reason, one might well favor it. However, what we don’t understand about nature far exceeds what we do understand. For more than 20 years now, the conventional desert picture has failed to shed light on such key questions as the multitude of unexplained particles and parameters and, above all, the cosmological-constant problem. It’s evident that we are missing big parts of the puzzle. It thus becomes essential to consider alternatives that may provide a new perspective on old problems.
Before long, experiment will tell us which road Nature has chosen. Either way, we will be living in exciting times. If the answer is supersymmetry, we will begin seeing superparticles (with names like sleptons and photinos) soon enough. If it’s large extra dimensions, the next generation of accelerators will show us the superstrings and all of quantum gravity. In that case, we will be granted an even more complete picture of Nature. Or perhaps, best of all, experiments will tell us things more strange and exciting than we have dreamed of.
References
1. D. I. Hinchliffe, Eur. Phys. J. C 15, 85 (2000).https://doi.org/10.1007/BF02683405
P. Langacker, Eur. Phys. J. C 15, 95 (2000).https://doi.org/10.1007/BF026834062. H. Georgi, S. Glashow, Phys. Rev. Lett. 32, 438 (1974).https://doi.org/10.1103/PhysRevLett.32.438
H. Georgi, H. Quinn, S. Weinberg, Phys. Rev. Lett. 33, 451 (1974).https://doi.org/10.1103/PhysRevLett.33.451
J. Pati, A. Salam, Phys. Rev. D 8, 1240 (1973).https://doi.org/10.1103/PhysRevD.8.12403. S. Dimopoulos, H. Georgi, Nucl. Phys. B 193, 150 (1981).https://doi.org/10.1016/0550-3213(81)90522-8
4. S. Dimopoulos, S. Raby, F. Wilczek, Phys. Rev. D 24, 1681 (1981).https://doi.org/10.1103/PhysRevD.24.1681
5. N. Arkani-Hamed, S. Dimopoulos, G. Dvali, Phys. Lett. B 429, 263 (1998).;https://doi.org/10.1016/S0370-2693(98)00466-3
I. Antoniadis, N. Arkani-Hamed, S. Dimopoulos, G. Dvali, Phys. Lett. B 436, 257 (1998).https://doi.org/10.1016/S0370-2693(98)00860-06. J. Polchinski, Phys. Rev. Lett. 75, 4724 (1995).https://doi.org/10.1103/PhysRevLett.75.4724
7. K. Dienes, E. Dudas, T. Gherghetta, Phys. Lett. B 436, 55 (1998).https://doi.org/10.1016/S0370-2693(98)00977-0
8. G. Dvali, S. H. Tye, Phys. Lett. B 450, 72 (1999).https://doi.org/10.1016/S0370-2693(99)00132-X
9. L. Randall, R. Sundrum, Phys. Rev. Lett. 83, 3370 (1999).https://doi.org/10.1103/PhysRevLett.83.3370
10. N. S. Manton, Nucl. Phys. B 158, 141 (1979).https://doi.org/10.1016/0550-3213(79)90192-5
I. Antoniadis, Phys. Lett. B 246, 377 (1990).https://doi.org/10.1016/0370-2693(90)90617-F11. P. Horava, E. Witten, Nucl. Phys. B 475, 94 (1996).https://doi.org/10.1016/0550-3213(96)00308-2
12. J. D. Lykken, Phys. Rev. D 54, 3693 (1996).https://doi.org/10.1103/PhysRevD.54.R3693
More about the Authors
Nima Arkani-Hamed is a professor of physics at the University of California at Berkeley.
Nima Arkani-Hamed. 1 University of California, Berkeley, US .
Savas Dimopoulos. 2 Stanford University, Palo Alto, California, US .
Georgi Dvali. 3 New York University, New York City, US .